Execution Version #4856-3764-7807v2 AMENDMENT NO. 2 THIS AMENDMENT NO. 2 (this “Amendment”), dated as of June 5, 2024, is entered into among NEW MOUNTAIN FINANCE CORPORATION (the “Borrower”), the Multicurrency Lenders party hereto and GOLDMAN SACHS BANK USA, in its capacity as Administrative Agent (the “Agent”) under the Credit Agreement referred to below. RECITALS WHEREAS, the Borrower, the Multicurrency Lenders, the Agent are party to that certain Amended and Restated Senior Secured Revolving Credit Agreement, dated as of June 4, 2021 (as amended by Amendment No. 1 dated as of June 29, 2023 and as further amended, modified, extended, restated, replaced, or supplemented from time to time prior to the date hereof, the “Credit Agreement”); and WHEREAS, certain loans, commitments and/or other extensions of credit (the “Loans”) under the Credit Agreement denominated in Canadian Dollars incur or are permitted to incur interest, fees or other amounts based on CDOR Rate (as defined in the Credit Agreement) in accordance with the terms of the Credit Agreement; WHEREAS, pursuant to Section 2.13(b) of the Credit Agreement, the Administrative Agent and the Borrower have determined in accordance with the Credit Agreement, and the Multicurrency Lenders hereby agree, that the CDOR Rate for Canadian Dollars should be replaced with an alternate rate of interest. NOW, THEREFORE, in consideration of the premises and the mutual covenants contained herein, and for other good and valuable consideration, the receipt and sufficiency of which are hereby acknowledged, the parties hereto agree as follows: 1. Defined Terms. Capitalized terms used herein but not otherwise defined herein shall have the meanings provided to such terms in the Credit Agreement, as amended by this Amendment. 2. Agreement. The Credit Agreement is hereby amended to delete the stricken text (indicated textually in the same manner as the following example: stricken text) and to add the double- underlined text (indicated textually in the same manner as the following example: double-underlined text) as set forth in the pages attached as Exhibit A hereto. 3. Payment of Expenses. The Borrower agrees to reimburse the Agent for all reasonable fees, charges and disbursements of the Agent in connection with the preparation, execution and delivery of this Amendment, including all reasonable fees, charges and disbursements of counsel to the Administrative Agent. 4. Conditions Precedent. This effectiveness of this Amendment is subject to the satisfaction of each of the following conditions (the date of the satisfaction of all such conditions, the “Amendment No. 2 Effective Date”): (a) The Agent (or its counsel) shall have received from the Borrower either (x) a counterpart of this Amendment signed on behalf of such party or (y) written evidence reasonably satisfactory to the Agent (which may include delivery of a signed signature page of this Amendment by facsimile or other means of electronic transmission (e.g., “pdf”)) that such party has signed a counterpart of this Amendment; and #4856-3764-7807v2 (b) The Agent (or its counsel) shall have received from the Multicurrency Lenders party hereto either (x) a counterpart of this Amendment signed on behalf of such party or (y) written evidence reasonably satisfactory to the Agent (which may include delivery of a signed signature page of this Amendment by facsimile or other means of electronic transmission (e.g., “pdf”)) that such party has signed a counterpart of this Amendment. 5. Representations and Warranties. (a) The Borrower represents and warrants to each Lender and the Agent that on the Amendment No. 2 Effective Date (i) the representations and warranties of the Borrower set forth in Article III of the Credit Agreement and in the other Loan Documents are true and correct in all material respects (or, in the case of any portion of the representations and warranties already subject to a materiality qualifier, true and correct in all respects) on and as of the Amendment No. 2 Effective Date, or as to any such representation or warranty that refers to a specific date, as of such specific date and (ii) no Default or Event of Default has occurred and is continuing on the Amendment No. 2 Effective Date. 6. Reference to and Effect on the Credit Agreement. On and after the Amendment No. 2 Effective Date, each reference in the Credit Agreement to “this Agreement,” “hereunder,” “hereof” or words of like import referring to the Credit Agreement, shall mean and be a reference to the Credit Agreement as amended by this Amendment. The Credit Agreement and each of the other Loan Documents, as specifically amended by this Amendment, are and shall continue to be in full force and effect and are hereby in all respects ratified and confirmed. This Amendment shall be deemed to be a “Loan Document” for all purposes of the Credit Agreement (as amended hereby) and the other Loan Documents. The execution, delivery and effectiveness or waiver of any right, power or remedy of any Lender or the Agent under any of the Loan Documents, nor constitute an amendment or waiver of any provision of any of the Loan Documents. 7. Delayed Rate Switch for CDOR Quoted Currency. The provisions in the other Sections of this Amendment shall not apply with respect to any (a) Term Benchmark Borrowing requested, made or outstanding that bears interest with reference to the CDOR Rate (each such term being as defined in the Credit Agreement immediately prior to giving effect to this Amendment) that (i) is or was set prior to the Amendment No. 2 Effective Date and (ii) is held constant for a specifically designated period and is not reset on a daily or substantially daily basis (disregarding day count, weekend or holiday conventions) and (b) any retroactive margin, yield, fee or commission increases available to the Multicurrency Lenders as a result of any inaccuracy in any financial statement or compliance certificate that, if corrected, would have led to the application of a higher interest margin or yield with respect to any Term Benchmark Borrowing or any higher fee or commission for any applicable period, and in each case, the provisions with respect thereto (as in effect immediately prior to giving effect to the provisions of this Amendment on the Amendment No. 2 Effective Date) shall continue in effect solely for such purposes; provided that, with respect to any such Term Benchmark Borrowing described in clause (a) of this Section, such Term Benchmark Borrowing shall only continue in effect in accordance with its terms until the then-current Interest Period for such Term Benchmark Borrowing has concluded. 8. Miscellaneous. This Amendment may be executed in any number of counterparts, all of which taken together shall constitute one and the same amendatory instrument and any of the parties hereto may #4856-3764-7807v2 execute this Amendment by signing any such counterpart. Delivery of an executed counterpart of a signature page of this Amendment by facsimile or in electronic (e.g., “pdf” or “tif”) format shall be effective as delivery of a manually executed counterpart of this Amendment. Delivery of an executed counterpart of a signature page to this Amendment by electronic transmission shall be effective as delivery of a manually executed counterpart to this Amendment. The words “execution,” “signed,” “signature,” and words of like import in this Amendment shall be deemed to include electronic signatures or electronic records, each of which shall be of the same legal effect, validity or enforceability as a manually executed signature or the use of a paper-based recordkeeping system, as the case may be, to the extent and as provided for in any applicable law, including the Federal Electronic Signatures in Global and National Commerce Act, the New York Electronic Signatures and Records Act, or any other similar state laws based on the Uniform Electronic Transactions Act. This Amendment shall be governed by, and construed in accordance with, the of the State of New York. [remainder of page intentionally left blank] [Signature Page to Amendment No. 2 to Amended and Restated Credit Agreement] IN WITNESS WHEREOF, the parties hereto have caused this Amendment to be duly executed and delivered as of the day and year first written above. NEW MOUNTAIN FINANCE CORPORATION By: Name: Title: DocuSign Envelope ID: C5AE0092-8FA4-4903-BD91-6EE308A58175 Laura Holson Chief Operating Officer


 
[Signature Page to Amendment No. 2 to Amended and Restated Credit Agreement] GOLDMAN SACHS BANK USA, as Administrative Agent and as a Multicurrency Lender By: Name: Title: #4856-3764-7807v2 Exhibit A (See Attached) Execution Version Conformed Copy through Amendment No. 2 dated June 5, 2024 #4887-1928-1343v2 AMENDED AND RESTATED SENIOR SECURED REVOLVING CREDIT AGREEMENT dated as of June 4, 2021 among NEW MOUNTAIN FINANCE CORPORATION as Borrower The LENDERS Party Hereto and GOLDMAN SACHS BANK USA as Administrative Agent and Syndication Agent $198,500,000 __________________ GOLDMAN SACHS BANK USA as Sole Lead Arranger and Sole Book Runner


 
TABLE OF CONTENTS Page -i- #4887-1928-1343v2 ARTICLE I DEFINITIONS .......................................................................................................... 1 SECTION 1.01. Defined Terms ............................................................................... 1 SECTION 1.02. Classification of Loans and Borrowings ...................................... 42 SECTION 1.03. Terms Generally........................................................................... 43 SECTION 1.04. Accounting Terms; GAAP ........................................................... 43 SECTION 1.05. Currencies; Currency Equivalents ............................................... 43 SECTION 1.06. Divisions ...................................................................................... 45 SECTION 1.07. Rates ............................................................................................. 45 ARTICLE II THE CREDITS....................................................................................................... 45 SECTION 2.01. The Commitments ........................................................................ 45 SECTION 2.02. Loans and Borrowings ................................................................. 46 SECTION 2.03. Requests for Syndicated Borrowings ........................................... 47 SECTION 2.04. Swingline Loans........................................................................... 48 SECTION 2.05. Letters of Credit ........................................................................... 50 SECTION 2.06. Funding of Borrowings ................................................................ 55 SECTION 2.07. Interest Elections .......................................................................... 56 SECTION 2.08. Termination, Reduction or Increase of the Commitments ........... 57 SECTION 2.09. Repayment of Loans; Evidence of Debt ...................................... 60 SECTION 2.10. Prepayment of Loans ................................................................... 61 SECTION 2.11. Fees .............................................................................................. 64 SECTION 2.12. Interest.......................................................................................... 66 SECTION 2.13. Alternate Rate of Interest ............................................................. 67 SECTION 2.14. Increased Costs ............................................................................ 69 SECTION 2.15. Break Funding Payments ............................................................. 71 SECTION 2.16. Taxes ............................................................................................ 71 SECTION 2.17. Payments Generally; Pro Rata Treatment: Sharing of Set-offs ......................................................................................... 74 SECTION 2.18. Mitigation Obligations; Replacement of Lenders ........................ 77 SECTION 2.19. Defaulting Lenders....................................................................... 78 SECTION 2.20. Extension of Final Maturity Date ................................................ 81 TABLE OF CONTENTS (continued) Page -ii- #4887-1928-1343v2 ARTICLE III REPRESENTATIONS AND WARRANTIES ..................................................... 83 SECTION 3.01. Organization; Powers ................................................................... 83 SECTION 3.02. Authorization; Enforceability ...................................................... 83 SECTION 3.03. Governmental Approvals; No Conflicts ...................................... 83 SECTION 3.04. Financial Condition; No Material Adverse Change ..................... 83 SECTION 3.05. Litigation ...................................................................................... 84 SECTION 3.06. Compliance with Laws and Agreements ..................................... 84 SECTION 3.07. Taxes ............................................................................................ 84 SECTION 3.08. ERISA .......................................................................................... 84 SECTION 3.09. Disclosure .................................................................................... 84 SECTION 3.10. Investment Company Act; Margin Regulations .......................... 85 SECTION 3.11. Material Agreements and Liens ................................................... 85 SECTION 3.12. Subsidiaries and Investments ....................................................... 86 SECTION 3.13. Properties ..................................................................................... 86 SECTION 3.14. [Reserved] .................................................................................... 86 SECTION 3.15. OFAC ........................................................................................... 86 SECTION 3.16. USA Patriot Act ........................................................................... 86 SECTION 3.17. Collateral Documents................................................................... 87 ARTICLE IV CONDITIONS ...................................................................................................... 87 SECTION 4.01. Restatement Effective Date.......................................................... 87 SECTION 4.02. Each Credit Event ........................................................................ 88 ARTICLE V AFFIRMATIVE COVENANTS ............................................................................ 89 SECTION 5.01. Financial Statements and Other Information ............................... 89 SECTION 5.02. Notices of Material Events........................................................... 91 SECTION 5.03. Existence: Conduct of Business ................................................... 91 SECTION 5.04. Payment of Obligations................................................................ 91 SECTION 5.05. Maintenance of Properties; Insurance .......................................... 92 SECTION 5.06. Books and Records; Inspection and Audit Rights ....................... 92 SECTION 5.07. Compliance with Laws ................................................................ 92 TABLE OF CONTENTS (continued) Page -iii- #4887-1928-1343v2 SECTION 5.08. Certain Obligations Respecting Subsidiaries; Further Assurances ................................................................................... 92 SECTION 5.09. Use of Proceeds............................................................................ 93 SECTION 5.10. Status of RIC and BDC ................................................................ 94 SECTION 5.11. Investment Policies; Valuation Policy ......................................... 94 SECTION 5.12. Portfolio Valuation and Diversification Etc ................................ 94 SECTION 5.13. Calculation of Borrowing Base .................................................... 96 ARTICLE VI NEGATIVE COVENANTS ............................................................................... 101 SECTION 6.01. Indebtedness ............................................................................... 102 SECTION 6.02. Liens ........................................................................................... 103 SECTION 6.03. Fundamental Changes ................................................................ 104 SECTION 6.04. Investments ................................................................................ 105 SECTION 6.05. Restricted Payments ................................................................... 106 SECTION 6.06. Certain Restrictions on Subsidiaries .......................................... 107 SECTION 6.07. Certain Financial Covenants ...................................................... 107 SECTION 6.08. Transactions with Affiliates ....................................................... 107 SECTION 6.09. Lines of Business ....................................................................... 108 SECTION 6.10. No Further Negative Pledge ....................................................... 108 SECTION 6.11. Modifications of Longer-Term Indebtedness Documents ......... 108 SECTION 6.12. Payments of Longer-Term Indebtedness ................................... 109 SECTION 6.13. Accounting Changes .................................................................. 109 SECTION 6.14. SBIC Guarantee ......................................................................... 109 ARTICLE VII EVENTS OF DEFAULT .................................................................................. 109 ARTICLE VIII THE ADMINISTRATIVE AGENT ................................................................ 113 SECTION 8.01. Appointment of the Administrative Agent ................................ 113 SECTION 8.02. Capacity as Lender ..................................................................... 113 SECTION 8.03. Limitation of Duties; Exculpation ............................................. 113 SECTION 8.04. Reliance...................................................................................... 114 SECTION 8.05. Sub-Agents ................................................................................. 114 SECTION 8.06. Resignation; Successor Administrative Agent ........................... 114 TABLE OF CONTENTS (continued) Page -iv- #4887-1928-1343v2 SECTION 8.07. Reliance by Lenders ................................................................... 115 SECTION 8.08. Modifications to Loan Documents............................................. 115 SECTION 8.09. Erroneous Payments................................................................... 116 ARTICLE IX MISCELLANEOUS ........................................................................................... 118 SECTION 9.01. Notices; Electronic Communications ........................................ 118 SECTION 9.02. Waivers; Amendments ............................................................... 121 SECTION 9.03. Expenses; Indemnity; Damage Waiver ...................................... 123 SECTION 9.04. Successors and Assigns.............................................................. 125 SECTION 9.05. Survival ...................................................................................... 130 SECTION 9.06. Counterparts; Integration; Effectiveness; Electronic Execution ................................................................................... 130 SECTION 9.07. Severability ................................................................................ 130 SECTION 9.08. Right of Setoff............................................................................ 131 SECTION 9.09. Governing Law; Jurisdiction; Etc .............................................. 131 SECTION 9.10. WAIVER OF JURY TRIAL ...................................................... 132 SECTION 9.11. Judgment Currency .................................................................... 132 SECTION 9.12. Headings .................................................................................... 133 SECTION 9.13. Treatment of Certain Information; No Fiduciary Duty; Confidentiality ........................................................................... 133 SECTION 9.14. USA PATRIOT Act ................................................................... 134 SECTION 9.15. Acknowledgement Regarding Any Supported QFCs ................ 135 SECTION 9.16. Acknowledgement and Consent to Bail-In of Affected Financial Institutions .................................................................. 135 SECTION 9.17. Interest Rate Limitations ............................................................ 136


 
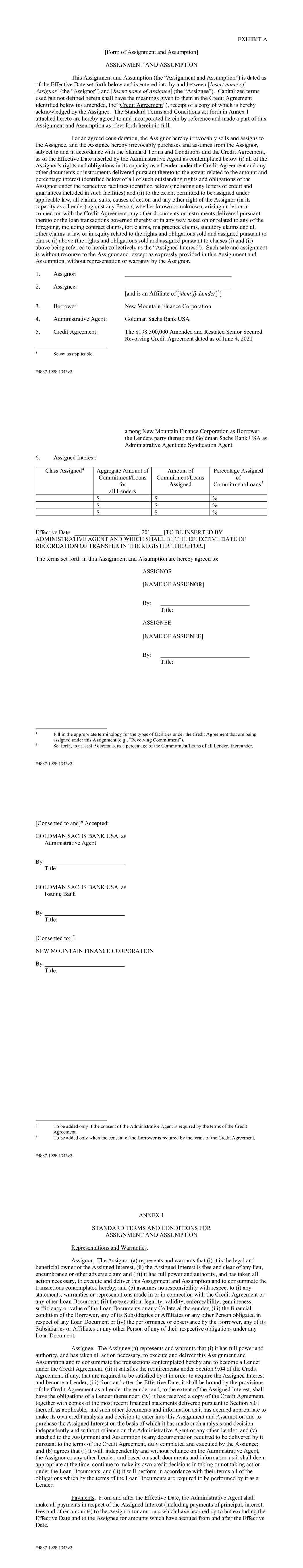
#4887-1928-1343v2 SCHEDULE 1.01(a) - Approved Dealers and Approved Pricing Services SCHEDULE 1.01(b) - Commitments SCHEDULE 1.01(c) - Industry Classification Group List SCHEDULE 2.05 - Summary of Certain Letter of Credit Policies SCHEDULE 3.11 - Material Agreements and Liens SCHEDULE 3.12(a) - Subsidiaries SCHEDULE 3.12(b) - Investments SCHEDULE 6.08 - Transactions with Affiliates EXHIBIT A - Form of Assignment and Assumption EXHIBIT B - Form of Borrowing Base Certificate EXHIBIT C - Form of Borrowing Request Revolving Credit Agreement #4887-1928-1343v2 THIS AMENDED AND RESTATED SENIOR SECURED REVOLVING CREDIT AGREEMENT dated as of June 4, 2021 (this “Agreement”), is entered into by and among NEW MOUNTAIN FINANCE CORPORATION, a Delaware corporation (the “Borrower”), the LENDERS party hereto, and GOLDMAN SACHS BANK USA, as Administrative Agent. The Borrower, the “Lenders” party thereto, (the “Existing Lenders”) and the Administrative Agent, are parties to a Senior Secured Revolving Credit Agreement dated as of June 4, 2014 (as amended, supplemented or otherwise modified prior to the date hereof, the “Existing Credit Facility”). Each of the Existing Lenders shall become or continue as a “Lender” under the Existing Credit Facility as amended and restated by this Agreement. The Borrower has requested that the Lenders provide the credit facility described herein under this Agreement which shall amend and restate the Existing Credit Facility in its entirety on the terms specified herein to, inter alia, extend credit to the Borrower in an initial face amount not exceeding $198,500,000 at any one time outstanding. The Lenders are prepared to amend and restate the Existing Credit Facility in its entirety upon the terms and conditions hereof, and, accordingly, the parties hereto agree as follows: ARTICLE I DEFINITIONS SECTION 1.01. Defined Terms. As used in this Agreement, the following terms have the meanings specified below: “ABR”, when used in reference to any Loan or Borrowing, refers to whether such Loan, or the Loans constituting such Borrowing, are denominated in Dollars and bearing interest at a rate determined by reference to the Alternate Base Rate. “Additional Lender” has the meaning assigned to such term in Section 2.20(b) of this Agreement. “Adjusted Borrowing Base” means the Borrowing Base minus the aggregate amount of Cash and Cash Equivalents included in the Portfolio Investments held by the Obligors (provided that Cash Collateral for outstanding Letters of Credit shall not be treated as a portion of the Portfolio Investments). “Adjusted Covered Debt Balance” means, on any date, the aggregate Covered Debt Amount on such date minus the aggregate amount of Cash and Cash Equivalents included in the Portfolio Investments held by the Obligors (provided that Cash Collateral for outstanding Letters of Credit shall not be treated as a portion of the Portfolio Investments). “Adjusted Term CORRA” means, with respect to any Term Benchmark Borrowing denominated in Canadian Dollars for any Interest Period, a rate per annum equal to (i) Term CORRA for such Interest Period plus (ii) the Term CORRA Adjustment; provided that, if the 2 #4887-1928-1343v2 Adjusted Term CORRA as determined shall ever be less than the Floor, the Adjusted Term CORRA shall be deemed to be the Floor. “Adjusted Term SOFR” means, for purposes of any calculation and subject to the provisions of Section 2.13, the rate per annum equal to (a) Term SOFR for such calculation plus (b) the Term SOFR Adjustment; provided that if Adjusted Term SOFR as so determined shall ever be less than the Floor, then Adjusted Term SOFR shall be deemed to be the Floor. “Administrative Agent” means Goldman Sachs Bank USA, in its capacity as administrative agent for the Lenders hereunder. “Administrative Agent’s Account” means, for each Currency, an account in respect of such Currency designated by the Administrative Agent in a notice to the Borrower and the Lenders. “Administrative Questionnaire” means an administrative questionnaire in a form supplied by the Administrative Agent. “Advance Rate” has the meaning assigned to such term in Section 5.13. “Affected Currency” has the meaning assigned to such term in Section 2.13. “Affected Financial Institution” means (a) any EEA Financial Institution or (b) any UK Financial Institution. “Affiliate” means, with respect to a specified Person, another Person that directly, or indirectly through one or more intermediaries, Controls or is Controlled by or is under common Control with the Person specified. Anything herein to the contrary notwithstanding, the term “Affiliate” shall not include any Person that constitutes an Investment held by any Obligor or Financing Subsidiary in the ordinary course of business; provided that the term “Affiliate” shall include any Financing Subsidiary. “Agreed Foreign Currency” means, at any time, (i) any of Canadian Dollars, English Pounds Sterling, Euros and Australian Dollars, and (ii) with the agreement of each Multicurrency Lender and the Issuing Bank, any other Foreign Currency, so long as, in respect of any such specified Foreign Currency or other Foreign Currency, at such time (a) such Foreign Currency is dealt with in the London interbank deposit market, (b) such Foreign Currency is freely transferable and convertible into Dollars in the London foreign exchange market and (c) no central bank or other governmental authorization in the country of issue of such Foreign Currency (including, in the case of the Euro, any authorization by the European Central Bank) is required to permit use of such Foreign Currency by any Multicurrency Lender for making any Loan hereunder and/or to permit the Borrower to borrow and repay the principal thereof and to pay the interest thereon, unless such authorization has been obtained and is in full force and effect. “Agreement” has the meaning assigned to such term in the preamble to this Agreement. 3 #4887-1928-1343v2 “Alternate Base Rate” means, for any day, a rate per annum equal to the greatest of (a) the Prime Rate in effect on such day, (b) the Federal Funds Effective Rate for such day plus 1/2 of 1% and (c) the rate per annum equal to 1% plus the Adjusted Term SOFR with a term of one month as in effect on the applicable ABR Term SOFR Determination Date for such day. Any change in the Alternate Base Rate due to a change in the Prime Rate, the Federal Funds Effective Rate or Adjusted Term SOFR as set forth above shall be effective from and including the effective date of such change in the Prime Rate, the Federal Funds Effective Rate or Adjusted Term SOFR, respectively. “Applicable Dollar Percentage” means, with respect to any Dollar Lender, the percentage of the total Dollar Commitments represented by such Dollar Lender’s Dollar Commitment. If the Dollar Commitments have terminated or expired, the Applicable Dollar Percentages shall be determined based upon the Dollar Commitments most recently in effect, giving effect to any assignments. “Applicable Financial Statements” means, as at any date, the most-recent audited financial statements of the Borrower delivered to the Lenders; provided that if immediately prior to the delivery to the Lenders of new audited financial statements of the Borrower a Material Adverse Change (the “Pre-existing MAC”) shall exist (regardless of when it occurred), then the “Applicable Financial Statements” as at said date means the Applicable Financial Statements in effect immediately prior to such delivery until such time as the Pre-existing MAC shall no longer exist. “Applicable Margin” means: (a) with respect to any ABR Loan, 1.10% per annum; and (b) with respect to any Term Benchmark Loan or RFR Loan, 2.10% per annum. “Applicable Multicurrency Percentage” means, with respect to any Multicurrency Lender, the percentage of the total Multicurrency Commitments represented by such Multicurrency Lender’s Multicurrency Commitment. If the Multicurrency Commitments have terminated or expired, the Applicable Multicurrency Percentages shall be determined based upon the Multicurrency Commitments most recently in effect, giving effect to any assignments. “Applicable Percentage” means, with respect to any Lender, the percentage of the total Commitments represented by such Lender’s Commitment. If the Commitments have terminated or expired, the Applicable Percentages shall be determined based upon the Commitments most recently in effect, giving effect to any assignments. “Approved Dealer” means (a) in the case of any Portfolio Investment that is not a U.S. Government Security, a bank or a broker-dealer registered under the Securities Exchange Act of 1934 of nationally recognized standing or an Affiliate thereof, (b) in the case of a U.S. Government Security, any primary dealer in U.S. Government Securities, and (c) in the case of any foreign Portfolio Investment, any foreign broker-dealer of internationally recognized standing or an Affiliate thereof, in the case of each of clauses (a), (b) and (c) above, as set forth on Schedule 1.01(a) or any other bank or broker-dealer acceptable to the Administrative Agent in its reasonable determination.


 
4 #4887-1928-1343v2 “Approved Pricing Service” means a pricing or quotation service as set forth in Schedule 1.01(a) or any other pricing or quotation service approved by the Board of Directors of the Borrower and designated in writing to the Administrative Agent (which designation shall be accompanied by a copy of a resolution of the Board of Directors of the Borrower that such pricing or quotation service has been approved by the Borrower). “Approved Third-Party Appraiser” means any Independent nationally recognized third-party appraisal firm (a) designated by the Borrower in writing to the Administrative Agent (which designation shall be accompanied by a copy of a resolution of the Board of Directors of the Borrower that such firm has been approved by the Borrower for purposes of assisting the Board of Directors of the Borrower in making valuations of portfolio assets to determine the Borrower’s compliance with the applicable provisions of the Investment Company Act) and (b) acceptable to the Administrative Agent. It is understood and agreed that Houlihan Lokey Howard & Zukin Capital, Inc., Duff & Phelps LLC, Murray, Devine and Company, Lincoln International LLC (formerly known as Lincoln Partners LLC) and Valuation Research Corporation are acceptable to the Administrative Agent. As used in Section 5.12 hereof, an “Approved Third-Party Appraiser selected by the Administrative Agent” shall mean any of the firms identified in the preceding sentence and any other Independent nationally recognized third-party appraisal firm identified by the Administrative Agent and consented to by the Borrower (such consent not to be unreasonably withheld). “Asset Coverage Ratio” means the ratio, determined on a consolidated basis for Borrower and its Subsidiaries, without duplication, of (a) the Value of total assets of the Borrower and its Subsidiaries, less all liabilities and indebtedness not represented by senior securities, to (b) the aggregate amount of senior securities representing indebtedness of Borrower and its Subsidiaries (including this Agreement), in each case as determined pursuant to Section 18 under the Investment Company Act, as modified by Section 61 thereunder, and any orders of the Securities and Exchange Commission issued to or with respect to Borrower thereunder, including any exemptive relief granted by the Securities and Exchange Commission with respect to the indebtedness of any SBIC Subsidiary. “Assignment and Assumption” means an Assignment and Assumption entered into by a Lender and an assignee (with the consent of any party whose consent is required by Section 9.04), and accepted by the Administrative Agent, in the form of Exhibit A (with adjustments thereto to reflect the Classes of Commitments and/or Loans being assigned or outstanding at the time of the respective assignment) or any other form approved by the Administrative Agent. “Assuming Lender” has the meaning assigned to such term in Section 2.08(e). “AUD” and “Australian Dollars” denote the lawful currency of The Commonwealth of Australia. “AUD Rate” means the sum of (i) the Bank Bill Swap Reference Bid rate or a successor thereto approved by the Administrative Agent (“BBSY”) as published by Reuters (or such other page or commercially available source providing BBSY (Bid) quotations as may be designated by the Administrative Agent from time to time) at or about 10:30 a.m. (Melbourne, 5 #4887-1928-1343v2 Australia time) on the day that is two Business Days prior to the first day of the Interest Period (or if such day is not a Business Day, then on the immediately preceding Business Day) with a term equivalent to such Interest Period (the “AUD Screen Rate”) and (ii) 0.05%. “AUD Screen Rate” has the meaning given to such term in the definition of “AUD Rate”. “Availability Period” means with respect to any Lender, the period from and including the Restatement Effective Date to but excluding the earlier of the Commitment Termination Date and the date of termination of the Commitments. “Available Tenor” means, as of any date of determination and with respect to the then-current Benchmark, as applicable, (x) if the then-current Benchmark is a term rate, any tenor for such Benchmark (or component thereof) that is or may be used for determining the length of an Interest Period or (y) otherwise, any payment period for interest calculated with reference to such Benchmark, as applicable, pursuant to this Agreement as of such date. “Bail-In Action” means the exercise of any Write-Down and Conversion Powers by the applicable Resolution Authority in respect of any liability of an Affected Financial Institution. “Bail-In Legislation” means (a) with respect to any EEA Member Country implementing Article 55 of Directive 2014/59/EU of the European Parliament and of the Council of the European Union, the implementing law, regulation rule or requirement for such EEA Member Country from time to time which is described in the EU Bail-In Legislation Schedule and (b) with respect to the United Kingdom, Part I of the United Kingdom Banking Act 2009 (as amended from time to time) and any other law, regulation or rule applicable in the United Kingdom relating to the resolution of unsound or failing banks, investment firms or other financial institutions or their affiliates (other than through liquidation, administration or other insolvency proceedings). “Basel III” means, collectively, those certain agreements on capital and liquidity standards contained in “Basel III: A Global Regulatory Framework for More Resilient Banks and Banking Systems,” “Basel III: International Framework for Liquidity Risk Measurement, Standards and Monitoring,” and “Guidance for National Authorities Operating the Countercyclical Capital Buffer,” each as published by the Basel Committee on Banking Supervision in December 2010 (as revised from time to time), and “Basel III: The Liquidity Coverage Ratio and Liquidity Risk Monitoring Tools,” as published by the Basel Committee on Banking Supervision in January 2013 (as revised from time to time), and, in each case, as implemented by a Lender’s primary United State bank regulatory authority. “Benchmark” means, initially, the Relevant Rate; provided that if a Benchmark Transition Event or a Term ESTR Transition Event, as applicable, and its related Benchmark Replacement Date have occurred with respect to the Relevant Rate or the then-current Benchmark, then “Benchmark” means the applicable Benchmark Replacement to the extent that such Benchmark Replacement has replaced such prior benchmark rate pursuant to Section 2.13. Any 6 #4887-1928-1343v2 reference to “Benchmark” shall include, as applicable, the published component used in the calculation thereof. “Benchmark Replacement” means, for any Available Tenor, the first alternative set forth in the order below that can be determined by the Administrative Agent for the applicable Benchmark Replacement Date; provided that, in the case of any Loan denominated in any Foreign Currency other than CAD, Euros or GBP, “Benchmark Replacement” shall mean the alternative set forth in (5) below : (1) in the case of any Loan denominated in Dollars, the first alternative set forth below that can be determined by the Administrative Agent: (a) the sum of: (i) Daily Simple SOFR and (ii) the applicable Benchmark Replacement Adjustment; or (b) the alternate benchmark rate and (b) an adjustment (which may be a positive or negative value or zero), in each case, that has been selected by the Administrative Agent and the Borrower as the replacement for such Available Tenor of such Benchmark giving due consideration to any evolving or then-prevailing market convention, including any applicable recommendations made by the Relevant Governmental Body, for U.S. dollar-denominated syndicated credit facilities at such time; (2) in the case of any Loan denominated in Euros, the first alternative set forth below that can be determined by the Administrative Agent; (a) the sum of (a) Term ESTR and (b) the related Benchmark Replacement Adjustment; and (b) the sum of (a) Daily Simple ESTR and (b) the related Benchmark Replacement Adjustment; (3) in the case of any Loan denominated in English Pounds Sterling, the sum of (a) the Central Bank Rate for that RFR Banking Day and (b) the applicable Central Bank Rate Adjustment; provided that if the Central Bank Rate is not available for that RFR Banking Day, the Benchmark Replacement shall be the sum of (i) the most recent Central Bank Rate for a day which is no more than two (2) RFR Banking Days before that RFR Banking Day and (ii) the applicable Central Bank Rate Adjustment; (4) in the case of any Loan denominated in Canadian Dollars, the sum of (a) the Daily Simple CORRA and (b) the related Benchmark Replacement Adjustment; and (5) the sum of (a) the alternate benchmark rate and (b) an adjustment (which may be a positive or negative value or zero), in each case, that has been selected by the Administrative Agent and the Borrower as the replacement for such Available Tenor of such Benchmark giving due consideration to any evolving or then- 7 #4887-1928-1343v2 prevailing market convention, including any applicable recommendations made by the Relevant Governmental Body, for syndicated credit facilities in the United States at such time; provided that, in the case of clause (1)(a) or (2)(a), such Unadjusted Benchmark Replacement is displayed on a screen or other information service that publishes such rate from time to time as selected by the Administrative Agent in its reasonable discretion; provided further that, with respect to a Loan denominated in Euros, notwithstanding anything to the contrary in this Agreement or in any other Loan Document, upon the occurrence of a Term ESTR Transition Event, and the delivery of a Term ESTR Notice, on the applicable Benchmark Replacement Date the “Benchmark Replacement” shall revert to and shall be deemed to be the sum of (a) Term ESTR and (b) the related Benchmark Replacement Adjustment, as set forth in clause (1)(C) of this definition (subject to the first proviso above); provided, further, that if the Benchmark Replacement as determined pursuant to any of the foregoing would be less than the Floor, the Benchmark Replacement will be deemed to be the Floor for the purposes of this Agreement and the other Loan Documents. “Benchmark Replacement Adjustment” means, with respect to any replacement of the Relevant Rate with an Unadjusted Benchmark Replacement, the spread adjustment, or method for calculating or determining such spread adjustment, (which may be a positive or negative value or zero) that has been selected by the Administrative Agent and the Borrower giving due consideration to (a) any selection or recommendation of a spread adjustment, or method for calculating or determining such spread adjustment, for the replacement of such Benchmark with the applicable Unadjusted Benchmark Replacement by the Relevant Governmental Body or (b) any evolving or then-prevailing market convention for determining a spread adjustment, or method for calculating or determining such spread adjustment, for the replacement of such Benchmark with the applicable Unadjusted Benchmark Replacement for Dollar-denominated syndicated credit facilities at such time. “Benchmark Replacement Date” means the earlier to occur of the following events with respect to the then-current Benchmark: (a) in the case of clause (a) or (b) of the definition of “Benchmark Transition Event,” the later of (i) the date of the public statement or publication of information referenced therein and (ii) the date on which the administrator of such Benchmark (or the published component used in the calculation thereof) permanently or indefinitely ceases to provide such Benchmark (or such component thereof) or, if such Benchmark is a term rate, all Available Tenors of such Benchmark (or such component thereof); or (b) in the case of clause (c) of the definition of “Benchmark Transition Event,” the first date on which all Available Tenors of such Benchmark (or the published component used in the calculation thereof) has been or, if such Benchmark is a term rate, all Available Tenors of such Benchmark (or such component thereof) have been determined and announced by the regulatory supervisor for the administrator of such Benchmark (or such component thereof) to be non-representative; provided that such non-representativeness will be determined by reference to the most recent statement or publication referenced in such clause (c)


 
8 #4887-1928-1343v2 and even if such Benchmark (or such component thereof) or, if such Benchmark is a term rate, any Available Tenor of such Benchmark (or such component thereof) continues to be provided on such date. For the avoidance of doubt, if such Benchmark is a term rate, the “Benchmark Replacement Date” will be deemed to have occurred in the case of clause (a) or (b) with respect to any Benchmark upon the occurrence of the applicable event or events set forth therein with respect to all then-current Available Tenors of such Benchmark (or the published component used in the calculation thereof). “Benchmark Transition Event” means, (a) a public statement or publication of information by or on behalf of the administrator of such Benchmark (or the published component used in the calculation thereof) announcing that such administrator has ceased or will cease to provide all Available Tenors of such Benchmark (or such component thereof), permanently or indefinitely, provided that, at the time of such statement or publication, there is no successor administrator that will continue to provide any Available Tenor of such Benchmark (or such component thereof); (b) a public statement or publication of information by the regulatory supervisor for the administrator of such Benchmark (or the published component used in the calculation thereof), the Federal Reserve Board, the NYFRB, an insolvency official with jurisdiction over the administrator for such Benchmark (or such component), a resolution authority with jurisdiction over the administrator for such Benchmark (or such component) or a court or an entity with similar insolvency or resolution authority over the administrator for such Benchmark (or such component), in each case which states that the administrator of such Benchmark (or such component) has ceased or will cease to provide all Available Tenors of such Benchmark (or such component thereof) permanently or indefinitely; provided that, at the time of such statement or publication, there is no successor administrator that will continue to provide any Available Tenor of such Benchmark (or such component thereof); or (c) a public statement or publication of information by the regulatory supervisor for the administrator of such Benchmark (or the published component used in the calculation thereof) announcing that all Available Tenors of such Benchmark (or such component thereof) are no longer representative. For the avoidance of doubt, a “Benchmark Transition Event” will be deemed to have occurred with respect to any Benchmark if a public statement or publication of information set forth above has occurred with respect to each then-current Available Tenor of such Benchmark (or the published component used in the calculation thereof). “Benchmark Unavailability Period” means, with respect to any Benchmark, the period (if any) (x) beginning at the time that a Benchmark Replacement Date has occurred if, at such time, no Benchmark Replacement has replaced such then-current Benchmark for all purposes hereunder and under any Loan Document in accordance with Section 2.13 and (y) ending at the time that a Benchmark Replacement has replaced such then-current Benchmark for all purposes hereunder and under any Loan Document in accordance with Section 2.13. 9 #4887-1928-1343v2 “BHC Act Affiliate” of a party means an “affiliate” (as such term is defined under, and interpreted in accordance with, 12 U.S.C. 1841(k)) of such party. “Borrower” has the meaning assigned to such term in the preamble to this Agreement. “Borrowing” means (a) all Syndicated ABR Loans of the same Class made, converted or continued on the same date, (b) all Term Benchmark Loans of the same Class denominated in the same Currency that have the same Interest Period, (c) all RFR Loans of the same Class denominated in the same Currency that have the same Interest Period or (d) a Swingline Loan. “Borrowing Base” has the meaning assigned to such term in Section 5.13. “Borrowing Base Certificate” means a certificate of a Financial Officer of the Borrower, substantially in the form of Exhibit B and appropriately completed. “Borrowing Base Deficiency” means, at any date on which the same is determined, the amount, if any, that (a) the aggregate Covered Debt Amount as of such date exceeds (b) the Borrowing Base as of such date. “Borrowing Request” means a request by the Borrower for a Syndicated Borrowing in accordance with Section 2.03, which, if in writing, shall be substantially in the form of Exhibit C. “Business Day” means any day (a) that is not a Saturday, Sunday or other day on which commercial banks in New York, New York are authorized or required by law to remain closed, (b) if such day relates to a borrowing of, a payment or prepayment of principal of or interest on, a continuation or conversion of or into, or the Interest Period for, a Term Benchmark Borrowing denominated in Dollars, that is also a U.S. Government Securities Business Day, (c) if such day relates to a borrowing of, a payment or prepayment of principal of or interest on, a continuation or conversion of or into, or the Interest Period for, an RFR Borrowing denominated in English Pounds Sterling, that is also an RFR Business Day, (d) in relation to any Loan denominated in a Local Rate Currency, any day (other than a Saturday or a Sunday) on which the central bank responsible for administering such Currency is open for business, as determined by the Administrative Agent in its reasonable discretion and (e) if such day relates to a borrowing or continuation of, a payment or prepayment of principal of or interest on, or the Interest Period for, any Borrowing denominated in any other Foreign Currency, or to a notice by the Borrower with respect to any such borrowing, continuation, payment, prepayment or Interest Period, that is also a day on which commercial banks and the London foreign exchange market settle payments in the Principal Financial Center for such Foreign Currency. “CAD” and “Canadian Dollar” denote the lawful currency of Canada. “Capital Lease Obligations” of any Person means the obligations of such Person to pay rent or other amounts under any lease of (or other arrangement conveying the right to use) real or personal property, or a combination thereof, which obligations are required to be classified and 10 #4887-1928-1343v2 accounted for as capital leases on a balance sheet of such Person under GAAP, and the amount of such obligations shall be the capitalized amount thereof determined in accordance with GAAP. “Cash” means any immediately available funds in Dollars or in any currency other than Dollars (measured in terms of the Dollar Equivalent thereof) which is a freely convertible currency. “Cash Collateralize” means, in respect of a Letter of Credit or any obligation hereunder, to provide and pledge cash collateral pursuant to Section 2.05(k), at a location and pursuant to documentation in form and substance reasonably satisfactory to Administrative Agent and the Issuing Bank. “Cash Collateral” shall have a meaning correlative to the foregoing and shall include the proceeds of such cash collateral and other credit support. “Cash Equivalents” means investments (other than Cash) that are one or more of the following obligations: (a) U.S. Government Securities, in each case maturing within one year from the date of acquisition thereof; (b) investments in commercial paper maturing within 270 days from the date of acquisition thereof and having, at such date of acquisition, a credit rating of at least A-1 from S&P and at least P-1 from Moody’s; (c) investments in certificates of deposit, banker’s acceptances and time deposits maturing within 180 days from the date of acquisition thereof (i) issued or guaranteed by or placed with, and money market deposit accounts issued or offered by, any domestic office of any commercial bank organized under the laws of the United States of America or any State thereof or under the laws of the jurisdiction or any constituent jurisdiction thereof of any Agreed Foreign Currency; provided that such certificates of deposit, banker’s acceptances and time deposits are held in a securities account (as defined in the Uniform Commercial Code) through which the Collateral Agent can perfect a security interest therein and (ii) having, at such date of acquisition, a credit rating of at least A-1 from S&P and at least P-1 from Moody’s; (d) fully collateralized repurchase agreements with a term of not more than 30 days from the date of acquisition thereof for U.S. Government Securities and entered into with (i) a financial institution satisfying the criteria described in clause (c) of this definition or (ii) an Approved Dealer having (or being a member of a consolidated group having) at such date of acquisition, a credit rating of at least A-1 from S&P and at least P-1 from Moody’s; and (e) investments in money market funds that invest solely, and which are restricted by their respective charters to invest solely, in investments of the type described in the immediately preceding clauses (a) through (d) above (including as to credit quality and maturity). provided that (i) in no event shall Cash Equivalents include any obligation that provides for the payment of interest alone (for example, interest-only securities or “IOs”); (ii) if any of Moody’s 11 #4887-1928-1343v2 or S&P changes its rating system, then any ratings included in this definition shall be deemed to be an equivalent rating in a successor rating category of Moody’s or S&P, as the case may be; (iii) Cash Equivalents (other than U.S. Government Securities or repurchase agreements) shall not include any such investment of more than 10% of total assets of the Borrower and its Subsidiaries in any single issuer; and (iv) in no event shall Cash Equivalents include any obligation that is not denominated in Dollars or an Agreed Foreign Currency. “Central Bank Rate” means the Bank of England’s Bank Rate as published by the Bank of England from time to time. “Central Bank Rate Adjustment” means, in relation to the Central Bank Rate prevailing at close of business on any RFR Business Day, the 20% trimmed arithmetic mean of the Central Bank Rate Spreads for the 5 most immediately preceding RFR Business Days for which RFR is available. “Central Bank Rate Spread” means in relation to any RFR Business Day, the difference (expressed as a percentage rate per annum) between (x) the RFR for such RFR Business Day and (y) the Central Bank Rate prevailing at close of business on such RFR Business Day. “Change in Control” means (i) the acquisition of ownership, directly or indirectly, beneficially or of record, by any Person or group (within the meaning of the Securities Exchange Act of 1934 and the rules of the SEC thereunder as in effect on the Restatement Effective Date), other than a Permitted Holder, of shares representing more than 35% of the aggregate ordinary voting power represented by the issued and outstanding shares of capital stock, membership interest or partnership interest, as applicable, in the External Manager or (ii) the acquisition of direct or indirect Control of the External Manager by any Person or group (other than a Permitted Holder). “Change in Law” means the occurrence, after the date of this Agreement, of (a) the adoption of any law, treaty or governmental rule or regulation or any change in any law, treaty or governmental rule or regulation or in the interpretation, administration or application thereof (regardless of whether the underlying law, treaty or governmental rule or regulation was issued or enacted prior to the date hereof), but excluding proposals thereof, or any determination of a court or Governmental Authority, (b) any guideline, request or directive by any Governmental Authority (whether or not having the force of law) or any implementation rules or interpretations of previously issued guidelines, requests or directives, in each case that is issued or made after the date hereof or (c) compliance by any Lender (or its applicable lending office) or any company controlling such Lender with any guideline, request or directive regarding capital adequacy or liquidity (whether or not having the force of law) of any such Governmental Authority, in each case adopted after the date hereof. For the avoidance of doubt, all rules, regulations or directives concerning liquidity and capital adequacy issued (i) by any United States bank regulatory authority having jurisdiction over such Lender under or in connection with the implementation of the Dodd- Frank Wall Street Reform and Consumer Protection Act of 2010 and (ii) pursuant to Basel III, shall in each case be deemed to be a “Change in Law”, regardless of the date adopted, issued, promulgated or implemented.


 
12 #4887-1928-1343v2 “Class”, when used in reference to any Loan or Borrowing, refers to whether such Loan, or the Loans constituting such Borrowing, are Syndicated Dollar Loans, Syndicated Multicurrency Loans or Swingline Loans; when used in reference to any Lender’s Class of Commitment, refers to whether such Lender is a Dollar Lender or a Multicurrency Lender; and, when used in reference to any Commitment, refers to whether such Commitment is a Dollar Commitment or a Multicurrency Commitment. The “Class” of a Letter of Credit refers to whether such Letter of Credit is a Dollar Letter of Credit or a Multicurrency Letter of Credit. “Code” means the Internal Revenue Code of 1986, as amended from time to time. “Collateral” has the meaning assigned to such term in the Guarantee and Security Agreement. “Collateral Agent” means Goldman Sachs Bank USA in its capacity as Collateral Agent under the Guarantee and Security Agreement, and includes any successor Collateral Agent thereunder. “Commitments” means, collectively, the Dollar Commitments and the Multicurrency Commitments. “Commitment Increase” has the meaning assigned to such term in Section 2.08(e). “Commitment Increase Date” has the meaning assigned to such term in Section 2.08(e). “Commitment Termination Date” means June 4, 2025. “Conforming Changes” means, with respect to either the use or administration of Adjusted Term SOFR or the use, administration, adoption or implementation of any Benchmark Replacement, any technical, administrative or operational changes (including changes to the definition of “Alternate Base Rate,” the definition of “Business Day,” the definition of “U.S. Government Securities Business Day,” the definition of “Interest Period” or any similar or analogous definition (or the addition of a concept of “interest period”), timing and frequency of determining rates and making payments of interest, timing of borrowing requests or prepayment, conversion or continuation notices, the applicability and length of lookback periods, the applicability of Section 2.15 and other technical, administrative or operational matters) that the Administrative Agent decides, in consultation with the Borrower, may be appropriate to reflect the adoption and implementation of any such rate or to permit the use and administration thereof by the Administrative Agent in a manner substantially consistent with market practice (or, if the Administrative Agent decides that adoption of any portion of such market practice is not administratively feasible or if the Administrative Agent determines that no market practice for the administration of any such rate exists, in such other manner of administration as the Administrative Agent decides, in consultation with the Borrower, is reasonably necessary in connection with the administration of this Agreement and the other Loan Documents). “Continuing Lender” has the meaning assigned to such term in Section 2.20(c) of this Agreement. 13 #4887-1928-1343v2 “Control” means the possession, directly or indirectly, of the power to direct or cause the direction of the management or policies of a Person, whether through the ability to exercise voting power, by contract or otherwise. “Controlling” and “Controlled” have meanings correlative thereto. “CORRA” means the Canadian Overnight Repo Rate Average administered and published by the Bank of Canada (or any successor administrator). “CORRA Administrator” means the Bank of Canada (or any successor administrator). “CORRA Determination Date” has the meaning assigned to such term in the definition of “Daily Simple CORRA”. “CORRA Rate Day” has the meaning assigned to such term in the definition of “Daily Simple CORRA”. “Corresponding Tenor” with respect to any Available Tenor means, as applicable, either a tenor (including overnight) or an interest payment period having approximately the same length (disregarding business day adjustment) as such Available Tenor. “Covered Entity” means any of the following: (i) a “covered entity” as that term is defined in, and interpreted in accordance with, 12 C.F.R. § 252.82(b); (ii) a “covered bank” as that term is defined in, and interpreted in accordance with, 12 C.F.R. § 47.3(b); or (iii) a “covered FSI” as that term is defined in, and interpreted in accordance with, 12 C.F.R. § 382.2(b). “Covered Debt Amount” means, on any date, the sum of (x) all of the Revolving Credit Exposures of all Lenders on such date plus (y) the aggregate amount of Other Covered Indebtedness on such date minus (z) the LC Exposures fully Cash Collateralized on such date pursuant to Section 2.05(k). “Covered Party” has the meaning assigned to it in Section 9.15. “Currency” means Dollars or any Foreign Currency. “Daily Simple CORRA” means, for any day (a “CORRA Rate Day”), a rate per annum equal to CORRA for the day (such day “CORRA Determination Date”) that is five Business Days prior to (i) if such CORRA Rate Day is a Business Day, such CORRA Rate Day or (ii) if such CORRA Rate Day is not a Business Day, the Business Day immediately preceding such CORRA Rate Day, in each case, as such CORRA is published by the CORRA Administrator on the CORRA Administrator’s website. Any change in Daily Simple CORRA due to a change in CORRA shall be effective from and including the effective date of such change in CORRA without 14 #4887-1928-1343v2 notice to the Borrower. If by 1:00 p.m. (Toronto time) on any given CORRA Determination Date, CORRA in respect of such CORRA Determination Date has not been published on the CORRA Administrator’s website and a Benchmark Replacement Date with respect to the Daily Simple CORRA has not occurred, then CORRA for such CORRA Determination Date will be CORRA as published in respect of the first preceding Business Day for which such CORRA was published on the CORRA Administrator’s website, so long as such first preceding Business Day for which CORRA was published is not more than three consecutive Business Days prior to such CORRA Determination Date. “Daily Simple ESTR” means, for any day, ESTR, with the conventions for this rate (which may include a lookback) being established by the Administrative Agent in accordance with the conventions for this rate selected or recommended by the Relevant Governmental Body for determining “Daily Simple ESTR” for business loans; provided that, if the Administrative Agent decides that any such convention is not administratively feasible for the Administrative Agent, then the Administrative Agent may establish another convention in its reasonable discretion. “Daily Simple RFR” means, for any day (an “RFR Interest Day”), an interest rate per annum equal to the greater of (a) (x) SONIA for the day that is 5 RFR Business Days prior to (i) if such RFR Interest Day is an RFR Business Day, such RFR Interest Day or (ii) if such RFR Interest Day is not an RFR Business Day, the RFR Business Day immediately preceding such RFR Interest Day (such RFR Business Day determined pursuant to each of subclauses (i) and (ii), the “RFR Lookback Day”), (y) if SONIA is not available for the RFR Lookback Day determined pursuant to clause (x) above, if by 5:00 p.m., London time, on the second (2nd) Business Day immediately following any day “i”, RFR in respect of such day “i” has not been published on the SONIA Administrator’s Website, then RFR for such day “i” will be RFR as published in respect of the first preceding Business Day for which RFR was published on the SONIA Administrator’s Website (provided that RFR determined pursuant to this clause (y) shall be utilized for purposes of calculation of Daily Simple RFR for no more than three (3) consecutive RFR Interest Days) or (z) if RFR has been determined pursuant to clause (y) above for three (3) consecutive RFR Interest Days and SONIA remains unavailable for the relevant RFR Lookback Day, RFR shall be (1) the percentage rate per annum which is the aggregate of (I) the Central Bank Rate for such RFR Lookback Day and (II) the applicable Central Bank Rate Adjustment or (2) if clause (z)(1) applies but the Central Bank Rate for the applicable RFR Lookback Day is not available, the Daily Simple RFR for such RFR Lookback Day shall be the percentage rate per annum which is the aggregate of (I) the most recent Central Bank Rate for an RFR Business Day which is no more than five RFR Business Days before that RFR Lookback Day and (II) the applicable Central Bank Rate Adjustment and (b) 0.00%. “Daily Simple SOFR” means, for any day, SOFR, with the conventions for this rate (which will include a lookback) being established by the Administrative Agent in accordance with the conventions for this rate recommended by the Relevant Governmental Body for determining “Daily Simple SOFR” for syndicated business loans; provided, that if the Administrative Agent decides that any such convention is not administratively feasible for the Administrative Agent, then the Administrative Agent may establish another convention in its reasonable discretion. “Debt to Equity Ratio” means the ratio of (a) the aggregate amount of senior securities representing indebtedness of the Borrower and its Subsidiaries (including under this 15 #4887-1928-1343v2 Agreement), in each case as determined pursuant to the Investment Company Act, and any orders of the Securities and Exchange Commission issued to or with respect to the Borrower thereunder, including any exemptive relief granted by the Securities and Exchange Commission with respect to the indebtedness of any SBIC Subsidiary to (b) Shareholders’ Equity at the last day of the immediately preceding fiscal quarter of the Borrower. “Default” means any event or condition which constitutes an Event of Default or which upon notice, lapse of time or both would, unless cured or waived, become an Event of Default. “Defaulting Lender” means, subject to Section 2.19(b), any Lender that, (a) has failed to (i) fund all or any portion of its Loans or participations in Letters of Credit within two Business Days of the date such Loans were required to be funded hereunder unless such Lender notifies the Administrative Agent and the Borrower in writing that such failure is the result of such Lender’s reasonable determination that one or more conditions precedent to funding (each of which conditions precedent, together with the applicable default, if any, shall be specifically identified in detail in such writing) has not been satisfied, or (ii) pay to the Administrative Agent, Issuing Bank, Swingline Lender or any Lender any other amount required to be paid by it hereunder (including in respect of its participation in Letters of Credit or Swingline Loans) within two Business Days of the date when due, (b) has notified the Borrower, the Administrative Agent, Issuing Bank or Swingline Lender in writing that it does not intend to comply with its funding obligations hereunder, or has made a public statement to that effect (unless such writing or public statement relates to such Lender’s obligation to fund a Loan hereunder and states that such position is based on such Lender’s reasonable determination that a condition precedent to funding (which condition precedent, together with the applicable default, if any, shall be specifically identified in detail in such writing or public statement) cannot be satisfied), (c) has failed, within three Business Days after written request by the Administrative Agent or the Borrower, to confirm in writing to the Administrative Agent and the Borrower that it will comply with its prospective funding obligations hereunder (provided that such Lender shall cease to be a Defaulting Lender pursuant to this clause (c) upon receipt of such written confirmation by Administrative Agent and Borrower), or (d) Administrative Agent has received notification that such Lender has become, or has a direct or indirect parent company that is, (i) insolvent, or is generally unable to pay its debts as they become due, or admits in writing its inability to pay its debts as they become due, or makes a general assignment for the benefit of its creditors, (ii) other than via an Undisclosed Administration, the subject of a bankruptcy, insolvency, reorganization, liquidation or similar proceeding, or a receiver, trustee, conservator, intervenor or sequestrator or the like has been appointed for such Lender or its direct or indirect parent company, or such Lender or its direct or indirect parent company has taken any action in furtherance of or indicating its consent to or acquiescence in any such proceeding or appointment or (iii) become the subject of a Bail-in Action; provided that a Lender shall not be a Defaulting Lender solely by virtue of the ownership or acquisition of any Equity Interest in that Lender or any direct or indirect parent company thereof by a Governmental Authority or instrumentality so long as such ownership interest does not result in or provide such Lender with immunity from the jurisdiction of courts within the United States or from the enforcement of judgments or writs of attachment on its assets or permit such Lender (or such Governmental Authority or instrumentality) to reject, repudiate, disavow or disaffirm any contracts or agreements made with such Lender. Any determination by the Administrative Agent that a Lender is a Defaulting Lender under any one or more of clauses (a) through (d) above shall


 
16 #4887-1928-1343v2 be conclusive and binding absent manifest error, and such Lender shall be deemed to be a Defaulting Lender (subject to Section 2.19(b)) upon such determination (and the Administrative Agent shall deliver written notice of such determination to the Borrower, each Issuing Bank and each Lender and the Swingline Lender). “Default Right” has the meaning assigned to that term in, and shall be interpreted in accordance with, 12 C.F.R. §§ 252.81, 47.2 or 382.1, as applicable. “Designated Obligations” means all obligations of the Borrower with respect to (a) principal of and interest on the Loans and (b) accrued and unpaid fees under the Loan Documents. “Disposition” or “Dispose” means the sale, transfer, license, lease or other disposition (including any sale and leaseback transaction) of any property by any Person (or the granting of any option or other right to do any of the foregoing), including any sale, assignment, transfer or other disposal, with or without recourse, of any notes or accounts receivable or any rights and claims associated therewith; provided that the term “Disposition” or “Dispose” shall not include the disposition of Portfolio Investments originated by the Borrower and immediately transferred to a Financing Subsidiary pursuant to a transaction not prohibited hereunder. “Dollar Commitment” means, with respect to each Dollar Lender, the commitment of such Dollar Lender to make Syndicated Loans, and to acquire participations in Letters of Credit and Swingline Loans, denominated in Dollars hereunder, expressed as an amount representing the maximum aggregate amount of such Lender’s Revolving Dollar Credit Exposure hereunder, as such commitment may be (a) reduced from time to time pursuant to Section 2.08 and (b) reduced or increased from time to time pursuant to assignments by or to such Lender pursuant to Section 9.04. The initial amount of each Lender’s Dollar Commitment is set forth on Schedule 1.01(b), or in the Assignment and Assumption pursuant to which such Lender shall have assumed its Dollar Commitment, as applicable. The aggregate amount of the Lenders’ Dollar Commitments as of the Restatement Effective Date is $85,000,000. “Dollar Equivalent” means, on any date of determination, with respect to an amount denominated in any Foreign Currency, the amount of Dollars that would be required to purchase such amount of such Foreign Currency on the date two Business Days prior to such date, based upon the spot selling rate at which the Administrative Agent offers to sell such Foreign Currency for Dollars in the London foreign exchange market at approximately 11:00 a.m., London time, for delivery two Business Days later. “Dollar LC Exposure” means, at any time, the sum of (a) the aggregate undrawn amount of all outstanding Dollar Letters of Credit at such time plus (b) the aggregate amount of all LC Disbursements in respect of such Letters of Credit that have not yet been reimbursed by or on behalf of the Borrower at such time. The Dollar LC Exposure of any Lender at any time shall be its Applicable Dollar Percentage of the total Dollar LC Exposure at such time. “Dollar Lender” means the Persons listed on Schedule 1.01(b) as having Dollar Commitments and any other Person that shall have become a party hereto pursuant to an Assignment and Assumption that provides for it to assume a Dollar Commitment or to acquire 17 #4887-1928-1343v2 Revolving Dollar Credit Exposure, other than any such Person that ceases to be a party hereto pursuant to an Assignment and Assumption. “Dollar Letters of Credit” means Letters of Credit that utilize the Dollar Commitments. “Dollar Loan” means a Loan denominated in Dollars. “Dollars” or “$” refers to lawful money of the United States of America. “EEA Financial Institution” means (a) any credit institution or investment firm established in any EEA Member Country which is subject to the supervision of an EEA Resolution Authority, (b) any entity established in an EEA Member Country which is a parent of an institution described in clause (a) of this definition, or (c) any financial institution established in an EEA Member Country which is a subsidiary of an institution described in clauses (a) or (b) of this definition and is subject to consolidated supervision with its parent. “EEA Member Country” means any of the member states of the European Union, Iceland, Liechtenstein, and Norway. “EEA Resolution Authority” means any public administrative authority or any person entrusted with public administrative authority of any EEA Member Country (including any delegee) having responsibility for the resolution of any EEA Financial Institution. “Erroneous Payment” has the meaning assigned to it in Section 8.09(a). “Erroneous Payment Deficiency Assignment” has the meaning assigned to it in Section 8.09(d). “Erroneous Payment Impacted Class” has the meaning assigned to it in Section 8.09(d). “Erroneous Payment Return Deficiency” has the meaning assigned to it in Section 8.09(d). “Erroneous Payment Subrogation Rights” has the meaning assigned to it in Section 8.09(d). “ESTR” means, with respect to any Business Day, a rate per annum equal to the Euro Short Term Rate for such Business Day published by the ESTR Administrator on the ESTR Administrator’s Website. “ESTR Administrator” means the European Central Bank (or any successor administrator of the Euro Short Term Rate). “ESTR Administrator’s Website” means the European Central Bank’s website, currently at http://www.ecb.europa.eu, or any successor source for the Euro Short Term Rate identified as such by the ESTR Administrator from time to time. 18 #4887-1928-1343v2 “EU Bail-In Legislation Schedule” means the EU Bail-In Legislation Schedule published by the Loan Market Association (or any successor person), as in effect from time to time. “EURIBOR Interpolated Rate” means, at any time, with respect to any Term Benchmark Borrowing denominated in Euros and for any Interest Period, the rate per annum (rounded to the same number of decimal places as the EURIBOR Screen Rate) determined by the Administrative Agent (which determination shall be conclusive and binding absent manifest error) to be equal to the rate that results from interpolating on a linear basis between: (a) the EURIBOR Screen Rate for the longest period (for which the EURIBOR Screen Rate is available for Euros) that is shorter than the Impacted EURIBOR Rate Interest Period; and (b) the EURIBOR Screen Rate for the shortest period (for which the EURIBOR Screen Rate is available for Euros) that exceeds the Impacted EURIBOR Rate Interest Period, in each case, at such time; provided that, if any EURIBOR Interpolated Rate shall be less than 0%, such rate shall be deemed to be 0% for the purposes of this Agreement. “EURIBOR” means, with respect to any Term Benchmark Borrowing denominated in Euros and for any Interest Period, the EURIBOR Screen Rate at approximately 11:00 a.m., Brussels time, two Business Days prior to the commencement of such Interest Period; provided that, if the EURIBOR Screen Rate shall not be available at such time for such Interest Period (an “Impacted EURIBOR Rate Interest Period”) with respect to Euros then EURIBOR shall be the EURIBOR Interpolated Rate. “EURIBOR Screen Rate” means the euro interbank offered rate administered by the European Money Markets Institute (or any other person which takes over the administration of that rate) for the relevant period displayed or on the appropriate page of such other information service which publishes that rate from time to time in place of Thomson Reuters as of 11:00 a.m. Brussels time two Business Days prior to the commencement of such Interest Period. If such page or service ceases to be available, the Administrative Agent may specify another page or service displaying the relevant rate after consultation with the Company. If the EURIBOR Screen Rate shall be less than 0%, the EURIBOR Screen Rate shall be deemed to be 0% for purposes of this Agreement. “Equity Interests” means shares of capital stock, partnership interests, membership interests in a limited liability company, beneficial interests in a trust or other equity ownership interests or equivalents (however designated, including any instrument treated as equity for U.S. federal income tax purposes) in a Person, and any warrants, options or other rights entitling the holder thereof to purchase or acquire any such equity interest. “ERISA” means the Employee Retirement Income Security Act of 1974, as amended from time to time. “ERISA Affiliate” means any trade or business (whether or not incorporated) that, together with the Borrower, is treated as a single employer under Section 414(b) or (c) of the Code, or, solely for purposes of Section 302 of ERISA and Section 412 of the Code, is treated as a single employer under Section 414 of the Code. 19 #4887-1928-1343v2 “ERISA Event” means (a) any “reportable event”, as defined in Section 4043 of ERISA or the regulations issued thereunder with respect to a Plan (other than an event for which the 30-day notice period is waived); (b) any failure by any Plan to satisfy the minimum funding standard (within the meaning of Section 412 of the Code or Section 302 of ERISA) applicable to such Plan; (c) the filing pursuant to Section 412(c) of the Code or Section 302(c) of ERISA of an application for a waiver of the minimum funding standard with respect to any Plan; (d) the incurrence by the Borrower or any of its ERISA Affiliates of any liability under Title IV of ERISA with respect to the termination of any Plan; (e) the receipt by the Borrower or any ERISA Affiliate from the PBGC or a plan administrator of any notice relating to an intention to terminate any Plan or Plans or to appoint a trustee to administer any Plan; (f) the incurrence by the Borrower or any of its ERISA Affiliates of any liability with respect to the withdrawal or partial withdrawal from any Plan or Multiemployer Plan; or (g) the receipt by the Borrower or any ERISA Affiliate of any notice, or the receipt by any Multiemployer Plan from the Borrower or any ERISA Affiliate of any notice, concerning the imposition of Withdrawal Liability or a determination that a Multiemployer Plan is, or is expected to be, insolvent or in reorganization, within the meaning of Title IV of ERISA. “Euro” means a single currency of the Participating Member States. “Event of Default” has the meaning assigned to such term in Article VII. “Excluded Taxes” means, with respect to the Administrative Agent, any Lender, the Issuing Bank or any other recipient of any payment to be made by or on account of any obligation of the Borrower hereunder, (a) Taxes imposed on (or measured by) its net income (however denominated), net profits, franchise Taxes and branch profits or any similar Taxes, in each case, (i) imposed by the United States of America (or any state or political subdivision thereof), or by the jurisdiction (or any political subdivision thereof) under the laws of which such recipient is organized or in which its principal office is located or, in the case of any Lender, in which its applicable lending office is located or (ii) any Taxes imposed by any jurisdiction by reason of the recipient having any present or former connection with such jurisdiction (other than a connection arising solely from entering into, receiving any payment under or enforcing its rights under this Agreement or any other Loan Document or selling or assigning an interest in any Loan or Loan Document), (b) in the case of a Lender, any Taxes that are U.S. withholding taxes imposed on amounts payable to such Lender (i) at the time such Lender (other than an assignee pursuant to a request by the Borrower under Section 2.18(b)) becomes a party to this Agreement or designates a new lending office, except to the extent that such Lender’s assignor or such Lender was entitled to receive additional amounts from the Borrower with respect to such withholding tax pursuant to Section 2.16, at the time of such assignment or designation, or (ii) that is attributable to such Lender’s failure or inability (other than as a result of a Change in Law occurring after the date such Lender becomes a party to this Agreement) to comply with Section 2.16(f), (d) any U.S. federal, state or local backup withholding Taxes imposed on payments made under any Loan Document, and (e) any Taxes that are imposed under FATCA. “Existing Final Maturity Date” has the meaning assigned to such term in Section 2.20(a) of this Agreement.


 
20 #4887-1928-1343v2 “Extending Lender” has the meaning assigned to such term in Section 2.20(a) of this Agreement. “External Manager” means New Mountain Finance Advisers BDC, L.L.C. “Extraordinary Receipts” means any cash received by or paid to any Obligor on account of any foreign, United States, state or local tax refunds, pension plan reversions, judgments, proceeds of settlements or other consideration of any kind in connection with any cause of action, condemnation awards (and payments in lieu thereof), indemnity payments received not in the ordinary course of business and any purchase price adjustment received not in the ordinary course of business in connection with any purchase agreement and proceeds of insurance (excluding, however, for the avoidance of doubt, proceeds of any issuance of Equity Interests and issuances of Indebtedness by any Obligor); provided that Extraordinary Receipts shall not include any (x) amounts that the Borrower receives from the Administrative Agent or any Lender pursuant to Section 2.16(f), or (y) cash receipts to the extent received from proceeds of insurance, condemnation awards (or payments in lieu thereof), indemnity payments or payments in respect of judgments or settlements of claims, litigation or proceedings to the extent that such proceeds, awards or payments are received by any Person in respect of any unaffiliated third party claim against or loss by such Person and promptly applied to pay (or to reimburse such Person for its prior payment of) such claim or loss and the costs and expenses of such Person with respect thereto. “Family Member” means, with respect to any individual, any other individual having a relationship by blood (to the second degree of consanguinity), marriage, or adoption to such individual. “Family Trusts” means, with respect to any individual, trusts or other estate planning vehicles established for the primary benefit of such individual or Family Members of such individual and in respect of which such individual or a bona fide third party trustee serves as trustee or in a similar capacity. “FATCA” means Section 1471 through 1474 of the Code, as of the date of this Agreement (or any amended or successor version that is substantively comparable and not materially more onerous to comply with) and any regulations promulgated thereunder and official interpretations thereof and any foreign legislation implemented to give effect to any intergovernmental agreements entered into thereunder and any agreements entered into pursuant to Section 1471(b)(1) of the Code. “Federal Funds Effective Rate” means, for any day, the weighted average (rounded upwards, if necessary, to the next 1/100 of 1%) of the rates on overnight Federal funds transactions with members of the Federal Reserve System arranged by Federal funds brokers, as published on the next succeeding Business Day by the Federal Reserve Bank of New York, or, if such rate is not so published for any day that is a Business Day, the average (rounded upwards, if necessary, to the next 1/100 of 1%) of the quotations for such day for such transactions received by the Administrative Agent from three Federal funds brokers of recognized standing selected by it. “Federal Reserve Bank of New York’s Website” means the website of the Federal Reserve Bank of New York at http://www.newyorkfed.org, or any successor source. 21 #4887-1928-1343v2 “Final Maturity Date” means June 4, 2026, as such date may be extended in accordance with Section 2.20. “Financial Officer” means the chief financial officer, principal accounting officer, treasurer or controller of the Borrower. “Financing Subsidiary” means an SPE Subsidiary or an SBIC Subsidiary. “Floor” means zero percent (0%). “Foreign Currency” means at any time any Currency other than Dollars. “Foreign Currency Equivalent” means, with respect to any amount in Dollars, the amount of any Foreign Currency that could be purchased with such amount of Dollars using the reciprocal of the foreign exchange rate(s) specified in the definition of the term “Dollar Equivalent”, as determined by the Administrative Agent. “Foreign Lender” means any Lender that is not a “United States person” as defined under Section 7701(a)(30) of the Code. “Foreign Subsidiary” means any (a) direct or indirect Subsidiary of the Borrower that is organized under the laws of any jurisdiction other than the United States or its territories or possessions and that is treated as a corporation for United States federal income tax purposes, (b) direct or indirect Subsidiary of the Borrower which is a “controlled foreign corporation” within the meaning of the Code or (c) direct or indirect Subsidiary that is disregarded as an entity that is separate from its owner for United States federal income tax purposes and substantially all of its assets consist of the Capital Stock of one or more direct or indirect Foreign Subsidiaries. “Fronting Exposure” means, at any time there is a Defaulting Lender, with respect to any Issuing Bank, such Defaulting Lender’s (a) Applicable Dollar Percentage of the outstanding Dollar LC Exposure and (b) Applicable Multicurrency Percentage of the outstanding Multicurrency LC Exposure, in each case with respect to Letters of Credit issued by such Issuing Bank other than Dollar LC Exposure or Multicurrency LC Exposure, as the case may be, as to which such Defaulting Lender’s participation obligation has been reallocated to other Lenders or Cash Collateralized in accordance with the terms hereof. “GAAP” means generally accepted accounting principles in the United States of America. “GBP”, “£” and “English Pounds Sterling” denote the lawful currency of the United Kingdom. “Governmental Authority” means the government of the United States of America, or of any other nation, or any political subdivision thereof, whether state or local, and any agency, authority, instrumentality, regulatory body, court, central bank or other entity exercising executive, legislative, judicial, taxing, regulatory or administrative powers or functions of or pertaining to government. 22 #4887-1928-1343v2 “Guarantee” of or by any Person (the “guarantor”) means any obligation, contingent or otherwise, of the guarantor guaranteeing or having the economic effect of guaranteeing any Indebtedness or other obligation of any other Person (the “primary obligor”) in any manner, whether directly or indirectly, and including any obligation of the guarantor, direct or indirect, (a) to purchase or pay (or advance or supply funds for the purchase or payment of) such Indebtedness or other obligation or to purchase (or to advance or supply funds for the purchase of) any security for the payment thereof, (b) to purchase or lease property securities or services for the purpose of assuring the owner of such Indebtedness or other obligation of the payment thereof, (c) to maintain working capital, equity capital or any other financial statement condition or liquidity of the primary obligor so as to enable the primary obligor to pay such Indebtedness or other obligation or (d) as an account party in respect of any letter of credit or letter of guaranty issued to support such Indebtedness or obligation; provided that the term Guarantee shall not include (i) endorsements for collection or deposit in the ordinary course of business or (ii) customary indemnification agreements entered into in the ordinary course of business, provided that such indemnification obligations are unsecured, such Person has determined that any liability thereunder is remote and such indemnification obligations are not the functional equivalent of the guaranty of a payment obligation of the primary obligor. “Guarantee and Security Agreement” means that certain Guarantee and Security Agreement dated as of June 4, 2014 among the Borrower, the Administrative Agent, each Subsidiary of the Borrower from time to time party thereto, each holder (or a representative or trustee therefor) from time to time of any Secured Longer-Term Indebtedness or Secured Shorter- Term Indebtedness, and the Collateral Agent, as the same shall be modified and supplemented and in effect from time to time. “Guarantee and Security Agreement Confirmation” means that certain Guarantee and Security Agreement Confirmation dated as of June 4, 2021, between the Borrower and the Administrative Agent. “Guarantee Assumption Agreement” means a Guarantee Assumption Agreement substantially in the form of Exhibit B to the Guarantee and Security Agreement between the Collateral Agent and an entity that pursuant to Section 5.08 is required to become a “Subsidiary Guarantor” under the Guarantee and Security Agreement (with such changes as the Administrative Agent shall request consistent with the requirements of Section 5.08). “Hedging Agreement” means any interest rate protection agreement, foreign currency exchange protection agreement, commodity price protection agreement or other interest or currency exchange rate or commodity price hedging arrangement. “Immaterial Subsidiaries” means those Subsidiaries of the Borrower that are “designated” as Immaterial Subsidiaries by the Borrower from time to time (it being understood that the Borrower may at any time change any such designation); provided that such designated Immaterial Subsidiaries shall collectively meet all of the following criteria as of the date of the most recent balance sheet required to be delivered pursuant to Section 5.01: (a) the aggregate assets of such Subsidiaries and their Subsidiaries (on a consolidated basis) as of such date do not exceed an amount equal to 3% of the consolidated assets of the Borrower and its Subsidiaries as of such date; and (b) the aggregate revenues of such Subsidiaries and their Subsidiaries (on a consolidated 23 #4887-1928-1343v2 basis) for the fiscal quarter ending on such date do not exceed an amount equal to 3% of the consolidated revenues of the Borrower and its Subsidiaries for such period. “Increasing Lender” has the meaning assigned to such term in Section 2.08(e). “Indebtedness” of any Person means, without duplication, (a) all obligations of such Person for borrowed money or with respect to deposits or advances of any kind, (b) all obligations of such Person evidenced by bonds, debentures, notes or similar instruments, (c) all obligations of such Person under conditional sale or other title retention agreements relating to property acquired by such Person, (d) all obligations of such Person in respect of the deferred purchase price of property or services (excluding accounts payable and accrued expenses incurred in the ordinary course of business), (e) all Indebtedness of others secured by any Lien on property owned or acquired by such Person, whether or not the Indebtedness secured thereby has been assumed (with the value of such debt being the lower of the outstanding amount of such debt and the fair market value of the property subject to such Lien), (f) all Guarantees by such Person of Indebtedness of others, (g) all Capital Lease Obligations of such Person, (h) all obligations, contingent or otherwise, of such Person as an account party in respect of letters of credit and letters of guaranty and (i) all obligations, contingent or otherwise, of such Person in respect of bankers’ acceptances. The Indebtedness of any Person shall include the Indebtedness of any other entity (including any partnership in which such Person is a general partner) to the extent such Person is liable therefor as a result of such Person’s ownership interest in or other relationship with such entity, except to the extent the terms of such Indebtedness provide that such Person is not liable therefor. Notwithstanding the foregoing, “Indebtedness” shall not include (x) purchase price holdbacks arising in the ordinary course of business in respect of a portion of the purchase price of an asset or Investment to satisfy unperformed obligations of the seller of such asset or Investment or (y) a commitment arising in the ordinary course of business to make a future Portfolio Investment. “Indemnified Taxes” means Taxes, other than Excluded Taxes, imposed on or with respect to any payment made by or on account of any obligation of the Borrower under this Agreement. “Independent” when used with respect to any specified Person means that such Person (a) does not have any direct financial interest or any material indirect financial interest in the Borrower or any of its Subsidiaries or Affiliates (including its investment advisor or any Affiliate thereof) and (b) is not connected with the Borrower or of its Subsidiaries or Affiliates (including its investment advisor or any Affiliate thereof) as an officer, employee, promoter, underwriter, trustee, partner, director or Person performing similar functions. “Industry Classification Group” means (a) any of the classification groups set forth in Schedule 1.01(c) hereto, together with any such classification groups that may be subsequently established by Moody’s and provided by the Borrower to the Lenders, and (b) up to three additional industry group classifications established by the Borrower pursuant to Section 5.12. “Interest Election Request” means a request by the Borrower to convert or continue a Syndicated Borrowing in accordance with Section 2.07.


 
24 #4887-1928-1343v2 “Interest Payment Date” means, with respect to any Class of Loan, each Quarterly Date. “Interest Period” means, for any Term Benchmark Loan or Borrowing, the period commencing on the date of such Loan or Borrowing and ending on the numerically corresponding day in the calendar month that is one, three or six months (in each case subject to availability) thereafter or, if agreed by all relevant Lenders, (a) a shorter period or twelve months or (b) with respect to such portion of any Term Benchmark Loan or Borrowing denominated in a Foreign Currency that is scheduled to be repaid on the applicable Final Maturity Date, a period of less than one month’s duration commencing on the date of such Loan or Borrowing and ending on the applicable Final Maturity Date, as specified in the applicable Borrowing Request or Interest Election Request (provided that, the six-month Interest Period will not be available for Term Benchmark Loans or Borrowings denominated in Canadian Dollars); (i) if any Interest Period would end on a day other than a Business Day, such Interest Period shall be extended to the next succeeding Business Day unless such next succeeding Business Day would fall in the next calendar month, in which case such Interest Period shall end on the next preceding Business Day, and (ii) any Interest Period (other than an Interest Period pertaining to a Term Benchmark Borrowing denominated in a Foreign Currency that ends on the applicable Final Maturity Date that is permitted to be of less than one month’s duration as provided in this definition) that commences on the last Business Day of a calendar month (or on a day for which there is no numerically corresponding day in the last calendar month of such Interest Period) shall end on the last Business Day of the last calendar month of such Interest Period. For purposes hereof, the date of a Loan initially shall be the date on which such Loan is made and thereafter shall be the effective date of the most recent conversion or continuation of such Loan, and the date of a Syndicated Borrowing comprising Loans that have been converted or continued shall be the effective date of the most recent conversion or continuation of such Loans. “Investment” means, for any Person: (a) Equity Interests, bonds, notes, debentures or other securities of any other Person or any agreement to acquire any Equity Interests, bonds, notes, debentures or other securities of any other Person (and any rights or proceeds in respect of (x) any “short sale” of securities or (y) any sale of any securities at a time when such securities are not owned by such Person); (b) deposits, advances, loans or other extensions of credit made to any other Person (including purchases of property from another Person subject to an understanding or agreement, contingent or otherwise, to resell such property to such Person); or (c) Hedging Agreements. “Investment Company Act” means the Investment Company Act of 1940, as amended from time to time. “Investment Policies” means, with respect to the Borrower, the investment objectives, policies, restrictions and limitations supplied to the Administrative Agent pursuant to Section 4.01, and as the same may be changed, altered, expanded, amended, modified, terminated or restated from time to time in accordance with this Agreement. “IRS” means the United States Internal Revenue Service. 25 #4887-1928-1343v2 “Issuing Bank” means Goldman Sachs Bank USA, in its capacity as the issuer of Letters of Credit hereunder, and its successors in such capacity as provided in Section 2.05(j). In the case of any Letter of Credit to be issued in an Agreed Foreign Currency, Goldman Sachs Bank USA may designate any of its affiliates as the “Issuing Bank” for purposes of such Letter of Credit. “LC Disbursement” means a payment made by the Issuing Bank pursuant to a Letter of Credit. “LC Exposure” means, at any time, the sum of the Dollar LC Exposure and the Multicurrency LC Exposure. “Lenders” means, collectively, the Dollar Lenders and the Multicurrency Lenders. Unless the context otherwise requires, the term “Lenders” includes the Swingline Lender. “Letter of Credit” means any letter of credit issued pursuant to this Agreement. “Letter of Credit Collateral Account” has the meaning assigned to such term in Section 2.05(k). “Letter of Credit Documents” means, with respect to any Letter of Credit, collectively, any application therefor and any other agreements, instruments, guarantees or other documents (whether general in application or applicable only to such Letter of Credit) governing or providing for (a) the rights and obligations of the parties concerned or at risk with respect to such Letter of Credit or (b) any collateral security for any of such obligations, each as the same may be modified and supplemented and in effect from time to time. “Lien” means, with respect to any asset, (a) any mortgage, deed of trust, lien, pledge, hypothecation, encumbrance, charge or security interest in, on or of such asset, (b) the interest of a vendor or a lessor under any conditional sale agreement, capital lease or title retention agreement (or any financing lease having substantially the same economic effect as any of the foregoing) relating to such asset and (c) in the case of securities, any purchase option, call or similar right of a third party with respect to such securities, except in favor of the issuer thereof (and in the case of Investments that are securities, excluding customary drag-along, tag-along, right of first refusal and other similar rights in favor of the equity holders of the same issuer). “Loan Documents” means, collectively, this Agreement, the Letter of Credit Documents and the Security Documents. “Loans” means the loans made by the Lenders to the Borrower pursuant to this Agreement. “Local Rate” means (i) for Loans or Letters of Credit in AUD, the AUD Rate and (ii) for Loans or Letters of Credit in Canadian Dollars, Adjusted Term CORRA. “Local Rate Currency” means each of AUD and CAD. “Local Screen Rates” mean the AUD Screen Rate and Term CORRA. 26 #4887-1928-1343v2 “Margin Stock” means “margin stock” within the meaning of Regulations T, U and X. “Material Adverse Change” has the meaning assigned to such term in Section 3.04(b). “Material Adverse Effect” means a material adverse effect on (a) the business, Portfolio Investments and other assets, liabilities and financial condition of the Borrower or the Borrower and its Subsidiaries (other than Financing Subsidiaries) taken as a whole (excluding in any case a decline in the net asset value of the Borrower or a change in general market conditions or values of the Portfolio Investments), or (b) the validity or enforceability of any of the Loan Documents or the rights or remedies of the Administrative Agent and the Lenders thereunder. “Material Indebtedness” means (a) Indebtedness (other than the Loans, Letters of Credit and Hedging Agreements), of any one or more of the Borrower and its Subsidiaries in an aggregate principal amount exceeding $10,000,000 and (b) obligations in respect of one or more Hedging Agreements under which the maximum aggregate amount (giving effect to any netting agreements) that the Borrower and its Subsidiaries would be required to pay if such Hedging Agreement(s) were terminated at such time would exceed $10,000,000. “Minimum Collateral Amount” means, at any time, with respect to Cash Collateral consisting of Cash or deposit account balances, an amount equal to 102% of the Fronting Exposure of Issuing Bank with respect to Letters of Credit issued and outstanding at such time. “Moody’s” means Moody’s Investors Service, Inc. or any successor thereto. “Multicurrency Commitment” means, with respect to each Multicurrency Lender, the commitment of such Multicurrency Lender to make Syndicated Loans, and to acquire participations in Letters of Credit and Swingline Loans, denominated in Dollars and in Agreed Foreign Currencies hereunder, expressed as an amount representing the maximum aggregate amount of such Lender’s Revolving Multicurrency Credit Exposure hereunder, as such commitment may be (a) reduced from time to time pursuant to Section 2.08 and (b) reduced or increased from time to time pursuant to assignments by or to such Lender pursuant to Section 9.04. The amount of each Lender’s Multicurrency Commitment is set forth on Schedule 1.01(b), or in the Assignment and Assumption pursuant to which such Lender shall have assumed its Multicurrency Commitment, as applicable. The aggregate amount of the Lenders’ Multicurrency Commitments as of the Restatement Effective Date is $113,500,000. “Multicurrency LC Exposure” means, at any time, the sum of (a) the aggregate undrawn amount of all outstanding Multicurrency Letters of Credit at such time plus (b) the aggregate amount of all LC Disbursements in respect of such Letters of Credit that have not yet been reimbursed by or on behalf of the Borrower at such time. The Multicurrency LC Exposure of any Lender at any time shall be its Applicable Multicurrency Percentage of the total Multicurrency LC Exposure at such time. “Multicurrency Lender” means the Persons listed on Schedule 1.01(b) as having Multicurrency Commitments and any other Person that shall have become a party hereto pursuant to an Assignment and Assumption that provides for it to assume a Multicurrency Commitment or 27 #4887-1928-1343v2 to acquire Revolving Multicurrency Credit Exposure, other than any such Person that ceases to be a party hereto pursuant to an Assignment and Assumption. “Multicurrency Letters of Credit” means Letters of Credit that utilize the Multicurrency Commitments. “Multicurrency Loan” means a Loan denominated in Dollars or an Agreed Foreign Currency. “Multiemployer Plan” means a multiemployer plan as defined in Section 4001(a)(3) of ERISA. “National Currency” means the currency, other than the Euro, of a Participating Member State. “Net Cash Proceeds” means: (a) with respect to any Disposition by the Borrower or any of its Subsidiaries (other than Financing Subsidiaries), or any Extraordinary Receipt received or paid to the account of the Borrower or any of its Subsidiaries (other than Financing Subsidiaries) (in each case, which requires a payment of the Loans under Section 2.10(d)), an amount equal to (a) the sum of cash and Cash Equivalents received in connection with such transaction (including any cash or Cash Equivalents received by way of deferred payment pursuant to, or by monetization of, a note receivable or otherwise, but only as and when so received) minus (b) the sum of (i) the principal amount of any Indebtedness that is secured by the applicable asset and that is required to be repaid in connection with such transaction (other than Indebtedness under the Loan Documents), (ii) the reasonable out-of-pocket fees, costs and expenses incurred by the Borrower or such Subsidiary in connection with such transaction, (iii) the taxes paid or reasonably estimated to be actually payable within two years of the date of the relevant transaction in connection with such transaction; provided that, if the amount of any estimated taxes pursuant to clause (iii) exceeds the amount of taxes actually required to be paid in cash in respect of such Disposition, the aggregate amount of such excess shall constitute Net Cash Proceeds (as of the date the Borrower determines such excess exists) and (iv) any reasonable costs, fees, commissions, premiums and expenses incurred by the Borrower or any of its Subsidiaries in connection with such Disposition; and (b) with respect to the sale or issuance of any Equity Interest by the Borrower or any of its Subsidiaries (other than any Financing Subsidiary) (including, for the avoidance of doubt, cash received by the Borrower or any of its Subsidiaries (other than any Financing Subsidiaries) for the sale by the Borrower or such Subsidiary of any Equity Interest of a Financing Subsidiary but specifically excluding any sale of any Equity Interest by a Financing Subsidiary or cash received by a Financing Subsidiary in connection with the sale of any Equity Interest), or the incurrence or issuance of any Indebtedness by the Borrower or any of its Subsidiaries (other than Financing Subsidiaries) (in each case, which requires a payment of the Loans under Section 2.10(d)), an amount equal to (i) the sum of the cash and Cash Equivalents received in connection with such transaction minus (ii) the sum of (1) reasonable out-of-pocket fees, costs and expenses, incurred by the Borrower or such Subsidiary in connection therewith plus (2) any reasonable costs,


 
28 #4887-1928-1343v2 fees, commissions, premiums, expenses, or underwriting discounts or commissions incurred by the Borrower or any of its Subsidiaries in connection with such sale or issuance. “Non-Defaulting Lender” means, at any time, a Lender that is not a Defaulting Lender at such time. “Non-Extending Lender” has the meaning assigned to such term in Section 2.20(a) of this Agreement. “Non-Pledged Financing Subsidiary” means, at any time, any Financing Subsidiary all of the Equity Interests of which are not Collateral. “Non-Public Information” means material non-public information (within the meaning of United States federal, state or other applicable securities laws) with respect to Borrower or its Affiliates or their Securities. “Notice Date” has the meaning assigned to such term in Section 2.20(a) of this Agreement. “Obligor” means, collectively, the Borrower and the Subsidiary Guarantors. “Original Currency” has the meaning assigned to such term in Section 2.17. “Other Covered Indebtedness” means, collectively, Secured Longer-Term Indebtedness and Secured Shorter-Term Indebtedness; provided that “Other Covered Indebtedness” shall not include any Indebtedness secured by a Lien on Portfolio Investments permitted under Section 6.02(e). “Other Permitted Indebtedness” means (a) accrued expenses and current trade accounts payable incurred in the ordinary course of the Borrower’s business which are not overdue for a period of more than 90 days or which are being contested in good faith by appropriate proceedings, (b) Indebtedness (other than Indebtedness for borrowed money) arising in connection with transactions in the ordinary course of the Borrower’s business in connection with its purchasing of securities, derivatives transactions, reverse repurchase agreements or dollar rolls to the extent such transactions are permitted under the Investment Company Act and the Investment Policies (after giving effect to any Permitted Policy Amendments), provided that such Indebtedness does not arise in connection with the purchase of Portfolio Investments other than Cash Equivalents and U.S. Government Securities and (c) Indebtedness in respect of judgments or awards that have been in force for less than the applicable period for taking an appeal so long as such judgments or awards do not constitute an Event of Default under clause (l) of Article VII. “Other Taxes” means any and all present or future stamp or documentary taxes or any other excise or property taxes, charges or similar levies arising from any payment made under any Loan Document or from the execution, delivery or enforcement of, or otherwise with respect to, any Loan Document, excluding (i) any such taxes, charges or similar levies resulting from an assignment by any Lender in accordance with Section 9.04 hereof (unless such assignment is made pursuant to Section 2.18(b)) or (ii) any Taxes imposed by any jurisdiction by reason of the recipient of any payment on or account of this Agreement having any present or former connection with 29 #4887-1928-1343v2 such jurisdiction (other than a connection arising solely from entering into, receiving any payment under or enforcing its rights under this Agreement or any other Loan Document). “Overnight Rate” means, for any day, (a) with respect to any amount denominated in Dollars, the Federal Funds Effective Rate and (b) with respect to any amount denominated in an Agreed Foreign Currency, an overnight rate determined by the Administrative Agent or the Issuing Banks, as the case may be, in accordance with banking industry rules on interbank compensation. “Participant” has the meaning assigned to such term in Section 9.04. “Participant Register” has the meaning assigned to such term in Section 9.04. “Participating Member State” means any member state of the European Community that adopts or has adopted the Euro as its lawful currency in accordance with the legislation of the European Union relating to the European Monetary Union. “Payment Recipient” has the meaning assigned to it in Section 8.09(a). “PBGC” means the Pension Benefit Guaranty Corporation referred to and defined in ERISA and any successor entity performing similar functions. “Periodic Term CORRA Determination Day” has the meaning specified in the definition of “Term CORRA”. “Permitted Holders” means New Mountain Capital, LLC (or any Affiliate thereof), senior management and employees of New Mountain Capital, LLC and its Subsidiaries (in each case, as of the Restatement Effective Date) and their Family Members and their Family Trusts. “Permitted Liens” means (a) Liens imposed by any Governmental Authority for taxes, assessments or charges not yet due or that are being contested in good faith and by appropriate proceedings if adequate reserves with respect thereto are maintained on the books of the Borrower in accordance with GAAP; (b) Liens of clearing agencies, broker-dealers and similar Liens incurred in the ordinary course of business, provided that such Liens (i) attach only to the securities (or proceeds) being purchased or sold and (ii) secure only obligations incurred in connection with such purchase or sale, and not any obligation in connection with margin financing; (c) Liens imposed by law, such as materialmen’s, mechanics’, carriers’, workmens’, storage and repairmen’s Liens and other similar Liens arising in the ordinary course of business and securing obligations (other than Indebtedness for borrowed money) not yet due or that are being contested in good faith and by appropriate proceedings if adequate reserves with respect thereto are maintained on the books of the Borrower in accordance with GAAP; (d) Liens incurred or pledges or deposits made to secure obligations incurred in the ordinary course of business under workers’ compensation laws, unemployment insurance or other similar social security legislation (other than in respect of employee benefit plans subject to ERISA) or to secure public or statutory obligations; (e) Liens securing the performance of, or payment in respect of, bids, insurance premiums, deductibles or co-insured amounts, tenders, government or utility contracts (other than for the repayment of borrowed money), surety, stay, customs and appeal bonds and other obligations of a 30 #4887-1928-1343v2 similar nature incurred in the ordinary course of business; (f) Liens arising out of judgments or awards that have been in force for less than the applicable period for taking an appeal so long as such judgments or awards do not constitute an Event of Default under clause (l) of Article VII; (g) customary rights of setoff and liens upon (i) deposits of cash in favor of banks or other depository institutions in which such cash is maintained in the ordinary course of business, (ii) cash and financial assets held in securities accounts in favor of banks and other financial institutions with which such accounts are maintained in the ordinary course of business and (iii) assets held by a custodian in favor of such custodian in the ordinary course of business securing payment of fees, indemnities and other similar obligations; (h) Liens arising solely from precautionary filings of financing statements under the Uniform Commercial Code of the applicable jurisdictions in respect of operating leases entered into by the Borrower or any of its Subsidiaries in the ordinary course of business; and (i) deposits of money securing leases to which Borrower is a party as lessee made in the ordinary course of business. For the avoidance of doubt, no Liens securing the facility of any Financing Subsidiary (other than Liens on the assets or Equity Interests of such Financing Subsidiary in favor of any creditor providing such facility) shall be a Permitted Lien hereunder. “Permitted Policy Amendment” means any change, alteration, expansion, amendment, modification, termination or restatement of the Investment Policies that is either (a) approved in writing by the Administrative Agent (with the consent of the Required Lenders), (b) required by applicable law, rule, regulation or Governmental Authority, or (c) not material in the reasonable discretion of the Administrative Agent (for the avoidance of doubt, no change, alteration, expansion, amendment, modification, termination or restatement of the Investment Policies shall be deemed “material” if investment size proportionately increases as the size of the Borrower’s capital base changes). “Permitted SBIC Guarantee” means a guarantee by the Borrower of Indebtedness of an SBIC Subsidiary on the SBA’s then applicable form, provided that the recourse to the Borrower thereunder is expressly limited only to periods after the occurrence of an event or condition that is an impermissible change in the control of such SBIC Subsidiary (it being understood that, as provided in clause (s) of Article VII, it shall be an Event of Default hereunder if any such event or condition giving rise to such recourse occurs). “Person” means any natural person, corporation, limited liability company, trust, joint venture, association, company, partnership, Governmental Authority or other entity. “Plan” means any employee pension benefit plan (other than a Multiemployer Plan) subject to the provisions of Title IV of ERISA or Section 412 of the Code or Section 302 of ERISA, and in respect of which the Borrower or any ERISA Affiliate is (or, if such plan were terminated, would under Section 4069 of ERISA be deemed to be) an “employer” as defined in Section 3(5) of ERISA. “Platform” means has the meaning set forth in Section 5.01(i). “Portfolio Investment” means any Investment held by the Obligors in their asset portfolio (and solely for purposes of determining the Borrowing Base, Cash). Without limiting the generality of the foregoing, the following Investments shall not be considered Portfolio Investments under this Agreement or any other Loan Document: (a) any Investment by an Obligor 31 #4887-1928-1343v2 in any Subsidiary or Affiliate of such Obligor or any Financing Subsidiary (including, for the avoidance of doubt, any Investment by an Obligor in an entity constituting a portfolio investment of such Obligor or an Affiliate of such Obligor); (b) any Investment that provides in favor of the obligor in respect of such Portfolio Investment an express right of rescission, set-off, counterclaim or any other defenses; (d) any Investment, which if debt, is an obligation (other than a revolving loan or delayed draw term loan) pursuant to which any future advances or payments to the Obligor may be required to be made by the Borrower; (e) any Investment which is made to a bankrupt entity (other than a debtor-in-possession financing and current pay obligations); and (f) any Investment, Cash or account in which a Financing Subsidiary has an interest. “Prime Rate” means the rate of interest per annum last quoted by The Wall Street Journal as the “Prime Rate” in the U.S. or, if The Wall Street Journal ceases to quote such rate, the highest per annum interest rate published by the Federal Reserve Board in Federal Reserve Statistical Release H.15 (519) (Selected Interest Rates) as the “bank prime loan” rate or, if such rate is no longer quoted therein, any similar rate quoted therein (as determined by the Administrative Agent) or any similar release by the Federal Reserve Board (as determined by the Administrative Agent). Any change in the Prime Rate shall take effect at the opening of business on the day such change is publicly announced or quoted as being effective. “Principal Financial Center” means, in the case of any Currency, the principal financial center where such Currency is cleared and settled, as determined by the Administrative Agent. “Public Lender” means Lenders that do not wish to receive Non-Public Information with respect to the Borrower or any of its Subsidiaries or their Securities. “QFC” has the meaning assigned to the term “qualified financial contract” in, and shall be interpreted in accordance with, 12 U.S.C. 5390(c)(8)(D). “QFC Credit Support” has the meaning assigned to it in Section 9.15. “Quarterly Dates” means the last Business Day of March, June, September and December in each year, commencing on June 30, 2014. “Quoted Investments” means a Portfolio Investment with a value assigned by the Borrower pursuant to Section 5.12(b)(ii)(A). “Reference Time” with respect to any setting of the then-current Benchmark means (a) if such Benchmark is Adjusted Term SOFR, 5:00 p.m. (New York City time) on the day that is two U.S. Government Securities Business days preceding the date of such setting, and (b) if such Benchmark is not Adjusted Term SOFR, the time determined by the Administrative Agent in its reasonable discretion. “Refunded Swingline Loans” has the meaning set forth in Section 2.04(c). “Refunding Loan” has the meaning set forth in Section 2.04(c). “Register” has the meaning set forth in Section 9.04.


 
32 #4887-1928-1343v2 “Regulations D, T, U and X” means, respectively, Regulations D, T, U and X of the Board of Governors of the Federal Reserve System (or any successor), as the same may be modified and supplemented and in effect from time to time. “Related Parties” means, with respect to any specified Person, such Person’s Affiliates and the respective partners, directors, officers, employees, agents and advisors of such Person and such Person’s Affiliates. “Relevant Available Funds” means the aggregate amount available to be drawn under any committed facilities, including, for the avoidance of doubt, this Agreement, for which all applicable conditions to availability could be satisfied at such time. “Relevant Governmental Body” means (i) with respect to a Benchmark Replacement in respect of Loans denominated in Dollars, the Federal Reserve Board and/or the New York Federal Reserve Bank, or a committee officially endorsed or convened by the Federal Reserve Board and/or the New York Federal Reserve Bank or, in each case, any successor thereto, (ii) with respect to a Benchmark Replacement in respect of Loans denominated in English Pounds Sterling, the Bank of England, or a committee officially endorsed or convened by the Bank of England or, in each case, any successor thereto, (iii) with respect to a Benchmark Replacement in respect of Loans denominated in Euros, the European Central Bank, or a committee officially endorsed or convened by the European Central Bank or, in each case, any successor thereto, (iv) with respect to a Benchmark Replacement in respect of Loans denominated in Canadian Dollars, the Bank of Canada, or a committee officially endorsed or convened by the Bank of Canada, or in each case, any successor thereto and (v) with respect to a Benchmark Replacement in respect of Loans denominated in any Foreign Currency (other than English Pounds Sterling, Euros, or Canadian Dollars), (a) the central bank for the currency in which such Benchmark Replacement is denominated or any central bank or other supervisor which is responsible for supervising either (1) such Benchmark Replacement or (2) the administrator of such Benchmark Replacement or (b) any working group or committee officially endorsed or convened by (1) the central bank for the currency in which such Benchmark Replacement is denominated, (2) any central bank or other supervisor that is responsible for supervising either (A) such Benchmark Replacement or (B) the administrator of such Benchmark Replacement, (3) a group of those central banks or other supervisors or (4) the Financial Stability Board or any part thereof. “Relevant Rate” means (i) with respect to any Term Benchmark Borrowing denominated in Dollars, Adjusted Term SOFR, (ii) with respect to any Term Benchmark Borrowing denominated in Euros, EURIBOR, (ii) with respect to any RFR Borrowing denominated in English Pounds Sterling, Daily Simple RFR and (iv) with respect to any Local Rate Currency, the Local Rate. “Relevant Screen Rate” means (i) with respect to any Term Benchmark Borrowing denominated in Euros, the EURIBOR Screen Rate, (ii) with respect to any RFR Borrowing denominated in English Pounds Sterling, SONIA and (iii) with respect to any Local Rate Currency, the Local Screen Rate. “Required Lenders” means, at any time, Lenders having Revolving Credit Exposures and unused Commitments representing more than 50% of the sum of the total 33 #4887-1928-1343v2 Revolving Credit Exposures and unused Commitments at such time; provided that the Revolving Credit Exposures and unused Commitments of any Defaulting Lender shall be disregarded in the determination of Required Lenders. The Required Lenders of a Class (which shall include the terms “Required Dollar Lenders” and “Required Multicurrency Lenders”) means Lenders having Revolving Credit Exposures and unused Commitments of such Class representing more than 50% of the sum of the total Revolving Credit Exposures and unused Commitments of such Class at such time. “Resolution Authority” means an EEA Resolution Authority or, with respect to any UK Financial Institution, a UK Resolution Authority. “Restatement Effective Date” means the date on which the conditions specified in Section 4.01 are satisfied (or waived in accordance with Section 9.02). “Restricted Payment” means any dividend or other distribution (whether in cash, securities or other property) with respect to any shares of any class of capital stock of the Borrower or any of its Subsidiaries, or any payment (whether in cash, securities or other property), including any sinking fund or similar deposit, on account of the purchase, redemption, retirement, acquisition, cancellation or termination of any such shares of capital stock of the Borrower or any option, warrant or other right to acquire any such shares of capital stock of the Borrower (it being understood that none of: (w) the conversion features under convertible notes; (x) the triggering and/or settlement thereof; or (y) any cash payment made by the Borrower in respect thereof , shall constitute a Restricted Payment hereunder). “Return of Capital” means (a) any net cash amount received by any Obligor in respect of the outstanding principal of any Portfolio Investment (whether at stated maturity, by acceleration or otherwise), (b) without duplication of amounts received under clause (a), any net cash proceeds received by any Obligor from the sale of any property or assets pledged as collateral in respect of any Portfolio Investment to the extent such net cash proceeds are less than or equal to the outstanding principal balance of such Portfolio Investment, (c) any net cash amount received by any Obligor in respect of any Portfolio Investment that is an Equity Interest (x) upon the liquidation or dissolution of the issuer of such Portfolio Investment, (y) as a distribution of capital made on or in respect of such Portfolio Investment, or (z) pursuant to the recapitalization or reclassification of the capital of the issuer of such Portfolio Investment or pursuant to the reorganization of such issuer or (d) any similar return of capital received by any Obligor in cash in respect of any Portfolio Investment (in the case of clauses (a), (b), (c) and (d), net of any fees, costs, expenses and taxes payable with respect thereto). “Revolving Credit Exposure” means, with respect to any Lender at any time, the sum of the outstanding principal amount of such Lender’s Revolving Dollar Credit Exposure and Revolving Multicurrency Credit Exposure at such time. “Revolving Dollar Credit Exposure” means, with respect to any Lender at any time, the sum of the outstanding principal amount of such Lender’s Syndicated Loans, and its LC Exposure and Swingline Exposure, at such time made or incurred under the Dollar Commitments. 34 #4887-1928-1343v2 “Revolving Multicurrency Credit Exposure” means, with respect to any Lender at any time, the sum of the outstanding principal amount of such Lender’s Syndicated Loans, and its LC Exposure and Swingline Exposure, at such time made or incurred under the Multicurrency Commitments. “Revolving Percentage” means, as of any date of determination, the result, expressed as a percentage, of the Revolving Credit Exposure on such date divided by the aggregate outstanding Covered Debt Amount on such date. “RFR” means, for any Loans denominated in Sterling, SONIA. “RFR Business Day” means any day except for (a) a Saturday, (b) a Sunday or (c) a day on which banks are closed for general business in London. “RFR Interest Day” has the meaning assigned to such term in the definition of “Daily Simple RFR”. “RFR Loan” means a Loan that bears interest at a rate based on Daily Simple RFR. “RFR Lookback Day” has the meaning assigned to such term in the definition of “Daily Simple RFR”. “RIC” means a person qualifying for treatment as a “regulated investment company” under the Code. “S&P” means Standard & Poor’s Ratings Services, a division of The McGraw Hill Companies, Inc., a New York corporation, or any successor thereto. “SBA” means the United States Small Business Administration. “SBIC Equity Commitment” means a commitment by the Borrower to make one or more capital contributions to an SBIC Subsidiary. “SBIC Subsidiary” means any direct or indirect Subsidiary (including such Subsidiary’s general partner or managing entity to the extent that the only material asset of such general partner or managing entity is its equity interest in the SBIC Subsidiary) of the Borrower licensed as a small business investment company under the Small Business Investment Act of 1958, as amended, (or that has applied for such a license and is actively pursuing the granting thereof by appropriate proceedings promptly instituted and diligently conducted) and which is designated by the Borrower (as provided below) as an SBIC Subsidiary, so long as (a) no portion of the Indebtedness or any other obligations (contingent or otherwise) of such Subsidiary: (i) is Guaranteed by any Obligor (other than a Permitted SBIC Guarantee), (ii) is recourse to or obligates any Obligor in any way (other than in respect of any SBIC Equity Commitment or Permitted SBIC Guarantee), or (iii) subjects any property of any Obligor, directly or indirectly, contingently or otherwise, to the satisfaction thereof, other than Equity Interests in any SBIC Subsidiary pledged to secure such Indebtedness, and (b) no Obligor has any obligation to maintain or preserve such Subsidiary’s financial condition or cause such entity to achieve certain levels of operating results. Any such designation by the Borrower shall be effected pursuant to a certificate of a Financial 35 #4887-1928-1343v2 Officer delivered to the Administrative Agent, which certificate shall include a statement to the effect that, to the best of such officer’s knowledge, such designation complied with the foregoing conditions. “Secured Debt” means Indebtedness of the Borrower and its Subsidiaries that are consolidated with the Borrower for purposes of GAAP (including under this Agreement and, for the avoidance of doubt, the Secured Debt Amount, but excluding any Indebtedness of any of the Borrower’s Subsidiaries that are SBIC Subsidiaries) outstanding at any time that is secured in any manner by any Lien on assets of the Borrower or any such Subsidiaries. “Secured Debt Amount” means, on any date, the aggregate amount of all Secured Longer-Term Indebtedness and Secured Shorter-Term Indebtedness on such date (other than the obligations owed under the Loan Documents, including the Revolving Credit Exposure). “Secured Debt Ratio” means the ratio of (a) Secured Debt to (b) the aggregate amount of Indebtedness of the Borrower and its Subsidiaries that are consolidated with the Borrower for purposes of GAAP (including under this Agreement and, for the avoidance of doubt, the Secured Debt Amount, but excluding any Indebtedness of any of the Borrower’s Subsidiaries that are SBIC Subsidiaries). “Secured Longer-Term Indebtedness” means, as at any date, Indebtedness (other than Indebtedness hereunder) of an Obligor (which may be Guaranteed by Subsidiary Guarantors) that (a) has no scheduled amortization prior to, and a final maturity date not earlier than, six months after the Final Maturity Date (it being understood that none of: (w) the conversion features under convertible notes; (x) the triggering and/or settlement thereof; or (y) any cash payment made in respect thereof , shall constitute “amortization” for purposes of this clause (a)), (b) is incurred pursuant to documentation that is substantially comparable to market terms for substantially similar debt of other similarly situated borrowers as determined by the Borrower in its reasonable judgment and (c) is not secured by any assets of any Obligor other than pursuant to this Agreement or the Security Documents and the holders of which have either executed (i) a joinder agreement to the Guarantee and Security Agreement or (ii) such other document or agreement, in a form reasonably satisfactory to the Administrative Agent and the Collateral Agent, pursuant to which the holders of such Secured Longer-Term Indebtedness shall have become a party to the Guarantee and Security Agreement and assumed the obligations of a Financing Agent or Designated Indebtedness Holder (in each case, as defined in the Guarantee and Security Agreement). “Secured Party” has the meaning given to such term in the Guarantee and Security Agreement. “Secured Shorter-Term Indebtedness” means, collectively, (a) any Indebtedness of an Obligor that is secured by any assets of any Obligor and that does not constitute Secured Longer-Term Indebtedness, (b) any Indebtedness of an Obligor that is not secured by any assets of any Obligor other than pursuant to this Agreement or the Security Documents and the holders of which have either executed (i) a joinder agreement to the Guarantee and Security Agreement or (ii) such other document or agreement, in a form reasonably satisfactory to the Administrative Agent and the Collateral Agent, pursuant to which the holders of such Secured Shorter-Term


 
36 #4887-1928-1343v2 Indebtedness shall have become a party to the Guarantee and Security Agreement and assumed the obligations of a Financing Agent or Designated Indebtedness Holder (in each case, as defined in the Guarantee and Security Agreement). and (c) any Indebtedness that is designated as “Secured Shorter-Term Indebtedness” pursuant to Section 6.11(a). “Security Documents” means, collectively, the Guarantee and Security Agreement, the Guarantee and Security Agreement Confirmation and all other assignments, pledge agreements, security agreements, control agreements and other instruments executed and delivered on or after the date hereof by any of the Obligors pursuant to the Guarantee and Security Agreement or otherwise that govern any collateral security for any of the Secured Obligations under and as defined in the Guarantee and Security Agreement. “Settlement” has the meaning set forth in Section 2.04(c). “Settlement Date” has the meaning set forth in Section 2.04(c). “Shareholders’ Equity” means, at any date, the amount determined on a consolidated basis, without duplication, in accordance with GAAP, of shareholders equity for the Borrower and its Subsidiaries at such date. “SOFR” means a rate equal to the secured overnight financing rate as administered by the SOFR Administrator. “SOFR Administrator” means the Federal Reserve Bank of New York (or a successor administrator of the secured overnight financing rate). “SOFR Borrowing” means, as to any Borrowing, the SOFR Loans comprising such Borrowing. “SOFR Loan” means a Loan that bears interest at a rate based on Adjusted Term SOFR, other than pursuant to clause (c) of the definition of “Alternate Base Rate”. “SONIA” means, with respect to any RFR Business Day, a rate per annum equal to the Sterling Overnight Index Average for such RFR Business Day published by the SONIA Administrator on the SONIA Administrator’s Website. “SONIA Administrator” means the Bank of England (or any successor administrator of the Sterling Overnight Index Average). “SONIA Administrator’s Website” means the Bank of England’s website, currently at http://www.bankofengland.co.uk, or any successor source for the Sterling Overnight Index Average identified as such by the SONIA Administrator from time to time. “SPE Subsidiary” means a direct or indirect Subsidiary of the Borrower to which any Obligor sells, conveys or otherwise transfers (whether directly or indirectly) Portfolio Investments, which engages in no material activities other than in connection with the purchase or financing of such assets and other portfolio investments and which is designated by the Borrower (as provided below) as an SPE Subsidiary: 37 #4887-1928-1343v2 (a) no portion of the Indebtedness or any other obligations (contingent or otherwise) of which (i) is Guaranteed by any Obligor (other than Guarantees in respect of Standard Securitization Undertakings), (ii) is recourse to or obligates any Obligor in any way other than pursuant to Standard Securitization Undertakings or (iii) subjects any property of any Obligor, directly or indirectly, contingently or otherwise, to the satisfaction thereof, other than pursuant to Standard Securitization Undertakings or any Guarantee thereof, (b) with which no Obligor has any material contract, agreement, arrangement or understanding other than on terms no less favorable to such Obligor than those that might be obtained at the time from Persons that are not Affiliates of any Obligor, other than fees payable in the ordinary course of business in connection with servicing receivables, and (c) to which no Obligor has any obligation to maintain or preserve such entity’s financial condition or cause such entity to achieve certain levels of operating results. Any such designation by the Borrower shall be effected pursuant to a certificate of a Financial Officer delivered to the Administrative Agent, which certificate shall include a statement to the effect that, to the best of such officer’s knowledge, such designation complied with the foregoing conditions. Each Subsidiary of an SPE Subsidiary shall be deemed to be an SPE Subsidiary and shall comply with the foregoing requirements of this definition. “Special Equity Interest” means any Equity Interest that is subject to a Lien in favor of creditors of the issuer of such Equity Interest provided that (a) such Lien was created to secure Indebtedness owing by such issuer to such creditors, (b) such Indebtedness was (i) in existence at the time the Obligors acquired such Equity Interest, (ii) incurred or assumed by such issuer substantially contemporaneously with such acquisition or (iii) already subject to a Lien granted to such creditors and (c) unless such Equity Interest is not intended to be included in the Collateral, the documentation creating or governing such Lien does not prohibit the inclusion of such Equity Interest in the Collateral. “Standard Securitization Undertakings” means, collectively, (a) customary arms- length servicing obligations (together with any related performance guarantees), (b) obligations (together with any related performance guarantees) to refund the purchase price or grant purchase price credits for dilutive events or misrepresentations (in each case unrelated to the collectability of the assets sold or the creditworthiness of the associated account debtors) and (c) representations, warranties, covenants and indemnities (together with any related performance guarantees) of a type that are reasonably customary in accounts receivable securitizations. “Subsidiary” means, with respect to any Person (the “parent”) at any date, any corporation, limited liability company, partnership, association or other entity the accounts of which would be consolidated with those of the parent in the parent’s consolidated financial statements if such financial statements were prepared in accordance with GAAP as of such date, as well as any other corporation, limited liability company, partnership, association or other entity (a) of which securities or other ownership interests representing more than 50% of the equity or more than 50% of the ordinary voting power or, in the case of a partnership, more than 50% of the general partnership interests are, as of such date, owned, controlled or held, or (b) that is, as of such date, otherwise Controlled by the parent or one or more subsidiaries of the parent or by the 38 #4887-1928-1343v2 parent and one or more subsidiaries of the parent. Anything herein to the contrary notwithstanding, the term “Subsidiary” shall not include any Person that constitutes an Investment held by the Borrower in the ordinary course of business and that is not, under GAAP, consolidated on the financial statements of the Borrower and its Subsidiaries. Unless otherwise specified, “Subsidiary” means a Subsidiary of the Borrower. “Subsidiary Guarantor” means any Subsidiary that is a Guarantor under the Guarantee and Security Agreement. It is understood and agreed that no Financing Subsidiary, Immaterial Subsidiary or Foreign Subsidiary shall be a Subsidiary Guarantor. “Supported QFC” has the meaning assigned to it in Section 9.15. “Swingline Exposure” means, at any time, the aggregate principal amount of all Swingline Loans outstanding at such time. The Swingline Exposure of any Lender at any time shall be the sum of (i) its Applicable Dollar Percentage of the total Swingline Exposure incurred under the Dollar Commitments and (ii) its Applicable Multicurrency Percentage of the total Swingline Exposure at such time incurred under the Multicurrency Commitments. “Swingline Lender” means Goldman Sachs Bank USA, in its capacity as lender of Swingline Loans hereunder, and its successors in such capacity as provided in Section 2.04(e). “Swingline Loan” means a Loan made pursuant to Section 2.04. “Syndicated”, when used in reference to any Loan or Borrowing, refers to whether such Loan, or the Loans constituting such Borrowing, are made pursuant to Section 2.01. “Taxes” means any and all present or future taxes, levies, imposts, duties, deductions, charges or withholdings (including backup withholding), assessments, fees, or other charges imposed by any Governmental Authority, including any interest, additions to tax or penalties applicable thereto. “Term Benchmark” when used in reference to any Loan or Borrowing, refers to whether such Loan, or the Loans comprising such Borrowing, are bearing interest at a rate determined by reference to the Adjusted Term SOFR Rate, EURIBOR or the applicable Local Rate. “Term CORRA” means, for any calculation with respect to a Term Benchmark Borrowing denominated in Canadian Dollars, the Term CORRA Reference Rate for a tenor comparable to the applicable Interest Period on the day (such day, the “Periodic Term CORRA Determination Day”) that is two Business Days prior to the first day of such Interest Period, as such rate is published by the Term CORRA Administrator; provided, however, that if as of 1:00 p.m. (Toronto time) on any Periodic Term CORRA Determination Day the Term CORRA Reference Rate for the applicable tenor has not been published by the Term CORRA Administrator and a Benchmark Replacement Date with respect to the Term CORRA Reference Rate has not occurred, then Term CORRA will be the Term CORRA Reference Rate for such tenor as published by the Term CORRA Administrator on the first preceding Business Day for which such Term CORRA Reference Rate for such tenor was published by the Term CORRA Administrator so long 39 #4887-1928-1343v2 as such first preceding Business Day is not more than three Business Days prior to such Periodic Term CORRA Determination Day. “Term CORRA Adjustment” means a percentage equal to (i) 0.29547% (29.547 basis points) for an Available Tenor of one-month’s duration, and (ii) 0.32138% (32.138 basis points) for an Available Tenor of three-months’ duration.1 “Term CORRA Administrator” means Candeal Benchmark Administration Services Inc., TSX Inc., or any successor administrator. “Term CORRA Reference Rate” means the forward-looking term rate based on CORRA. “Term ESTR” means, for the applicable Corresponding Tenor as of the applicable Reference Time, the forward-looking term rate based on ESTR that has been selected or recommended by the Relevant Governmental Body. “Term ESTR Notice” means a notification by the Administrative Agent to the Lenders and the Borrower of the occurrence of a Term ESTR Transition Event. “Term ESTR Transition Event” means the determination by the Administrative Agent that (a) Term ESTR has been recommended for use by the Relevant Governmental Body, (b) the administration of Term ESTR is administratively feasible for the Administrative Agent and (c) a Benchmark Transition Event has previously occurred resulting in a Benchmark Replacement in accordance with Section 2.13 that is not Term ESTR. “Term SOFR” means, (a) for any calculation with respect to a SOFR Loan, the Term SOFR Reference Rate for a tenor comparable to the applicable Interest Period on the day (such day, the “Periodic Term SOFR Determination Day”) that is two (2) U.S. Government Securities Business Days prior to the first day of such Interest Period, as such rate is published by the Term SOFR Administrator; provided, however, that if as of 5:00 p.m. (New York City time) on any Periodic Term SOFR Determination Day the Term SOFR Reference Rate for the applicable tenor has not been published by the Term SOFR Administrator and a Benchmark Replacement Date with respect to the Term SOFR Reference Rate has not occurred, then Term SOFR will be the Term SOFR Reference Rate for such tenor as published by the Term SOFR Administrator on the first preceding U.S. Government Securities Business Day for which such Term SOFR Reference Rate for such tenor was published by the Term SOFR Administrator so long as such first preceding U.S. Government Securities Business Day is not more than three (3) U.S. Government Securities Business Days prior to such Periodic Term SOFR Determination Day, and (b) for any calculation with respect to an ABR Loan on any day (with respect to clause (c) of “Alternate Base Rate”, to the extent applicable), the Term SOFR Reference Rate for a tenor of one month on the day (such day, the “ABR Term SOFR Determination Day”) that is 1 Note to GS: The CORRA CSAs reflect the official guidance from the Term CORRA Administrator. Note that for SOFR, this facility uses ARRC CSAs (rather than a flat 10bps, for example).


 
40 #4887-1928-1343v2 two (2) U.S. Government Securities Business Days prior to such day, as such rate is published by the Term SOFR Administrator; provided, however, that if as of 5:00 p.m. (New York City time) on any ABR Term SOFR Determination Day the Term SOFR Reference Rate for the applicable tenor has not been published by the Term SOFR Administrator and a Benchmark Replacement Date with respect to the Term SOFR Reference Rate has not occurred, then Term SOFR will be the Term SOFR Reference Rate for such tenor as published by the Term SOFR Administrator on the first preceding U.S. Government Securities Business Day for which such Term SOFR Reference Rate for such tenor was published by the Term SOFR Administrator so long as such first preceding U.S. Government Securities Business Day is not more than three (3) U.S. Government Securities Business Days prior to such ABR SOFR Determination Day. “Term SOFR Adjustment” means, for any calculation with respect to an ABR Loan (with respect to clause (c) of “Alternate Base Rate”, to the extent applicable) or a SOFR Loan, a percentage per annum as set forth below for the applicable Type of such Loan and (if applicable) Interest Period therefor: ABR Loans: 0.11448% SOFR Loans: Interest Period Percentage Overnight 0.00644% One month 0.11448% Three months 0.26161% Six months 0.42826% Twelve months 0.71513% “Term SOFR Administrator” means CME Group Benchmark Administration Limited (CBA) (or a successor administrator of the Term SOFR Reference Rate selected by the Administrative Agent in consultation with the Borrower). “Term SOFR Reference Rate” means the forward-looking term rate based on SOFR. “Termination Date” means the earliest to occur of (i) the Final Maturity Date, (ii) the date of the termination of the Commitments in full pursuant to Section 2.08(c), or (iii) the date on which the Commitments are terminated pursuant to Article VII. “Transactions” means the execution, delivery and performance by the Borrower of this Agreement and the other Loan Documents, the borrowing of Loans, the use of the proceeds thereof and the issuance of Letters of Credit hereunder. “Type”, when used in reference to any Loan or Borrowing, refers to whether the rate of interest on such Loan, or on the Loans constituting such Borrowing, is determined by reference to a Term Benchmark, the Alternate Base Rate or the Daily Simple RFR. 41 #4887-1928-1343v2 “U.S. Special Resolution Regime” has the meaning assigned to it in Section 9.15. “UK Financial Institution” means any BRRD Undertaking (as such term is defined under the PRA Rulebook (as amended from time to time) promulgated by the United Kingdom Prudential Regulation Authority) or any person falling within IFPRU 11.6 of the FCA Handbook (as amended from time to time) promulgated by the United Kingdom Financial Conduct Authority, which includes certain credit institutions and investment firms, and certain affiliates of such credit institutions or investment firms. “UK Resolution Authority” means the Bank of England or any other public administrative authority having responsibility for the resolution of any UK Financial Institution. “Unadjusted Benchmark Replacement” means the applicable Benchmark Replacement excluding the Benchmark Replacement Adjustment. “Undisclosed Administration” means, in relation to a Lender, the appointment of an administrator, provisional liquidator, conservator, receiver, trustee, custodian or other similar official by a supervisory authority or regulator under or based on the law in the country where such Lender is subject to home jurisdiction supervision if applicable law requires that such appointment is not to be publicly disclosed. “Uniform Commercial Code” means the Uniform Commercial Code as in effect from time to time in the State of New York. “Unsecured Longer-Term Indebtedness” means any Indebtedness of an Obligor (which may be Guaranteed by Subsidiary Guarantors) that (a) has no amortization prior to, and a final maturity date not earlier than, six months after the Final Maturity Date (after giving effect to any extensions of the Final Maturity Date at the time of incurrence of such Indebtedness but not after) (it being understood that none of: (w) the conversion features under convertible notes; (x) the triggering and/or settlement thereof or (y) any cash payment made in respect thereof, shall constitute “amortization” for purposes of this clause (a)), (b) is incurred pursuant to documentation that is substantially comparable to market terms for substantially similar debt of other similarly situated borrowers as reasonably determined in good faith by the Borrower (other than financial covenants and events of default (other than events of default customary in indentures or similar instruments that have no analogous provisions in this Agreement or credit agreements generally), which need not be substantially comparable to market terms for substantially similar debt but shall be no more restrictive upon the Borrower and its Subsidiaries, while the Commitments or Loans are outstanding, than those set forth in this Agreement, it being understood that put rights or repurchase or redemption obligations arising out of circumstances that would constitute a “fundamental change” or a “change of control repurchase event” (as such terms are customarily defined in convertible note offerings and note offerings, as applicable) or be Events of Default under this Agreement shall not be deemed to be more restrictive for purposes of this definition) or is incurred pursuant to documentation that is substantially comparable to the terms of any Indebtedness set forth on Schedule 3.11 and (c) is not secured by any assets of any Obligor. “Unsecured Shorter-Term Indebtedness” means, collectively, (a) any Indebtedness of an Obligor that is not secured by any assets of any Obligor and that does not constitute 42 #4887-1928-1343v2 Unsecured Longer-Term Indebtedness and (b) any Indebtedness that is designated as “Unsecured Shorter-Term Indebtedness” pursuant to Section 6.11(a). “Unquoted Investments” means a Portfolio Investment with a value assigned by the Borrower pursuant to Section 5.12(b)(ii)(B). “U.S. Government Securities” means securities that are direct obligations of, and obligations the timely payment of principal and interest on which is fully guaranteed by, the United States or any agency or instrumentality of the United States the obligations of which are backed by the full faith and credit of the United States and in the form of conventional bills, bonds, and notes. “U.S. Government Securities Business Day” means any day except for (a) a Saturday, (b) a Sunday or (c) a day on which the Securities Industry and Financial Markets Association recommends that the fixed income departments of its members be closed for the entire day for purposes of trading in United States government securities. “Valuation Policy” means the valuation policy of the Borrower provided to the Administrative Agent prior to the Restatement Effective Date, as such policy may be amended, supplemented or otherwise modified from time to time with the consent of the Administrative Agent (not to be unreasonably withheld). “Value” has the meaning assigned to such term in Section 5.13. “Withdrawal Liability” means liability to a Multiemployer Plan as a result of a complete or partial withdrawal from such Multiemployer Plan, as such terms are defined in Part I of Subtitle E of Title IV of ERISA. “Write-Down and Conversion Powers” means, (a) with respect to any EEA Resolution Authority, the write-down and conversion powers of such EEA Resolution Authority from time to time under the Bail-In Legislation for the applicable EEA Member Country, which write-down and conversion powers are described in the EU Bail-In Legislation Schedule, and (b) with respect to the United Kingdom, any powers of the applicable Resolution Authority under the Bail-In Legislation to cancel, reduce, modify or change the form of a liability of any UK Financial Institution or any contract or instrument under which that liability arises, to convert all or part of that liability into shares, securities or obligations of that person or any other person, to provide that any such contract or instrument is to have effect as if a right had been exercised under it or to suspend any obligation in respect of that liability or any of the powers under that Bail-In Legislation that are related to or ancillary to any of those powers. SECTION 1.02. Classification of Loans and Borrowings. For purposes of this Agreement, Loans may be classified and referred to by Class (e.g., a “Syndicated Dollar Loan” or “Syndicated Multicurrency Loan”), by Type (e.g., an “ABR Loan”) or by Class and Type (e.g., a “Syndicated Multicurrency Term Benchmark Loan”). Borrowings also may be classified and referred to by Class (e.g., a “Dollar Borrowing”, “Multicurrency Borrowing” or “Syndicated Borrowing”), by Type (e.g., an “ABR Borrowing”) or by Class and Type (e.g., a “Syndicated ABR Borrowing” or “Syndicated Multicurrency Term Benchmark Borrowing”). Loans and Borrowings may also be identified by Currency. 43 #4887-1928-1343v2 SECTION 1.03. Terms Generally. The definitions of terms herein shall apply equally to the singular and plural forms of the terms defined. Whenever the context may require, any pronoun shall include the corresponding masculine, feminine and neuter forms. The words “include”, “includes” and “including” shall be deemed to be followed by the phrase “without limitation”. The word “will” shall be construed to have the same meaning and effect as the word “shall”. Unless the context requires otherwise (a) any definition of or reference to any agreement, instrument or other document herein shall be construed as referring to such agreement, instrument or other document as from time to time amended, supplemented or otherwise modified (subject to any restrictions on such amendments, supplements or modifications set forth herein), (b) any reference herein to any Person shall be construed to include such Person’s successors and assigns, (c) the words “herein”, “hereof’ and “hereunder”, and words of similar import, shall be construed to refer to this Agreement in its entirety and not to any particular provision hereof, (d) all references herein to Articles, Sections, Exhibits and Schedules shall be construed to refer to Articles and Sections of, and Exhibits and Schedules to, this Agreement and (e) the words “asset” and “property” shall be construed to have the same meaning and effect and to refer to any and all tangible and intangible assets and properties, including cash, securities, accounts and contract rights. SECTION 1.04. Accounting Terms; GAAP. Except as otherwise expressly provided herein, all terms of an accounting or financial nature shall be construed in accordance with GAAP, as in effect from time to time; provided that, (a) if the Borrower notifies the Administrative Agent that the Borrower requests an amendment to any provision hereof to eliminate the effect of any change occurring after the date hereof in GAAP or in the application thereof on the operation of such provision (or if the Administrative Agent notifies the Borrower that the Required Lenders request an amendment to any provision hereof for such purpose), regardless of whether any such notice is given before or after such change in GAAP or in the application thereof then such provision shall be interpreted on the basis of GAAP as in effect and applied immediately before such change shall have become effective until such notice shall have been withdrawn or such provision amended in accordance herewith and (b) all leases that would be treated as operating leases for purposes of GAAP on the date hereof shall continue to be accounted for as operating leases for purposes of all financial definitions and calculations hereunder regardless of any change to GAAP following the date hereof that would otherwise require such leases to be treated as Capital Lease Obligations. The Borrower covenants and agrees with the Lenders that whether or not the Borrower may at any time adopt Financial Accounting Standard No. 159 (or successor standard solely as it relates to fair valuing liabilities) or accounts for liabilities acquired in an acquisition on a fair value basis pursuant to Financial Accounting Standard No. 141(R) (or successor standard solely as it relates to fair valuing liabilities), all determinations of compliance with the terms and conditions of this Agreement shall be made on the basis that the Borrower has not adopted Financial Accounting Standard No. 159 (or such successor standard solely as it relates to fair valuing liabilities) or, in the case of liabilities acquired in an acquisition, Financial Accounting Standard No. 141(R) (or such successor standard solely as it relates to fair valuing liabilities). SECTION 1.05. Currencies; Currency Equivalents. (a) Currencies Generally. At any time, any reference in the definition of the term “Agreed Foreign Currency” or in any other provision of this Agreement to the Currency of


 
44 #4887-1928-1343v2 any particular nation means the lawful currency of such nation at such time whether or not the name of such Currency is the same as it was on the date hereof. Except as provided in Section 2.10(b) and the last sentence of Section 2.17(a), for purposes of determining (i) whether the amount of any Borrowing or Letter of Credit under the Multicurrency Commitments, together with all other Borrowings and Letters of Credit under the Multicurrency Commitments then outstanding or to be borrowed at the same time as such Borrowing, would exceed the aggregate amount of the Multicurrency Commitments, (ii) the aggregate unutilized amount of the Multicurrency Commitments, (iii) the Revolving Credit Exposure, (iv) the Multicurrency LC Exposure, (v) the Covered Debt Amount and (vi) the Borrowing Base or the Value or the fair market value of any Portfolio Investment, the outstanding principal amount of any Borrowing or Letter of Credit that is denominated in any Foreign Currency or the Value or the fair market value of any Portfolio Investment that is denominated in any Foreign Currency shall be deemed to be the Dollar Equivalent of the amount of the Foreign Currency of such Borrowing, Letter of Credit or Portfolio Investment, as the case may be, determined as of the date of such Borrowing or Letter of Credit (determined in accordance with the last sentence of the definition of the term “Interest Period”) or the date of valuation of such Portfolio Investment, as the case may be. Wherever in this Agreement in connection with a Borrowing or Loan an amount, such as a required minimum or multiple amount, is expressed in Dollars, but such Borrowing or Loan is denominated in a Foreign Currency, such amount shall be the relevant Foreign Currency Equivalent of such Dollar amount (rounded to the nearest 1,000 units of such Foreign Currency). (b) Special Provisions Relating to Euro. Each obligation hereunder of any party hereto that is denominated in the National Currency of a state that is not a Participating Member State on the date hereof shall, effective from the date on which such state becomes a Participating Member State, be redenominated in Euro in accordance with the legislation of the European Union applicable to the European Monetary Union; provided that, if and to the extent that any such legislation provides that any such obligation of any such party payable within such Participating Member State by crediting an account of the creditor can be paid by the debtor either in Euros or such National Currency, such party shall be entitled to pay or repay such amount either in Euros or in such National Currency. If the basis of accrual of interest or fees expressed in this Agreement with respect to an Agreed Foreign Currency of any country that becomes a Participating Member State after the date on which such currency becomes an Agreed Foreign Currency shall be inconsistent with any convention or practice in the interbank market for the basis of accrual of interest or fees in respect of the Euro, such convention or practice shall replace such expressed basis effective as of and from the date on which such state becomes a Participating Member State; provided that, with respect to any Borrowing denominated in such currency that is outstanding immediately prior to such date, such replacement shall take effect at the end of the Interest Period therefor. Without prejudice to the respective liabilities of the Borrower to the Lenders and the Lenders to the Borrower under or pursuant to this Agreement, each provision of this Agreement shall be subject to such reasonable changes of construction as the Administrative Agent may from time to time, in consultation with the Borrower, reasonably specify to be necessary or appropriate to reflect the introduction or changeover to the Euro in any country that becomes a Participating Member State after the date hereof; provided that the Administrative Agent shall provide the Borrower and the Lenders with prior notice of the proposed change with an explanation of such 45 #4887-1928-1343v2 change in sufficient time to permit the Borrower and the Lenders an opportunity to respond to such proposed change. SECTION 1.06. Divisions. For all purposes under the Loan Documents, in connection with any division or plan of division under Delaware law (or any comparable event under a different jurisdiction’s laws): (a) if any asset, right, obligation or liability of any Person becomes the asset, right, obligation or liability of a different Person, then it shall be deemed to have been transferred from the original Person to the subsequent Person, and (b) if any new Person comes into existence, such new Person shall be deemed to have been organized on the first date of its existence by the holders of its Equity Interests at such time. SECTION 1.07. Rates. The Administrative Agent does not warrant or accept any responsibility for, and shall not have any liability with respect to, (a) the continuation of, administration of, submission of, calculation of or any other matter related to the Alternate Base Rate or the applicable Relevant Rate, or any component definition thereof or rates referred to in the definition thereof, or any alternative, successor or replacement rate thereto (including any Benchmark Replacement), including whether the composition or characteristics of any such alternative, successor or replacement rate (including any Benchmark Replacement) will be similar to, or produce the same value or economic equivalence of, or have the same volume or liquidity as, the Alternate Base Rate or the applicable Relevant Rate or any other Benchmark prior to its discontinuance or unavailability, or (b) the effect, implementation or composition of any Conforming Changes. The Administrative Agent and its affiliates or other related entities may engage in transactions that affect the calculation of the Alternate Base Rate or the applicable Relevant Rate any alternative, successor or replacement rate (including any Benchmark Replacement) or any relevant adjustments thereto, in each case, in a manner adverse to the Borrower. The Administrative Agent may select information sources or services in its reasonable discretion to ascertain the Alternate Base Rate or the applicable Relevant Rate or any other Benchmark, or any component definition thereof or rates referred to in the definition thereof, in each case pursuant to the terms of this Agreement, and shall have no liability to the Borrower, any Lender or any other person or entity for damages of any kind, including direct or indirect, special, punitive, incidental or consequential damages, costs, losses or expenses (whether in tort, contract or otherwise and whether at law or in equity), for any error or calculation of any such rate (or component thereof) provided by any such information source or service. ARTICLE II THE CREDITS SECTION 2.01. The Commitments. Subject to the terms and conditions set forth herein: (a) each Dollar Lender severally agrees to make Syndicated Loans in Dollars to the Borrower from time to time during such the Availability Period in an aggregate principal amount that will not result in (i) such Lender’s Revolving Dollar Credit Exposure exceeding such Lender’s Dollar Commitment, (ii) the aggregate Revolving Dollar Credit Exposure of all of the 46 #4887-1928-1343v2 Dollar Lenders with Dollar Commitments then in effect exceeding the aggregate Dollar Commitments at such time or (iii) the total Covered Debt Amount exceeding the Borrowing Base then in effect; and (b) each Multicurrency Lender severally agrees to make Syndicated Loans in Dollars and in Agreed Foreign Currencies to the Borrower from time to time during the Availability Period in an aggregate principal amount that will not result in (i) such Lender’s Revolving Multicurrency Credit Exposure exceeding such Lender’s Multicurrency Commitment, (ii) the aggregate Revolving Multicurrency Credit Exposure of all of the Multicurrency Lenders with Multicurrency Commitments then in effect exceeding the aggregate Multicurrency Commitments at such time or (iii) the total Covered Debt Amount exceeding the Borrowing Base then in effect. Within the foregoing limits and subject to the terms and conditions set forth herein, the Borrower may borrow, prepay and reborrow Syndicated Loans. SECTION 2.02. Loans and Borrowings. (a) Obligations of Lenders. Each Syndicated Loan shall be made as part of a Borrowing consisting of Loans of the same Class of Commitments, Currency and Type made by the applicable Lenders ratably in accordance with their respective Commitments of the applicable Class. The failure of any Lender to make any Loan required to be made by it shall not relieve any other Lender of its obligations hereunder; provided that the Commitments of the Lenders are several and no Lender shall be responsible for any other Lender’s failure to make Loans as required. (b) Type of Loans. Subject to Section 2.13, each Syndicated Borrowing of a Class shall be constituted entirely of ABR Loans, RFR Loans or of Term Benchmark Loans of such Class denominated in a single Currency as the Borrower may request in accordance herewith. Each Lender at its option may make any RFR Loan or Term Benchmark by causing any domestic or foreign branch or Affiliate of such Lender to make such Loan; provided that any exercise of such option shall not affect the obligation of the Borrower to repay such Loan in accordance with the terms of this Agreement. (c) Minimum Amounts. Each Term Benchmark Borrowing and each RFR Borrowing shall be in an aggregate amount of $1,000,000 or a larger multiple of $1,000,000, and each ABR Borrowing (whether Syndicated or Swingline) shall be in an aggregate amount of $1,000,000 or a larger multiple of $100,000; provided that a Syndicated ABR Borrowing of a Class may be in an aggregate amount that is equal to the entire unused balance of the total Commitments of such Class or that is required to finance the reimbursement of an LC Disbursement of such Class as contemplated by Section 2.05(f). Borrowings of more than one Class, Currency and Type may be outstanding at the same time. (d) Limitations on Interest Periods. Notwithstanding any other provision of this Agreement, the Borrower shall not be entitled to request (or to elect to convert to or continue as a Term Benchmark Borrowing) any Borrowing if the Interest Period requested therefor would end after the Final Maturity Date with respect to such Borrowing. 47 #4887-1928-1343v2 (e) Treatment of Classes. Notwithstanding anything to the contrary contained herein, with respect to each Syndicated Loan, Swingline Loan or Letter of Credit designated in Dollars, the Administrative Agent shall deem the Borrower to have requested that such Syndicated Loan, Swingline Loan or Letter of Credit be applied ratably to each of the Dollar Commitments and the Multicurrency Commitments, based upon the percentage of the aggregate Commitments represented by the Dollar Commitments and the Multicurrency Commitments, respectively. SECTION 2.03. Requests for Syndicated Borrowings. (a) Notice by the Borrower. To request a Syndicated Borrowing, the Borrower shall notify the Administrative Agent of such request in writing (i) in the case of a Term Benchmark Borrowing denominated in Dollars, not later than 11:00 a.m., New York time, two Business Days before the date of the proposed Borrowing, (ii) in the case of a Term Benchmark Borrowing denominated in a Foreign Currency, not later than 11:00 a.m., New York time, four Business Days before the date of the proposed Borrowing or (iii) in the case of a Syndicated ABR Borrowing, not later than 11:00 a.m., New York time, one Business Day before the date of the proposed Borrowing. Each such Borrowing Request shall be irrevocable and in a form approved by the Administrative Agent and signed by the Borrower. (b) Content of Borrowing Requests. Each Borrowing Request shall specify the following information in compliance with Section 2.02: (i) whether such Borrowing is to be made under the Dollar Commitments or the Multicurrency Commitments; (ii) whether such Borrowing is a Syndicated Loan or a Swingline Loan; (iii) the aggregate amount and Currency of the requested Borrowing; (iv) the date of such Borrowing, which shall be a Business Day; (v) in the case of a Syndicated Borrowing denominated in Dollars, whether such Borrowing is to be an ABR Borrowing or a Term Benchmark Borrowing; (vi) in the case of a Term Benchmark Borrowing, the Interest Period therefor, which shall be a period contemplated by the definition of the term “Interest Period” and permitted under Section 2.02(d); and (vii) the location and number of the Borrower’s account to which funds are to be disbursed. (c) Notice by the Administrative Agent to the Lenders. Promptly following receipt of a Borrowing Request in accordance with this Section, the Administrative Agent shall advise each applicable Lender of the details thereof and of the amounts of such Lender’s Loan to be made as part of the requested Borrowing. (d) Failure to Elect. If no election as to the Class of a Syndicated Borrowing is specified, then the requested Syndicated Borrowing shall be deemed to be under the Multicurrency


 
48 #4887-1928-1343v2 Commitments. If no election as to the Currency of a Syndicated Borrowing is specified, then the requested Syndicated Borrowing shall be denominated in Dollars. If no election as to the Type of a Syndicated Borrowing is specified, then the requested Borrowing shall be a Term Benchmark Borrowing having an Interest Period of one month and, if an Agreed Foreign Currency has been specified, the requested Syndicated Borrowing shall be a Term Benchmark Borrowing or RFR Borrowing, as applicable, denominated in such Agreed Foreign Currency and having an Interest Period of one month. If a Term Benchmark Borrowing is requested but no Interest Period is specified, (i) if the Currency specified for such Borrowing is Dollars (or if no Currency has been so specified), the requested Borrowing shall be a Term Benchmark Borrowing denominated in Dollars having an Interest Period of one month’s duration, and (ii) if the Currency specified for such Borrowing is an Agreed Foreign Currency where the Relevant Rate is a Term Benchmark, the Borrower shall be deemed to have selected an Interest Period of one month’s duration. SECTION 2.04. Swingline Loans. (a) Agreement to Make Swingline Loans. Subject to the terms and conditions set forth herein, the Swingline Lender agrees to make Swingline Loans under each Commitment to the Borrower from time to time during the Availability Period in Dollars, in minimum increments of $100,000 and in an aggregate principal amount at any time outstanding that will not result in (i) the aggregate principal amount of outstanding Swingline Loans of both Classes of Commitments exceeding $10,000,000, (ii) the total Revolving Dollar Credit Exposures of Dollar Lenders with Dollar Commitments then in effect exceeding the aggregate Dollar Commitments at such time, (iii) the total Revolving Multicurrency Credit Exposures of Multicurrency Lenders with Multicurrency Commitments then in effect exceeding the aggregate Multicurrency Commitments at such time or (iv) the total Covered Debt Amount exceeding the Borrowing Base then in effect; provided that the Swingline Lender shall not be required to make a Swingline Loan to refinance an outstanding Swingline Loan. Within the foregoing limits and subject to the terms and conditions set forth herein, the Borrower may borrow, prepay and reborrow Swingline Loans. (b) Notice of Swingline Loans by the Borrower. To request a Swingline Loan, the Borrower shall notify the Administrative Agent of such request by telephone (confirmed in writing) not later than 11:00 a.m., New York time, on the day of such proposed Swingline Loan. Each such notice shall be irrevocable and shall specify the requested date (which shall be a Business Day), the amount of the requested Swingline Loan and whether such Swingline Loan is to be made under the Dollar Commitments or the Multicurrency Commitments. The Administrative Agent will promptly advise the Swingline Lender of any such notice received from the Borrower. The Swingline Lender shall make each Swingline Loan available to the Borrower by means of a credit to the general deposit account of the Borrower with the Swingline Lender (or, in the case of a Swingline Loan made to finance the reimbursement of an LC Disbursement as provided in Section 2.05(f), by remittance to the Issuing Bank) by 3:00 p.m., New York time, on the requested date of such Swingline Loan. (c) Refunding of Swingline Loans. With respect to any Swingline Loans which have not been repaid by the Borrower pursuant to Section 2.09 or voluntarily prepaid by the Borrower pursuant to Section 2.10, the Administrative Agent, on behalf of the Swingline Lender, shall request settlement (“Settlement”) with the Lenders on a weekly basis (or on a more frequent basis if so determined by the Administrative Agent on behalf of the Swingline Lender), no later 49 #4887-1928-1343v2 than 2:00 p.m. (New York City time) at least one Business Day in advance of the proposed date of such requested Settlement (the date of such requested Settlement being the “Settlement Date”). Such notice shall request that each Lender holding a Revolving Credit Exposure make a Multicurrency Loan or Dollar Loan, as applicable, that is an ABR Loan (each a “Refunding Loan”) to the Borrower on such Settlement Date such that the amount of all such Loans is equal to the amount of Swingline Loans (the “Refunded Swingline Loans”) outstanding on the date such notice is given. Anything contained in this Agreement to the contrary notwithstanding, (1) the proceeds of such Refunding Loans made by the Lenders other than the Swingline Lender shall be immediately delivered by Administrative Agent to the Swingline Lender (and not to the Borrower) and applied to repay a corresponding portion of the Refunded Swingline Loans and (2) on the day such Refunding Loans are made, the Swingline Lender’s pro rata share of the Refunded Swingline Loans shall be deemed to be paid with the proceeds of a Refunding Loan made by the Swingline Lender to Borrower, and such portion of the Swingline Loans deemed to be so paid shall no longer be outstanding as Swingline Loans but shall instead constitute part of the Swingline Lender’s outstanding Multicurrency Loans or Dollar Loans, as applicable, to the Borrower. If any portion of any such amount paid (or deemed to be paid) to the Swingline Lender should be recovered by or on behalf of the Borrower from the Swingline Lender in bankruptcy, by assignment for the benefit of creditors or otherwise, the loss of the amount so recovered shall be ratably shared among all Lenders in the manner contemplated by Section 2.17. (d) Participations by Lenders in Swingline Loans. If for any reason Refunding Loans are not made pursuant to Section 2.04(c) above in an amount sufficient to repay the Refunded Swingline Loans on or before the third Business Day after demand for payment thereof by the Swingline Lender, each Lender holding a Revolving Credit Exposure shall be deemed to, and hereby agrees to, have purchased a participation in such outstanding Swingline Loans, and in an amount equal to its Applicable Multicurrency Percentage or Applicable Dollar Percentage of the applicable unpaid amount together with accrued interest thereon. Upon one Business Day’s notice from the Swingline Lender, each Lender holding a Revolving Credit Exposure shall deliver to the Administrative Agent, on behalf of the Swingline Lender, an amount equal to its respective participation in the applicable unpaid amount as provided below. In order to evidence such participation each Lender holding a Revolving Credit Exposure agrees to enter into a participation agreement at the request of the Swingline Lender in form and substance reasonably satisfactory to the Swingline Lender. In the event any Lender holding a Revolving Credit Exposure fails to make available to the Administrative Agent, on behalf of the Swingline Lender, the amount of such Lender’s participation as provided in this paragraph, the Swingline Lender shall be entitled to recover such amount on demand from such Lender at the Alternate Base Rate. Subject to the foregoing, each Lender acknowledges and agrees that its obligation to acquire participations in Swingline Loans pursuant to this paragraph (d) is absolute and unconditional and shall not be affected by any circumstance whatsoever, including the occurrence and continuance of a Default or reduction or termination of the Commitments of the respective Class, and that each such payment shall be made without any offset, abatement, withholding or reduction whatsoever. Each Lender shall comply with its obligation under this paragraph by wire transfer of immediately available funds, in the same manner as provided in Section 2.06 with respect to Loans made by such Lender (and Section 2.06 shall apply, mutatis mutandis, to the payment obligations of the Lenders), and the Administrative Agent shall promptly pay to the Swingline Lender the amounts so received by it from the Lenders. The Administrative Agent shall 50 #4887-1928-1343v2 notify the Borrower of any participations in any Swingline Loan acquired pursuant to this paragraph, and thereafter payments in respect of such Swingline Loan shall be made to the Administrative Agent and not to the Swingline Lender. Any amounts received by the Swingline Lender from the Borrower (or other party on behalf of the Borrower) in respect of a Swingline Loan after receipt by the Swingline Lender of the proceeds of a sale of participations therein shall be promptly remitted to the Administrative Agent; any such amounts received by the Administrative Agent shall be promptly remitted by the Administrative Agent to the Lenders that shall have made their payments pursuant to this paragraph and to the Swingline Lender, as their interests may appear. The purchase of participations in a Swingline Loan pursuant to this paragraph shall not relieve the Borrower of any default in the payment thereof. (e) Resignation and Replacement of Swingline Lender. The Swingline Lender may resign and be replaced at any time by written agreement among the Borrower, the Administrative Agent, the resigning Swingline Lender and the successor Swingline Lender. The Administrative Agent shall notify the Lenders of any such resignation and replacement of the Swingline Lender. In addition to the foregoing, if a Lender becomes, and during the period it remains, a Defaulting Lender, and if any Default has arisen from a failure of the Borrower to comply with Section 2.19(a), then the Swingline Lender may, upon prior written notice to the Borrower and the Administrative Agent, resign as Swingline Lender, effective at the close of business New York time on a date specified in such notice (which date may not be less than five (5) Business Days after the date of such notice). On or after the effective date of any such resignation, the Borrower and the Administrative Agent may, by written agreement, appoint a successor Swingline Lender. The Administrative Agent shall notify the Lenders of any such appointment of a successor Swingline Lender. Upon the effectiveness of any resignation of the Swingline Lender, the Borrower shall repay in full all outstanding Swingline Loans together with all accrued interest thereon. From and after the effective date of the appointment of a successor Swingline Lender, (i) the successor Swingline Lender shall have all the rights and obligations of the replaced Swingline Lender under this Agreement with respect to Swingline Loans to be made thereafter and (ii) references herein to the term “Swingline Lender” shall be deemed to refer to such successor or to any previous Swingline Lender, or to such successor and all previous Swingline Lenders, as the context shall require. After the replacement of the Swingline Lender hereunder, the replaced Swingline Lender shall have no obligation to make additional Swingline Loans. SECTION 2.05. Letters of Credit. (a) General. Subject to the terms and conditions set forth herein, in addition to the Loans provided for in Section 2.01, the Borrower may request the Issuing Bank to issue, at any time and from time to time at least thirty (30) days prior to the Commitment Termination Date, during the Availability Period and under either the Dollar Commitments or Multicurrency Commitments, Letters of Credit denominated in Dollars or (in the case of Letters of Credit under the Multicurrency Commitments) in any Agreed Foreign Currency for its own account in such form as is acceptable to the Issuing Bank in its sole discretion. Each requested Letter of Credit must satisfy the requirements of this Agreement (unless waived to the extent permitted by this Agreement) and the Issuing Bank's internal policies, forms and procedures, including those identified by the Issuing Bank to the Borrower in Schedule 2.05 hereto or in a written notice to the Borrower given before a request submitted by the Borrower to the Issuing Bank (unless waived by 51 #4887-1928-1343v2 the Issuing Bank). Letters of Credit issued hereunder shall constitute utilization of the Commitments up to the aggregate amount available to be drawn thereunder. (b) Notice of Issuance, Amendment. To request the issuance of a Letter of Credit (or the amendment of an outstanding Letter of Credit), the Borrower shall hand deliver or telecopy (or transmit by electronic communication, if arrangements for doing so have been approved by the Issuing Bank) to the Issuing Bank and the Administrative Agent (at least three (3) Business Days in advance of the requested date of issuance, a notice requesting the issuance and specifying the date of issuance (in each case which shall be a Business Day), the date on which such Letter of Credit is to expire (which shall comply with paragraph (d) of this Section), the amount and Currency of such Letter of Credit, whether such Letter of Credit is to be issued under the Dollar Commitments or the Multicurrency Commitments, the name and address of the beneficiary thereof and such other information as shall be necessary to prepare and issue the Letter of Credit. If requested by the Issuing Bank, the Borrower also shall submit to the Issuing Bank a letter of credit application on the Issuing Bank’s standard forms in connection with any request for a Letter of Credit. In the event of any inconsistency between the terms and conditions of this Agreement and the terms and conditions of any form of letter of credit application or other agreement submitted by the Borrower to, or entered into by the Borrower with, the Issuing Bank relating to any Letter of Credit, the terms and conditions of this Agreement shall control to the extent of any irreconcilable conflict between them. (c) Limitations on Amounts. A Letter of Credit shall be issued or amended only if (and upon issuance or amendment of each Letter of Credit the Borrower shall be deemed to represent and warrant that), after giving effect to such issuance or amendment (i) the aggregate LC Exposure of the Issuing Bank (determined for these purposes without giving effect to the participations therein of the Lenders pursuant to paragraph (e) of this Section) shall not exceed $40,000,000, (ii) the total Revolving Dollar Credit Exposures of Dollar Lenders with Dollar Commitments then in effect shall not exceed the aggregate Dollar Commitments at such time, (iii) the total Revolving Multicurrency Credit Exposures of Multicurrency Lenders with Multicurrency Commitments then in effect shall not exceed the aggregate Multicurrency Commitments at such time and (iv) the total Covered Debt Amount shall not exceed the Borrowing Base then in effect. The minimum initial amount of each Letter of Credit shall be $250,000 and no more than ten (10) Letters of Credit may be outstanding at any one time. (d) Expiration Date. Each Letter of Credit shall provide that it expires within one year from the date of issuance. If a Letter of Credit also provides for automatic extension, such Letter of Credit must also provide for automatic expiration at the initial or any subsequent expiration date upon the Issuing Bank's sending a notice of non-extension to the beneficiary reasonably (not more than ninety (90) days) before the then current expiration date, that no automatic extension may exceed one year in duration, and that the Letter of Credit must in all events expire on a final and certain date stated in the Letter of Credit that is not later than ten (10) days prior to the Commitment Termination Date. Notwithstanding the foregoing, if a Letter of Credit is outstanding following the earlier to occur of the Commitment Termination Date and the Termination Date, the Letter of Credit must be Cash Collateralized in an amount of at least 102% of the undrawn face amount and any unreimbursed drawings not honored or refused of each Letter of Credit on terms acceptable to the Issuing Bank, no later than five (5) Business Days prior to the Commitment Termination Date or Termination Date, as applicable, or supported by another letter


 
52 #4887-1928-1343v2 of credit approved by the Issuing Bank, and (ii) the Borrower pays in full prior to the Commitment Termination Date all commissions, fees and expenses required to be paid with respect to any such Letter of Credit through the then current expiration date of such Letter of Credit (and, in that connection, the Lenders agree not later than the date two Business Days after the date upon which the last such Letter of Credit shall expire or be terminated to rebate to the Borrower the excess, if any, of the aggregate participation and fronting fees that have been prepaid by the Borrower over the sum of the amount of such fees that ultimately accrue through the date of such expiration or termination and the aggregate amount of all other unpaid obligations hereunder at such time), in each case pursuant to arrangements reasonably satisfactory to the Issuing Bank and the Administrative Agent. (e) Participations. By the issuance of a Letter of Credit of a Class of Commitment (or an amendment to a Letter of Credit increasing the amount thereof) by the Issuing Bank, and without any further action on the part of the Issuing Bank or the Lenders, the Issuing Bank hereby grants to each Lender of such Class, and each Lender of such Class hereby acquires from the Issuing Bank, a participation in such Letter of Credit equal to such Lender’s Applicable Dollar Percentage or Applicable Multicurrency Percentage, as the case may be, of the aggregate amount available to be drawn under such Letter of Credit. Each Lender acknowledges and agrees that its obligation to acquire participations pursuant to this paragraph in respect of Letters of Credit is absolute and unconditional and shall not be affected by any circumstance whatsoever, including any amendment of any Letter of Credit or the occurrence and continuance of a Default or reduction or termination of the applicable Commitments; provided that no Lender shall be required to purchase a participation in a Letter of Credit pursuant to this Section 2.05(e) if (x) the conditions set forth in Section 4.02 would not be satisfied in respect of a Borrowing at the time such Letter of Credit was issued and (y) the Required Lenders of the respective Class shall have so notified the Issuing Bank in writing and shall not have subsequently determined that the circumstances giving rise to such conditions not being satisfied no longer exist. In consideration and in furtherance of the foregoing, each Lender of a Class of Commitment hereby absolutely and unconditionally agrees to pay to the Administrative Agent, for account of the Issuing Bank, such Lender’s Applicable Dollar Percentage or Applicable Multicurrency Percentage, as the case may be, of each LC Disbursement made by the Issuing Bank in respect of Letters of Credit of such Class promptly upon the request of the Issuing Bank at any time from the time of such LC Disbursement until such LC Disbursement is reimbursed by the Borrower or at any time after any reimbursement payment is required to be refunded to the Borrower for any reason. LC Disbursement includes any payment made by the Issuing Bank to or at the direction of a Letter of Credit beneficiary to the extent that Borrower is obligated to pay the Issuing Bank therefor under any applicable law, practice rule, or agreement. Such payment shall be made without any offset, abatement, withholding or reduction whatsoever. Each such payment shall be made in the same manner as provided in Section 2.06 with respect to Loans made by such Lender (and Section 2.06 shall apply, mutatis mutandis, to the payment obligations of the Lenders), and the Administrative Agent shall promptly pay to the Issuing Bank the amounts so received by it from the Lenders. Promptly following receipt by the Administrative Agent of any payment from the Borrower pursuant to the next following paragraph, the Administrative Agent shall distribute such payment to the Issuing Bank or, to the extent that the Lenders have made payments pursuant to this paragraph to reimburse the Issuing Bank, then to such Lenders and the Issuing Bank as their interests may appear. Any payment made by a Lender pursuant to this 53 #4887-1928-1343v2 paragraph to reimburse the Issuing Bank for any LC Disbursement shall not constitute a Loan and shall not relieve the Borrower of its obligation to reimburse such LC Disbursement. (f) Reimbursement. If the Issuing Bank shall make any LC Disbursement in respect of a Letter of Credit, the Borrower shall reimburse the Issuing Bank in respect of such LC Disbursement by paying to the Issuing Bank an amount equal to such LC Disbursement not later than 5:00 p.m., New York time, on (i) the Business Day that the Borrower receives notice of such LC Disbursement, if such notice is received prior to 11:00 a.m., New York time, or (ii) the Business Day immediately following the day that the Borrower receives such notice, if such notice is not received prior to such time; provided that, if such LC Disbursement is not less than $100,000 and is denominated in Dollars, the Borrower may, subject to the conditions to borrowing set forth herein, request in accordance with Section 2.03 or 2.04 that such payment be financed with a Syndicated ABR Borrowing or a Swingline Loan of the respective Class in an equivalent amount and, to the extent so financed, the Borrower’s obligation to make such payment shall be discharged and replaced by the resulting Syndicated ABR Borrowing or Swingline Loan and in the event the Borrower elects to finance the LC Disbursement, the Administrative Agent shall pay to the Issuing Bank the proceeds of such Loan. If the Borrower fails to make such payment when due and does not request and receive a Syndicated ABR Borrowing or Swingline Loan in the unpaid amount pursuant to Section 2.05(f) hereof, the Administrative Agent shall notify each applicable Lender with a Commitment then in effect of the applicable LC Disbursement, the payment then due from the Borrower in respect thereof and such Lender’s Applicable Dollar Percentage or Applicable Multicurrency Percentage, as the case may be, thereof. (g) Obligations Absolute. The Borrower’s obligation to reimburse LC Disbursements as provided in paragraph (f) of this Section shall be absolute, unconditional and irrevocable, and shall be performed strictly in accordance with the terms of this Agreement under any and all circumstances whatsoever and irrespective of (i) any lack of validity or enforceability of any Letter of Credit, or any term or provision therein, (ii) any draft or other document presented under a Letter of Credit proving to be forged, fraudulent or invalid in any respect or any statement therein being untrue or inaccurate in any respect, (iii) payment by the Issuing Bank under a Letter of Credit against presentation of a draft or other document that does not comply strictly with the terms of such Letter of Credit, and (iv) any other event or circumstance whatsoever, whether or not similar to any of the foregoing, that might, but for the provisions of this Section, constitute a legal or equitable discharge of the Borrower’s obligations hereunder. Neither the Administrative Agent, the Lenders nor the Issuing Bank, nor any of their Related Parties, shall have any liability or responsibility by reason of or in connection with the issuance or transfer of any Letter of Credit by the Issuing Bank or any payment or failure to make any payment thereunder (irrespective of any of the circumstances referred to in the preceding sentence), or any error, omission, interruption, loss or delay in transmission or delivery of any draft, notice or other communication under or relating to any Letter of Credit (including any document required to make a drawing thereunder), any error in interpretation of technical terms or any consequence arising from causes beyond the control of the Issuing Bank; provided that the foregoing shall not be construed to excuse the Issuing Bank from liability to the Borrower to the extent of any direct damages (as opposed to consequential damages, claims in respect of which are 54 #4887-1928-1343v2 hereby waived by the Borrower to the extent permitted by applicable law) suffered by the Borrower that are caused by the Issuing Bank’s fraud, gross negligence or willful misconduct when determining whether drafts and other documents presented under a Letter of Credit comply with the terms thereof. The parties hereto expressly agree that: (i) the Issuing Bank may accept documents that appear on their face to be in substantial compliance with the terms of a Letter of Credit without responsibility for further investigation, regardless of any notice or information to the contrary, and may make payment upon presentation of documents that appear on their face to be in substantial compliance with the terms of such Letter of Credit; and (ii) the Issuing Bank shall have the right, in its sole discretion, to decline to accept such documents and to make such payment if such documents are not in strict compliance with the terms of such Letter of Credit. (h) Disbursement Procedures. The Issuing Bank shall, within a reasonable time following its receipt thereof, examine all documents purporting to represent a demand for payment under a Letter of Credit. The Issuing Bank shall promptly after such examination notify the Administrative Agent and the Borrower in writing of such demand for payment and whether the Issuing Bank has made or will make an LC Disbursement thereunder; provided that any failure to give or delay in giving such notice shall not relieve the Borrower of its obligation to reimburse the Issuing Bank and the applicable Lenders with respect to any such LC Disbursement. (i) Interim Interest. If the Issuing Bank shall make any LC Disbursement, then, unless the Borrower shall reimburse such LC Disbursement in full on the date such LC Disbursement is made, the unpaid amount thereof shall bear interest, for each day from and including the date such LC Disbursement is made to but excluding the date that the Borrower reimburses such LC Disbursement, at the rate per annum then applicable to Syndicated ABR Loans; provided that, if the Borrower fails to reimburse such LC Disbursement within two Business Days following the date when due pursuant to paragraph (f) of this Section, then the provisions of Section 2.12(c) shall apply automatically without further action by the Lenders. Interest accrued pursuant to this paragraph shall be for account of the Issuing Bank, except that interest accrued on and after the date of payment by any Lender pursuant to paragraph (f) of this Section to reimburse the Issuing Bank shall be for account of such Lender to the extent of such payment. (j) Resignation and/or Replacement of Issuing Bank. The Issuing Bank may resign and be replaced at any time by written agreement among the Borrower, the Administrative Agent, the resigning Issuing Bank and the successor Issuing Bank. The Administrative Agent shall notify the Lenders of any such resignation and replacement of the Issuing Bank. Upon the effectiveness of any resignation of the Issuing Bank, the Borrower shall pay all unpaid fees accrued for account of the resigning Issuing Bank pursuant to Section 2.11(b). From and after the effective date of the appointment of a successor Issuing Bank, (i) the successor Issuing Bank shall have all the rights and obligations of the replaced Issuing Bank under this Agreement with respect to Letters of Credit to be issued thereafter and (ii) references herein to the term “Issuing Bank” shall be deemed to refer to such successor or to any previous Issuing Bank, or to such successor and all previous Issuing Banks, as the context shall require. After the effective resignation of the Issuing 55 #4887-1928-1343v2 Bank hereunder, the resigning Issuing Bank, as the case may be, shall remain a party hereto and shall continue to have all the rights and obligations of the Issuing Bank under this Agreement with respect to Letters of Credit issued by it prior to such resignation, but shall not be required to issue additional Letters of Credit or amend outstanding Letters of Credit (k) Cash Collateralization. If the Borrower shall be required to provide Cash Collateral for LC Exposure pursuant to Section 2.05(d), Section 2.10(b) or (c) or the last paragraph of Article VII, the Borrower shall immediately deposit into a segregated collateral account or accounts (herein, collectively, the “Letter of Credit Collateral Account”) in the name and under the dominion and control of the Issuing Bank Cash denominated in the Currency of the Letter of Credit under which such LC Exposure arises in an amount equal to the amount required under Section 2.10(b) or (c) or the last paragraph of Article VII, as applicable. Such deposit shall be held by the Issuing Bank or its agent as collateral in the first instance for the LC Exposure under this Agreement and thereafter for the payment of the “Secured Obligations” under and as defined in the Guarantee and Security Agreement, and for these purposes the Borrower hereby grants a first priority security interest (subject only to Liens of the type described in clause (g) of the definition of Permitted Liens and unrecorded Liens permitted hereunder which have priority over the Liens on the Collateral by operation of law) to the Issuing Bank in the Letter of Credit Collateral Account and in any financial assets (as defined in the Uniform Commercial Code) or other property held therein. SECTION 2.06. Funding of Borrowings. (a) Funding by Lenders. Each Lender shall make each Loan to be made by it hereunder by wire transfer of immediately available funds by (i) 11:00 a.m., New York time, on the date of Borrowing specified in the applicable Borrowing Request for any Loan denominated in Dollars or Canadian Dollars, (ii) 9:00 a.m., New York time, on the date of Borrowing specified in the applicable Borrowing Request for any Loan denominated in Pounds Sterling or Euros, or (iii) 6:00 p.m., New York time, on the date before the date of Borrowing specified in the applicable Borrowing Notice for any Loan denominated in Australian Dollars, to the account of the Administrative Agent most recently designated by it for such purpose by notice to the Lenders; provided that Swingline Loans shall be made as provided in Section 2.04. The Administrative Agent will make such Loans available to the Borrower by promptly crediting the amounts so received, in like funds, to an account of the Borrower designated by the Borrower in the applicable Borrowing Request; provided that Syndicated ABR Borrowings made to finance the reimbursement of an LC Disbursement as provided in Section 2.05(f) shall be remitted by the Administrative Agent to the Issuing Bank. (b) Presumption by the Administrative Agent. Unless the Administrative Agent shall have received notice from a Lender prior to the proposed date of any Borrowing that such Lender will not make available to the Administrative Agent such Lender’s share of such Borrowing, the Administrative Agent may assume that such Lender has made such share available on such date in accordance with paragraph (a) of this Section and may, in reliance upon such assumption, make available to the Borrower a corresponding amount. In such event, if a Lender has not in fact made its share of the applicable Borrowing available to the Administrative Agent, then the applicable Lender and the Borrower severally agree that the Administrative Agent may recover such corresponding amount with interest thereon for each day from and including the date


 
56 #4887-1928-1343v2 such amount is made available to the Borrower to but excluding the date of payment to the Administrative Agent as follows: (a) from such Lender on demand, at the Federal Funds Effective Rate; or (b) if such Lender fails to pay such amount within three Business Days following such Borrowing, then from the Borrower promptly following demand by the Administrative Agent, at the interest rate applicable to ABR Loans. If such Lender pays such amount to the Administrative Agent, then such amount shall constitute such Lender’s Loan included in such Borrowing. Nothing in this paragraph shall relieve any Lender of its obligation to fulfill its commitments hereunder, and this paragraph shall be without prejudice to any claim the Borrower may have against a Lender that shall have failed to make such payment to the Administrative Agent. SECTION 2.07. Interest Elections. (a) Elections by the Borrower for Syndicated Borrowings. Subject to Section 2.03(d), the Loans constituting each Syndicated Borrowing initially shall be of the Type specified in the applicable Borrowing Request and, in the case of a Term Benchmark Borrowing, shall have the Interest Period specified in such Borrowing Request. Thereafter, the Borrower may elect to convert such Borrowing to a Borrowing of a different Type or to continue such Borrowing as a Borrowing of the same Type and, in the case of a Term Benchmark Borrowing, may elect the Interest Period therefor, all as provided in this Section; provided, however, that (i) a Syndicated Borrowing of a Class may only be continued or converted into a Syndicated Borrowing of the same Class, (ii) a Syndicated Borrowing denominated in one Currency may not be continued as, or converted to, a Syndicated Borrowing in a different Currency, (iii) no Term Benchmark Borrowing denominated in a Foreign Currency may be continued if, after giving effect thereto, the aggregate Revolving Multicurrency Credit Exposures would exceed the aggregate Multicurrency Commitments, and (iv) a Term Benchmark Borrowing denominated in a Foreign Currency may not be converted to a Borrowing of a different Type. The Borrower may elect different options with respect to different portions of the affected Borrowing, in which case each such portion shall be allocated ratably among the Lenders of the respective Class holding the Loans constituting such Borrowing, and the Loans constituting each such portion shall be considered a separate Borrowing. This Section shall not apply to Swingline Borrowings, which may not be converted or continued. (b) Notice of Elections. To make an election pursuant to this Section, the Borrower shall notify the Administrative Agent of such election in writing by the time that a Borrowing Request would be required under Section 2.03 if the Borrower were requesting a Syndicated Borrowing of the Type resulting from such election to be made on the effective date of such election. Each such Interest Election Request shall be irrevocable and shall be in a form approved by the Administrative Agent and signed by the Borrower. (c) Content of Interest Election Requests. Each Interest Election Request shall specify the following information in compliance with Section 2.02: (i) the Borrowing (including the Class of Commitment) to which such Interest Election Request applies and, if different options are being elected with respect to different portions thereof, the portions thereof to be allocated to each resulting Borrowing (in which case the information to be specified pursuant to clauses (iii) and (iv) of this paragraph shall be specified for each resulting Borrowing); 57 #4887-1928-1343v2 (ii) the effective date of the election made pursuant to such Interest Election Request, which shall be a Business Day; (iii) whether, in the case of a Borrowing denominated in Dollars, the resulting Borrowing is to be an ABR Borrowing or a Term Benchmark Borrowing; and (iv) if the resulting Borrowing is a Term Benchmark Borrowing, the Interest Period therefor after giving effect to such election, which shall be a period contemplated by the definition of the term “Interest Period” and permitted under Section 2.02(d). (d) Notice by the Administrative Agent to the Lenders. Promptly following receipt of an Interest Election Request, the Administrative Agent shall advise each applicable Lender of the details thereof and of such Lender’s portion of each resulting Borrowing. (e) Failure to Elect; Events of Default. If the Borrower fails to deliver a timely and complete Interest Election Request with respect to a Term Benchmark Borrowing prior to the end of the Interest Period therefor, then, unless such Borrowing is repaid as provided herein, (i) if such Borrowing is denominated in Dollars, at the end of such Interest Period such Borrowing shall be converted to a Syndicated Term Benchmark Borrowing of the same Class having an Interest Period of one month, and (ii) if such Borrowing is denominated in a Foreign Currency, the Borrower shall be deemed to have selected an Interest Period of one month’s duration. Notwithstanding any contrary provision hereof, if an Event of Default has occurred and is continuing and the Administrative Agent, at the request of the Required Lenders, so notifies the Borrower, (i) any Term Benchmark Borrowing denominated in Dollars shall, at the end of the applicable Interest Period for such Term Benchmark Borrowing, be automatically converted to an ABR Borrowing and (ii) any Term Benchmark Borrowing denominated in a Foreign Currency shall not have an Interest Period of more than one month’s duration. SECTION 2.08. Termination, Reduction or Increase of the Commitments. (a) Scheduled Termination. Unless previously terminated, the Commitments of each Lender with respect to such Lender’s Loans shall terminate on the Commitment Termination Date. (b) Voluntary Termination or Reduction. The Borrower may at any time terminate, or from time to time reduce, the Commitments of either Class of Commitment; provided that (i) each reduction of the Commitments of a Class shall be in an amount that is $5,000,000 (or, if less, the entire amount of the Commitments of such Class) or a larger multiple of $1,000,000 in excess thereof and (ii) the Borrower shall not terminate or reduce the Commitments of either Class of Commitment if, after giving effect to any concurrent prepayment of the Syndicated Loans of such Class in accordance with Section 2.10, the total Revolving Credit Exposures of such Class would exceed the total Commitments of such Class. Any such reduction of the Commitments below the principal amount of the Swingline Loans permitted under Section 2.04(a)(i) and the Letters of Credit permitted under Section 2.05(c)(i) shall result in a dollar-for-dollar reduction of such amounts as applicable. (c) Notice of Voluntary Termination or Reduction. The Borrower shall notify the Administrative Agent of any election to terminate or reduce the Commitments under paragraph 58 #4887-1928-1343v2 (b) of this Section at least three Business Days prior to the effective date of such termination or reduction, specifying such election and the effective date thereof. Promptly following receipt of any notice, the Administrative Agent shall advise the applicable Lenders of the contents thereof. Each notice delivered by the Borrower pursuant to this Section shall be irrevocable; provided that a notice of termination of the Commitments of a Class delivered by the Borrower may state that such notice is conditioned upon the effectiveness of other credit facilities or a transaction contemplated by Section 2.10(d), in which case such notice may be revoked by the Borrower (by notice to the Administrative Agent on or prior to the specified effective date) if such condition is not satisfied. (d) Effect of Termination or Reduction. Any termination or reduction of the Commitments of a Class of Commitments pursuant to clause (b) shall be permanent. Each reduction of the Commitments of a Class of Commitments pursuant to clause (b) shall be made ratably among the Lenders of such Class in accordance with their respective Commitments. (e) Increase of the Commitments. (i) Requests for Increase by Borrower. The Borrower may, at any time, request that the Commitments hereunder of a Class of Commitments be increased (each such proposed increase being a “Commitment Increase”), upon notice to the Administrative Agent (who shall promptly notify the Lenders), which notice shall specify each existing Lender (each an “Increasing Lender”) and/or each additional lender (each an “Assuming Lender”) that shall have agreed to an additional Commitment and the date on which such increase is to be effective (the “Commitment Increase Date”), which shall be a Business Day at least three Business Days (or such lesser period as the Administrative Agent may reasonably agree) after delivery of such notice and 30 days prior to the Commitment Termination Date; provided that: (A) the minimum amount of the Commitment of any Assuming Lender, and the minimum amount of the increase of the Commitment of any Increasing Lender, as part of such Commitment Increase shall be $5,000,000 or a larger multiple of $1,000,000 in excess thereof (or such lesser amount as the Administrative Agent may reasonably agree); (B) immediately after giving effect to such Commitment Increase, the total Commitments of all of the Lenders hereunder shall not exceed $275,000,000; (C) each Assuming Lender shall be consented to by the Administrative Agent and the Issuing Bank (such consent not to be unreasonably withheld); (D) no Default shall have occurred and be continuing on such Commitment Increase Date or shall result from the proposed Commitment Increase; and (E) the representations and warranties contained in this Agreement shall be true and correct in all material respects (or, in the case of any portion of the representations and warranties already subject to a materiality qualifier, true and correct in all respects) on and as of the Commitment Increase Date as if made on 59 #4887-1928-1343v2 and as of such date (or, if any such representation or warranty is expressly stated to have been made as of a specific date, as of such specific date). (ii) Effectiveness of Commitment Increase by Borrower. An Assuming Lender, if any, shall become a Lender hereunder as of such Commitment Increase Date and the Commitment of the respective Class of any Increasing Lender and such Assuming Lender shall be increased as of such Commitment Increase Date; provided that: (x) the Administrative Agent shall have received on or prior to 11:00 a.m., New York time, on such Commitment Increase Date (or on or prior to a time on an earlier date specified by the Administrative Agent) a certificate of a duly authorized officer of the Borrower stating that each of the applicable conditions to such Commitment Increase set forth in clauses (D) and (E) of the foregoing paragraph (i) has been satisfied; and (y) each Assuming Lender or Increasing Lender shall have delivered to the Administrative Agent, on or prior to 11:00 a.m., New York time on such Commitment Increase Date (or on or prior to a time on an earlier date specified by the Administrative Agent), an agreement, in form and substance satisfactory to the Borrower and the Administrative Agent, pursuant to which such Lender shall, effective as of such Commitment Increase Date, undertake a Commitment or an increase of Commitment in each case of the respective Class, duly executed by such Assuming Lender or Increasing Lender, as applicable, and the Borrower and acknowledged by the Administrative Agent. Promptly following satisfaction of such conditions, the Administrative Agent shall notify the Lenders of such Class (including any Assuming Lenders) thereof and of the occurrence of the Commitment Increase Date by facsimile transmission or electronic messaging system. (iii) Recordation into Register. Upon its receipt of an agreement referred to in clause (ii)(y) above executed by an Assuming Lender or any Increasing Lender, together with the certificate referred to in clause (ii)(x) above, the Administrative Agent shall, if such agreement has been completed, (x) accept such agreement, (y) record the information contained therein in the Register and (z) give prompt notice thereof to the Borrower. (iv) Adjustments of Borrowings upon Effectiveness of Increase. On the Commitment Increase Date, the Borrower shall (A) prepay the outstanding Loans (if any) of the affected Class of Commitments in full, (B) simultaneously borrow new Loans of such Class hereunder in an amount equal to such prepayment; provided that with respect to subclauses (A) and (B), (x) the prepayment to, and borrowing from, any existing Lender shall be effected by book entry to the extent that any portion of the amount prepaid to such Lender will be subsequently borrowed from such Lender and (y) the existing Lenders, the Increasing Lenders and the Assuming Lenders shall make and receive payments among themselves, in a manner acceptable to the Administrative Agent, so that, after giving effect thereto, the Loans of such Class are held ratably by the Lenders of such Class in accordance with the respective Commitments of such Class of such Lenders (after giving effect to such


 
60 #4887-1928-1343v2 Commitment Increase) and (C) pay to the Lenders of such Class the amounts, if any, payable under Section 2.15 as a result of any such prepayment. Concurrently therewith, the Lenders of such Class shall be deemed to have adjusted their participation interests in any outstanding Letters of Credit of such Class so that such interests are held ratably in accordance with their commitments of such Class as so increased. SECTION 2.09. Repayment of Loans; Evidence of Debt. (a) Repayment. The Borrower hereby unconditionally promises to pay the Loans of each Class of Commitments, as applicable, as follows: (i) to the Administrative Agent for account of the Lenders of such Class the outstanding principal amount of the Syndicated Loans of the Lenders of such Class on the Final Maturity Date; and (ii) to the Swingline Lender the then unpaid principal amount of each Swingline Loan of such Class of Commitment denominated in Dollars, as provided in Section 2.04; provided that on each date that a Syndicated Borrowing of such Class of Commitment is made, the Borrower shall repay all Swingline Loans of such Class of Commitment then outstanding. (b) Manner of Payment. Prior to any repayment or prepayment of any Borrowings to any Lenders of any Class of Commitment hereunder, the Borrower shall select the Borrowing or Borrowings of such Class to be paid and shall notify the Administrative Agent by telephone (confirmed in writing) of such selection not later than the time set forth in Section 2.10(e) prior to the scheduled date of such repayment; provided that each repayment of Borrowings to any Lenders of a Class shall be applied to repay any outstanding ABR Borrowings of such Class before any other Borrowings of such Class. If the Borrower fails to make a timely selection of the Borrowing or Borrowings to be repaid or prepaid, such payment shall be applied, first, to pay any outstanding ABR Borrowings of the applicable Class and, second, to other Borrowings of such Class in the order of the remaining duration of their respective Interest Periods (the Borrowing with the shortest remaining Interest Period to be repaid first). Each payment of a Syndicated Borrowing to Lenders of a Class of Commitments shall be applied ratably to the Loans included in such Borrowing. (c) Maintenance of Records by Lenders. Each Lender shall maintain in accordance with its usual practice records evidencing the indebtedness of the Borrower to such Lender resulting from each Loan made by such Lender, including the amounts and Currency of principal and interest payable and paid to such Lender from time to time hereunder. (d) Maintenance of Records by the Administrative Agent. The Administrative Agent shall maintain records in which it shall record (i) the amount and Currency of each Loan made hereunder, the Class and Type thereof and each Interest Period therefor, (ii) the amount and Currency of any principal or interest due and payable or to become due and payable from the Borrower to each Lender of such Class of Commitment hereunder and (iii) the amount and Currency of any sum received by the Administrative Agent hereunder for account of the Lenders and each Lender’s share thereof. 61 #4887-1928-1343v2 (e) Effect of Entries. The entries made in the records maintained pursuant to paragraph (c) or (d) of this Section shall be prima facie evidence, absent obvious error, of the existence and amounts of the obligations recorded therein; provided that the failure of any Lender or the Administrative Agent to maintain such records or any error therein shall not in any manner affect the obligation of the Borrower to repay the Loans in accordance with the terms of this Agreement. (f) Promissory Notes. Any Lender may request that Loans of any Class made by it be evidenced by a promissory note; in such event, the Borrower shall prepare, execute and deliver to such Lender a promissory note payable to such Lender (or, if requested by such Lender, to such Lender and its registered permitted assigns) and in a form approved by the Administrative Agent. Thereafter, the Loans evidenced by such promissory note and interest thereon shall at all times (including after assignment pursuant to Section 9.04) be represented by one or more promissory notes in such form payable to the payee named therein (or, if such promissory note is a registered note, to such payee and its registered, permitted assigns). SECTION 2.10. Prepayment of Loans. (a) Optional Prepayments. The Borrower shall have the right at any time and from time to time to prepay any Borrowing in whole or in part, without premium or penalty except for payments under Section 2.15, subject to the requirements of this Section. Any prepayment of a Borrowing made in accordance with this clause (a) shall be applied ratably among the Lenders of a Class of Commitment unless such prepayment is made in connection with the reduction of Commitments in accordance with Section 2.08(b) in which case such prepayment shall be applied in accordance with Section 2.08(d), as applicable. (b) Mandatory Prepayments due to Changes in Exchange Rates. (i) Determination of Amount Outstanding. On each Quarterly Date and, in addition, promptly upon the receipt by the Administrative Agent of a Currency Valuation Notice (as defined below), the Administrative Agent shall determine the aggregate Revolving Multicurrency Credit Exposure. For the purpose of this determination, the outstanding principal amount of any Loan or Letter Credit that is denominated in any Foreign Currency shall be deemed to be the Dollar Equivalent of the amount in the Foreign Currency of such Loan or Letter of Credit, determined as of such Quarterly Date or, in the case of a Currency Valuation Notice received by the Administrative Agent prior to 11:00 a.m., New York time, on a Business Day, on such Business Day or, in the case of a Currency Valuation Notice otherwise received, on the first Business Day after such Currency Valuation Notice is received. Upon making such determination, the Administrative Agent shall promptly notify the Multicurrency Lenders, the Issuing Bank and the Borrower thereof. (ii) Prepayment. If on the date of such determination the aggregate Revolving Multicurrency Credit Exposure minus the Multicurrency LC Exposure fully Cash Collateralized on such date exceeds 105% of the aggregate amount of the Multicurrency Commitments as then in effect, the Borrower shall, if requested by the Required Multicurrency Lenders (through the Administrative Agent), prepay the Syndicated 62 #4887-1928-1343v2 Multicurrency Loans and Swingline Multicurrency Loans (and/or provide Cash Collateral for Multicurrency LC Exposure as specified in Section 2.05(k)) within 15 Business Days following the Borrower’s receipt of such request in such amounts as shall be necessary so that after giving effect thereto the aggregate Revolving Multicurrency Credit Exposure does not exceed the Multicurrency Commitments. For purposes hereof “Currency Valuation Notice” means a notice given by the Required Multicurrency Lenders or the Issuing Bank to the Administrative Agent stating that such notice is a “Currency Valuation Notice” and requesting that the Administrative Agent determine the aggregate Revolving Multicurrency Credit Exposure. The Administrative Agent shall not be required to make more than one valuation determination pursuant to Currency Valuation Notices within any rolling three month period. Any prepayment pursuant to this paragraph shall be applied, first to Swingline Multicurrency Loans outstanding, second, to Syndicated Multicurrency Loans outstanding and third, as cover for Multicurrency LC Exposure. (c) Mandatory Prepayments due to Borrowing Base Deficiency. In the event that at any time any Borrowing Base Deficiency shall exist, the Borrower shall, within five Business Days after delivery of the applicable Borrowing Base Certificate, prepay the Loans (or provide Cash Collateral for Letters of Credit as contemplated by Section 2.05(k)) or reduce Other Covered Indebtedness in such amounts as shall be necessary so that such Borrowing Base Deficiency is cured; provided that (i) the aggregate amount of such prepayment of Loans (and Cash Collateral for Letters of Credit) shall be at least equal to the Revolving Percentage times the aggregate prepayment of the Covered Debt Amount, and (ii) if, within five Business Days after delivery of a Borrowing Base Certificate demonstrating such Borrowing Base Deficiency, the Borrower shall present the Lenders with a reasonably feasible plan acceptable to the Required Lenders in their sole discretion to enable such Borrowing Base Deficiency to be cured within 30 Business Days (which 30-Business Day period shall include the five Business Days permitted for delivery of such plan), then such prepayment or reduction shall not be required to be effected immediately but may be effected in accordance with such plan (with such modifications as the Borrower may reasonably determine), so long as such Borrowing Base Deficiency is cured within such 30-Business Day period. (d) Mandatory Prepayments During Amortization Period. During the period commencing on the date immediately following the Commitment Termination Date with respect to any Loans of any Lender or Lenders and ending on the Final Maturity Date with respect to the Loans of such Lender or Lenders: (i) Asset Disposition. If the Borrower or any of its Subsidiaries (other than a Financing Subsidiary) Disposes of any property which results in the receipt by such Person of Net Cash Proceeds in excess of $5,000,000 in the aggregate since the applicable Commitment Termination Date, the Borrower shall prepay an aggregate principal amount of such Loans owed to such Lender or Lenders equal to 100% of such Net Cash Proceeds no later than the fifth Business Day following the receipt of such Net Cash Proceeds (such prepayments to be applied as set forth in Section 2.09(b)); 63 #4887-1928-1343v2 (ii) Equity Issuance. Upon the sale or issuance by the Borrower or any of its Subsidiaries (other than a Financing Subsidiary) of any of its Equity Interests (other than any sales or issuances of Equity Interests to the Borrower or any Subsidiary Guarantor), the Borrower shall prepay an aggregate principal amount of such Loans owed to such Lender or Lenders equal to 75% of all Net Cash Proceeds received therefrom no later than the fifth Business Day following the receipt of such Net Cash Proceeds (such prepayments to be applied as set forth in Section 2.09(b)); (iii) Indebtedness. Upon the incurrence or issuance by the Borrower or any of its Subsidiaries (other than a Financing Subsidiary) of any Indebtedness (other than the making of any Loans or issuance of any Letters of Credit hereunder), the Borrower shall prepay an aggregate principal amount of such Loans owed to such Lender or Lenders equal to 100% of all Net Cash Proceeds received therefrom no later than the fifth Business Day following the receipt of such Net Cash Proceeds (such prepayments to be applied as set forth in Section 2.09(b)); (iv) Extraordinary Receipt. Upon any Extraordinary Receipt (which, when taken with all other Extraordinary Receipts received after the applicable Commitment Termination Date, exceeds $5,000,000 in the aggregate) received by or paid to or for the account of the Borrower or any of its Subsidiaries (other than a Financing Subsidiary), and not otherwise included in clauses (i), (ii) or (iii) of this Section 2.10(d), the Borrower shall prepay an aggregate principal amount of such Loans owed to such Lender or Lenders equal to 100% of all Net Cash Proceeds received therefrom no later than the fifth Business Day following the receipt of such Net Cash Proceeds (such prepayments to be applied as set forth in Section 2.09(b)); and (v) Return of Capital. If any Obligor shall receive any Return of Capital, the Borrower shall prepay an aggregate principal amount of such Loans owed to such Lender or Lenders equal to 90% of such Return of Capital (excluding amounts payable by the Borrower pursuant to Section 2.15) no later than the fifth Business Day following the receipt of such Return of Capital (such prepayments to be applied as set forth in Section 2.09(b)); provided, that if the Loans to be prepaid pursuant to clauses (i) through (v) above are Term Benchmark Loans, the Borrower may defer such prepayment until the last day of the Interest Period applicable to such Loans owed to such Lender or Lenders, so long as the Borrower deposits an amount equal to such Net Cash Proceeds, no later than the fifth Business Day following the receipt of such Net Cash Proceeds, into a segregated collateral account in the name and under the dominion and control of the Administrative Agent, pending application of such amount to the prepayment of the Loans on the last day of such Interest Period; and provided further, that the Administrative Agent may direct the application of such deposits as set forth in Section 2.09(b) at any time and if the Administrative Agent does so, no amounts will be payable by the Borrower pursuant to Section 2.15. Notwithstanding the foregoing, Net Cash Proceeds required to be applied to the prepayment of the Loans pursuant to this Section 2.10(d) shall (A) from the Commitment Termination Date to the Final Maturity Date, be applied in accordance with the Guarantee and


 
64 #4887-1928-1343v2 Security Agreement and (B) exclude the amount necessary for the Borrower to make all required distributions (which shall be no less than the amount estimated in good faith by Borrower under Section 6.05(b) herein) to maintain the status of a RIC under the Code and a “business development company” under the Investment Company Act for so long as the Borrower retains such status. (e) Notices, Etc. The Borrower shall notify the Administrative Agent (and, in the case of prepayment of a Swingline Loan, the Swingline Lender) by telephone (confirmed in writing) of any prepayment hereunder (i) in the case of prepayment of a Term Benchmark Borrowing denominated in Dollars (other than in the case of a prepayment pursuant to Section 2.10(d)), not later than 11:00 a.m., New York time, three Business Days before the date of prepayment, (ii) in the case of prepayment of a Term Benchmark Borrowing denominated in a Foreign Currency (other than in the case of a prepayment pursuant to Section 2.10(d)), not later than 11:00 a.m., London time, four Business Days before the date of prepayment, (iii) in the case of prepayment of a Syndicated ABR Borrowing (other than in the case of a prepayment pursuant to Section 2.10(d)), not later than 11:00 a.m., New York time, one Business Day before the date of prepayment, (iv) in the case of prepayment of a Swingline Loan, not later than 11:00 a.m., New York time, on the date of prepayment, or (v) in the case of any prepayment pursuant to Section 2.10(d), not later than 11:00 a.m., New York time, one Business Day before the date of prepayment. Each such notice shall be irrevocable and shall specify the prepayment date, the principal amount of each Borrowing or portion thereof to be prepaid and, in the case of a mandatory prepayment, a reasonably detailed calculation of the amount of such prepayment; provided that, if (i) a notice of prepayment is given in connection with a conditional notice of termination of the Commitments of a Class as contemplated by Section 2.08, then such notice of prepayment may be revoked if such notice of termination is revoked in accordance with Section 2.08 and (ii) any notice given in connection with Section 2.10(d) may be conditioned on the consummation of the applicable transaction contemplated by such Section and the receipt by the Borrower or any such Subsidiary (other than a Financing Subsidiary) of Net Cash Proceeds. Promptly following receipt of any such notice relating to a Syndicated Borrowing, the Administrative Agent shall advise the affected Lenders of the contents thereof. Each partial prepayment of any Borrowing shall be in an amount that would be permitted in the case of a Borrowing of the same Type as provided in Section 2.02 or in the case of a Swingline Loan, as provided in Section 2.04, except as necessary to apply fully the required amount of a mandatory prepayment. Each prepayment of a Syndicated Borrowing of a Class of Commitments shall be applied ratably to the Loans held by the Lenders of such Class included in the prepaid Borrowing; provided Prepayments shall be accompanied by accrued interest to the extent required by Section 2.12 and shall be made in the manner specified in Section 2.09(b) unless such prepayment is made in connection with the reduction of Commitments in accordance with Section 2.08(b) in which case such prepayment shall be applied in accordance with Section 2.08(d), as applicable. SECTION 2.11. Fees. (a) Commitment Fee. The Borrower agrees to pay to the Administrative Agent for account of each Lender a commitment fee, which shall accrue at a rate per annum equal to 0.375% on the average daily unused amount of the Dollar Commitment and Multicurrency Commitment, as applicable, of such Lender during the period from and including the date hereof to but excluding the earlier of the date such commitment terminates and the Commitment Termination Date. Accrued commitment fees shall be payable within one Business Day after each 65 #4887-1928-1343v2 Quarterly Date and on the earlier of the date the Commitments of the respective Class terminate and the Commitment Termination Date, commencing on the first such date to occur after the date hereof. All commitment fees shall be computed on the basis of a year of 360 days and shall be payable for the actual number of days elapsed (including the first day but excluding the last day). For purposes of computing commitment fees, the Commitment of any Class of a Lender shall be deemed to be used to the extent of the outstanding Syndicated Loans and LC Exposure of such Class of such Lender (and the Swingline Exposure of such Class of such Lender shall be disregarded for such purpose). (b) Letter of Credit Fees. The Borrower agrees to pay (i) to the Administrative Agent for account of each Lender a participation fee with respect to its participations in Letters of Credit of each Class of Commitments, which shall accrue at a rate per annum equal to the Applicable Margin applicable to interest on Term Benchmark Loans on the average daily amount of such Lender’s LC Exposure of such Class (excluding any portion thereof attributable to unreimbursed LC Disbursements) during the period from and including the Restatement Effective Date to but excluding the later of the date on which such Lender’s Commitment of such Class terminates and the date on which such Lender ceases to have any LC Exposure of such Class, and (ii) to the Issuing Bank a fronting fee, which shall accrue at the rate of 0.25% per annum on the average daily amount of the LC Exposure (excluding any portion thereof attributable to unreimbursed LC Disbursements) during the period from and including the Restatement Effective Date to but excluding the later of the date of termination of the Commitments and the date on which there ceases to be any LC Exposure, as well as the Issuing Bank’s standard fees with respect to the issuance, or amendment of any Letter of Credit or processing of drawings thereunder. Participation fees and fronting fees accrued through and including each Quarterly Date shall be payable on the first Business Day following such Quarterly Date, commencing on the first such date to occur after the Restatement Effective Date; provided that all such fees with respect to the Letters of Credit shall be payable (i) with respect to the Issuing Bank, within five (5) Business Days of demand by the Issuing Bank and in all cases automatically on the Termination Date and (ii) with respect to any Lender, on the Termination Date and the Borrower shall pay any such fees that have accrued and that are unpaid on such date and, in the event any Letters of Credit shall be outstanding that have expiration dates after the Termination Date, the Borrower shall prepay on the Termination Date the full amount of the participation and fronting fees that will accrue on such Letters of Credit subsequent to the Termination Date through but not including the date such outstanding Letters of Credit are scheduled to expire (and, in that connection, the Lenders agree not later than the date two Business Days after the date upon which the last such Letter of Credit shall expire or be terminated to rebate to the Borrower the excess, if any, of the aggregate participation and fronting fees that have been prepaid by the Borrower over the sum of the amount of such fees that ultimately accrue through the date of such expiration or termination and the aggregate amount of all other unpaid obligations hereunder at such time). Any other fees payable to the Issuing Bank pursuant to this paragraph shall be payable within 10 days after demand. All participation fees and fronting fees shall be computed on the basis of a year of 360 days and shall be payable for the actual number of days elapsed (including the first day but excluding the last day). (c) Administrative Agent Fees. The Borrower agrees to pay to the Administrative Agent, for its own account, fees payable in the amounts and at the times separately agreed upon between the Borrower and the Administrative Agent. 66 #4887-1928-1343v2 (d) Restatement Effective Date Extension Fees. The Borrower agrees to pay to the Administrative Agent, for the account of each Existing Lender that has agreed to become a Lender hereunder, an extension fee in an amount equal to 0.25% of such Lender’s Commitment as of the Restatement Effective Date, with such fees payable on the Restatement Effective Date. (e) Payment of Fees. All fees payable hereunder shall be paid on the dates due, in Dollars (or, at the election of the Borrower with respect to any fees payable to the Issuing Bank on account of Letters of Credit issued in any Foreign Currency, in such Foreign Currency) and immediately available funds, to the Administrative Agent (or to the Issuing Bank, in the case of fees payable to it) for distribution, in the case of commitment fees and participation fees, to the Lenders entitled thereto. Fees paid shall not be refundable under any circumstances absent obvious error. SECTION 2.12. Interest. (a) ABR Loans. The Loans constituting each ABR Borrowing (including each Swingline Loan) shall bear interest at a rate per annum equal to the Alternate Base Rate plus the Applicable Margin. (b) Term Benchmark Loans and RFR Loans. (i) The Loans comprising each Term Benchmark Borrowing shall bear interest at the applicable Term Benchmark for the Interest Period in effect for such Borrowing plus the Applicable Margin and (ii) the Loans comprising each RFR Borrowing shall bear interest at a rate per annum equal to the applicable Adjusted Daily Simple RFR plus the Applicable Margin. (c) Default Interest. Notwithstanding the foregoing, if any Event of Default has occurred and is continuing and the Required Lenders have elected to increase pricing, the interest rates applicable to Loans and any fee or other amount payable by the Borrower hereunder shall bear interest, after as well as before judgment, at a rate per annum equal to (i) in the case of principal of any Loan, 2% plus the rate otherwise applicable to such Loan as provided above, (ii) in the case of any Letter of Credit, 2% plus the fee otherwise applicable to such Letter of Credit as provided in Section 2.11(b)(i), or (iii) in the case of any fee or other amount, 2% plus the rate applicable to ABR Loans as provided in paragraph (a) of this Section. (d) Payment of Interest. Accrued interest on each Loan shall be payable in arrears on each Interest Payment Date for such Loan in the Currency in which such Loan is denominated and, in the case of Syndicated Loans, with respect to any Lender, upon the Termination Date; provided that (i) interest accrued pursuant to paragraph (c) of this Section shall be payable on demand, (ii) in the event of any repayment or prepayment of any Loan (other than a prepayment of a Syndicated ABR Loan prior to the Final Maturity Date), accrued interest on the principal amount repaid or prepaid shall be payable on the date of such repayment or prepayment and (iii) in the event of any conversion of any Term Benchmark Borrowing denominated in Dollars prior to the end of the Interest Period therefor, accrued interest on such Borrowing shall be payable on the effective date of such conversion. (e) Computation. All interest hereunder shall be computed on the basis of a year of 360 days, except that interest computed (i) by reference to the Alternate Base Rate at times 67 #4887-1928-1343v2 when the Alternate Base Rate is based on the Prime Rate and (ii) on Multicurrency Loans denominated in Pounds Sterling or Canadian Dollars shall be computed on the basis of a year of 365 days (or 366 days in a leap year), and in each case shall be payable for the actual number of days elapsed (including the first day but excluding the last day). The applicable Alternate Base Rate or Relevant Rate shall be determined by the Administrative Agent and such determination shall be conclusive absent manifest error.2 SECTION 2.13. Alternate Rate of Interest. (a) Subject to clauses (b), (c), (d), (e), (f) and (g) of this Section 2.13, if prior to the commencement of any Interest Period for a Term Benchmark Borrowing or an RFR Borrowing of a Class (the Currency of such Borrowing herein called the “Affected Currency”): (i) the Administrative Agent determines (which determination shall be conclusive and binding absent manifest error) that adequate and reasonable means do not exist for ascertaining the Adjusted Term SOFR Rate, the applicable Local Rate or the EURIBOR or the Relevant Screen Rate, as applicable, for a Loan in the Affected Currency or for the applicable Interest Period, provided that no Benchmark Transition Event shall have occurred at such time; or (ii) the Administrative Agent is advised by the Required Lenders of such Class or, in the case of a Pro-Rata Borrowing, the Required Lenders, that Adjusted Term SOFR Rate, the applicable Local Rate or the EURIBOR or the Relevant Screen Rate, as applicable, for a Loan in the applicable currency or for the applicable Interest Period will not adequately and fairly reflect the cost to such Lenders of making or maintaining their Loans included in such Borrowing for such Interest Period; then the Administrative Agent shall give notice thereof to the Borrower and the affected Lenders by telephone, telecopy or electronic mail as promptly as practicable thereafter and, until the Administrative Agent notifies the Borrower and the Lenders that the circumstances giving rise to such notice no longer exist, (A) any Interest Election Request that requests the conversion of any Borrowing to, or continuation of any Borrowing as, a Term Benchmark Borrowing or RFR Borrowing in an Affected Currency shall be ineffective, (B) if any Borrowing Request requests a Term Benchmark Borrowing in Dollars, such Borrowing shall be made as an ABR Borrowing and (C) if any Borrowing Request requests a Term Benchmark Borrowing or RFR Borrowing in any Agreed Foreign Currency, then such request shall be ineffective; provided, that (x) if the circumstances giving rise to such notice affect only one Type of Borrowings, then all other Types of Borrowings shall be permitted. Furthermore, if any Term Benchmark Loan or RFR Loan in any Currency is outstanding on the date of the Borrower’s receipt of the notice from the Administrative Agent referred to in this Section 2.13(a) with respect to a Relevant Rate applicable to such Term Benchmark Loan or RFR Loan, as applicable, then until the Administrative Agent notifies the Borrower and the Lenders that the circumstances giving rise to such notice no longer exist, (i) if such Term Benchmark Loan is denominated in Dollars, then on the last day of the Interest Period applicable to such Loan, such Loan shall be converted by the Administrative Agent to, and shall constitute, an ABR Loan denominated in Dollars on such day and (ii) if such Term 2 Note to GS: Please confirm the 365 basis.


 
68 #4887-1928-1343v2 Benchmark Loan or RFR Loan is denominated in any Currency other than Dollars, then such Loan shall, on the last day of the Interest Period applicable to such Loan, be prepaid by the Borrower on such day. (b) Notwithstanding anything to the contrary herein or in any other Loan Document (and any Hedging Agreement shall be deemed not to be a “Loan Document” for purposes of this Section 2.13), if a Benchmark Transition Event and its related Benchmark Replacement Date have occurred prior to the Reference Time in respect of any setting of the then- current Benchmark, then (x) if a Benchmark Replacement is determined in accordance with any of clauses (1) through (4) of the definition of “Benchmark Replacement” for such Benchmark Replacement Date, such Benchmark Replacement will replace such Benchmark for all purposes hereunder and under any Loan Document in respect of such Benchmark setting and subsequent Benchmark settings without any amendment to, or further action or consent of any other party to, this Agreement or any other Loan Document and (y) if a Benchmark Replacement is determined in accordance with clause (5) of the definition of “Benchmark Replacement” for such Benchmark Replacement Date, such Benchmark Replacement will replace such Benchmark for all purposes hereunder and under any Loan Document in respect of any Benchmark setting on the fifth (5th) Business Day after the date notice of such Benchmark Replacement is provided to the Lenders without any amendment to, or further action or consent of any other party to, this Agreement or any other Loan Document so long as the Administrative Agent has not received, by such time, written notice of objection to such Benchmark Replacement from Lenders comprising the Required Lenders of each affected Class. (c) Notwithstanding anything to the contrary herein or in any other Loan Document and subject to the proviso below in this paragraph, with respect to a Loan denominated in Euros, if a Term ESTR Transition Event and its related Benchmark Replacement Date, as applicable, have occurred prior to the Reference Time in respect of any setting of the then-current Benchmark, then the applicable Benchmark Replacement will replace the then-current Benchmark for all purposes hereunder or under any Loan Document in respect of such Benchmark setting and subsequent Benchmark settings, without any amendment to, or further action or consent of any other party to, this Agreement or any other Loan Document; provided that, this clause (c) shall not be effective unless the Administrative Agent has delivered to the Lenders and the Borrower a Term ESTR Notice. For the avoidance of doubt, the Administrative Agent shall not be required to deliver any Term ESTR Notice after the occurrence of a Term ESTR Transition Event, and may do so in its sole discretion. (d) In connection with the implementation and administration of a Benchmark Replacement or Term SOFR, the Administrative Agent will have the right to make Conforming Changes from time to time and, notwithstanding anything to the contrary herein or in any other Loan Document, any amendments implementing such Conforming Changes will become effective without any further action or consent of any other party to this Agreement. (e) The Administrative Agent will promptly notify the Borrower and the Lenders of (i) the implementation of any Benchmark Replacement, (ii) the effectiveness of any Conforming Changes, (iii) the commencement of a Benchmark Transition Event and (iv) the commencement of a Benchmark Unavailability Period. Any determination, decision or election that may be made by the Administrative Agent or, if applicable, any Lender (or group of Lenders) 69 #4887-1928-1343v2 pursuant to this Section 2.13, including any determination with respect to a tenor, rate or adjustment or of the occurrence or non-occurrence of an event, circumstance or date and any decision to take or refrain from taking any action, will be conclusive and binding absent manifest error and may be made in its or their sole discretion and without consent from any other party hereto, except, in each case, as expressly required pursuant to this Section 2.13. (f) At any time (including in connection with the implementation of a Benchmark Replacement), (i) if the then-current Benchmark is a term rate (including Term SOFR or Term ESTR), then the Administrative Agent may remove any tenor of such Benchmark that is unavailable or non-representative for Benchmark (including Benchmark Replacement) settings and (ii) the Administrative Agent may reinstate any such previously removed tenor for Benchmark (including Benchmark Replacement) settings. (g) Upon the Borrower’s receipt of notice of the commencement of a Benchmark Unavailability Period, the Borrower may revoke any request for a Term Benchmark Borrowing or RFR Borrowing of, conversion to or continuation of Term Benchmark Loans or RFR Loans, as applicable, in an Affected Currency to be made, converted or continued during any Benchmark Unavailability Period and, failing that, (x) the Borrower will be deemed to have converted any request for a Term Benchmark Borrowing denominated in Dollars into a request for a Borrowing of or conversion to ABR Loans or (y) any Term Benchmark Borrowing or RFR Borrowing denominated in a Foreign Currency shall be ineffective. During any Benchmark Unavailability Period or at any time that a tenor for the then-current Benchmark is not an Available Tenor, the component of ABR based upon the then-current Benchmark or such tenor for such Benchmark, as applicable, will not be used in any determination of ABR. Furthermore, if any Term Benchmark Loan or RFR Loan in any Currency is outstanding on the date of the Borrower’s receipt of notice of the commencement of a Benchmark Unavailability Period with respect to a Relevant Rate applicable to such Term Benchmark Loan or RFR Loan, then until such time as a Benchmark Replacement for such Currency is implemented pursuant to this Section 2.13, (i) if such Term Benchmark Loan is denominated in Dollars, then on the last day of the Interest Period applicable to such Loan, such Loan shall be converted by the Administrative Agent to, and shall constitute, an ABR Loan denominated in Dollars on such day or (ii) if such Term Benchmark Loan or RFR Loan is denominated in any Currency other than Dollars, then such Loan shall, on the last day of the Interest Period applicable to such Loan, at the Borrower’s election prior to such day be prepaid by the Borrower on such day. SECTION 2.14. Increased Costs. (a) Increased Costs Generally. If any Change in Law shall: (i) impose, modify or deem applicable any reserve (including pursuant to regulations issued from time to time by the Federal Reserve Board for determining the maximum reserve requirement (including any emergency, special, supplemental or other marginal reserve requirement) with respect to eurocurrency funding (currently referred to as “Eurocurrency liabilities” in Regulation D)), compulsory loan, insurance charge, special deposit or similar requirement against assets of, deposits with or for account of, or credit extended by, any Lender (except any such reserve requirement reflected in EURIBOR) or any Issuing Bank; or 70 #4887-1928-1343v2 (ii) impose on any Lender or the Issuing Bank or the London interbank market any other condition, cost or expense (other than Taxes) affecting this Agreement or Loans made by such Lender or any Letter of Credit or participation therein; and the result of any of the foregoing shall be to increase the cost to such Lenders of making, converting to, continuing or maintaining any Loan (or of maintaining its obligation to make any such Loan) or to increase the cost to such Lender or the Issuing Bank of participating in, issuing or maintaining any Letter of Credit or to reduce the amount of any sum received or receivable by such Lender or the Issuing Bank hereunder (whether of principal, interest or otherwise), in each case by an amount deemed by such Lender to be material, then the Borrower will pay to such Lender or the Issuing Bank, as the case may be, in Dollars, such additional amount or amounts as will compensate such Lender or the Issuing Bank, as the case may be, for such additional costs incurred or reduction suffered. (b) Capital Requirements. If any Lender or the Issuing Bank determines that any Change in Law regarding capital or liquidity requirements has or would have the effect of reducing the rate of return on such Lender’s or the Issuing Bank’s capital or on the capital of such Lender’s or the Issuing Bank’s holding company, if any, as a consequence of this Agreement or the Loans made by, or participations in Swingline Loans and Letters of Credit held by, such Lender, or the Letters of Credit issued by the Issuing Bank, to a level below that which such Lender or the Issuing Bank or such Lender’s or the Issuing Bank’s holding company could have achieved but for such Change in Law (taking into consideration such Lender’s or the Issuing Bank’s policies and the policies of such Lender’s or the Issuing Bank’s holding company with respect to capital adequacy), by an amount deemed to be material by such Lender or Issuing Bank, then from time to time the Borrower will pay to such Lender or the Issuing Bank, as the case may be, in Dollars, such additional amount or amounts as will compensate such Lender or the Issuing Bank or such Lender’s or the Issuing Bank’s holding company for any such reduction suffered. (c) Certificates from Lenders. A certificate of a Lender or the Issuing Bank setting forth the amount or amounts, in Dollars, necessary to compensate such Lender or the Issuing Bank or its holding company, as the case may be, as specified in paragraph (a) or (b) of this Section shall be promptly delivered to the Borrower and shall be conclusive absent manifest error. The Borrower shall pay such Lender or the Issuing Bank, as the case may be, the amount shown as due on any such certificate within 10 Business Days after receipt thereof. (d) Delay in Requests. Failure or delay on the part of any Lender or the Issuing Bank to demand compensation pursuant to this Section shall not constitute a waiver of such Lender’s or the Issuing Bank’s right to demand such compensation; provided that the Borrower shall not be required to compensate a Lender or the Issuing Bank pursuant to this Section for any increased costs or reductions incurred more than six months prior to the date that such Lender or the Issuing Bank, as the case may be, notifies the Borrower of the Change in Law giving rise to such increased costs or reductions and of such Lender’s or the Issuing Bank’s intention to claim compensation therefor; provided, further, that, if the Change in Law giving rise to such increased costs or reductions is retroactive, then the six-month period referred to above shall be extended to include the period of retroactive effect thereof. 71 #4887-1928-1343v2 SECTION 2.15. Break Funding Payments. In the event of (a) the payment of any principal of any Term Benchmark Loan other than on the last day of an Interest Period therefor (including as a result of the occurrence of any Commitment Increase Date or an Event of Default), (b) the conversion of any Term Benchmark Loan other than on the last day of an Interest Period therefor, (c) the failure to borrow, convert, continue or prepay any Syndicated Loan on the date specified in any notice delivered pursuant hereto (including, in connection with any Commitment Increase Date, and regardless of whether such notice is permitted to be revocable under Section 2.10(e) and is revoked in accordance herewith), or (d) the assignment as a result of a request by the Borrower pursuant to Section 2.18(b) of any Term Benchmark Loan other than on the last day of an Interest Period therefor, then, in any such event, the Borrower shall compensate each Lender for the loss (other than loss of profit or spread), cost and reasonable expense attributable to such event. Payment under this Section shall be made upon request of a Lender delivered not later than five Business Days following the payment, conversion, or failure to borrow, convert, continue or prepay that gives rise to a claim under this Section accompanied by a certificate of such Lender setting forth the amount or amounts that such Lender is entitled to receive pursuant to this Section, which certificate shall be conclusive absent manifest error. The Borrower shall pay such Lender the amount shown as due on any such certificate within 10 Business Days after receipt thereof. SECTION 2.16. Taxes. (a) Payments Free of Taxes. Any and all payments by or on account of any obligation of the Borrower hereunder or under any other Loan Document shall be made free and clear of and without deduction for any Taxes, except as required by applicable law; provided that if the Borrower shall be required to deduct any Taxes from such payments, then (i) if such Taxes are Indemnified Taxes, the sum payable shall be increased as necessary so that after making all required deductions (including deductions applicable to additional sums payable under this Section) the Administrative Agent, Lender or Issuing Bank (as the case may be) receives an amount equal to the sum it would have received had no such deductions been made, (ii) the Borrower shall make such deductions and (iii) the Borrower shall pay the full amount deducted to the relevant Governmental Authority in accordance with applicable law. (b) Payment of Other Taxes by the Borrower. In addition, the Borrower shall pay any Other Taxes to the relevant Governmental Authority in accordance with applicable law. (c) Indemnification by the Borrower. The Borrower shall indemnify the Administrative Agent, each Lender and the Issuing Bank for and, within 10 Business Days after written demand therefor, pay the full amount of any Indemnified Taxes or Other Taxes (including Indemnified Taxes or Other Taxes imposed or asserted on or attributable to amounts payable under this Section) paid by the Administrative Agent, such Lender or the Issuing Bank, as the case may be, and any penalties, interest and reasonable expenses arising therefrom or with respect thereto, whether or not such Indemnified Taxes or Other Taxes were correctly or legally imposed or asserted by the relevant Governmental Authority, except to the extent that any such Indemnified Taxes or Other Taxes arise as the result of the fraud, gross negligence or willful misconduct of the Administrative Agent, such Lender or the Issuing Bank. A certificate as to the amount of such payment or liability delivered to the Borrower by a Lender or the Issuing Bank, or by the


 
72 #4887-1928-1343v2 Administrative Agent on its own behalf or on behalf of a Lender or the Issuing Bank, shall be conclusive absent manifest error. (d) Indemnification by the Lenders. Each Lender shall severally indemnify the Administrative Agent, within 10 Business Days after written demand therefor, for (i) any Indemnified Taxes or Other Taxes attributable to such Lender (but only to the extent that the Borrower has not already indemnified the Administrative Agent for such Indemnified Taxes and without limiting the obligation of the Borrower to do so), (ii) any Taxes attributable to such Lender’s failure to comply with the provisions of Section 9.04(f) relating to the maintenance of a Participant Register, and (iii) any Excluded Taxes attributable to such Lender, in each case, that are payable or paid by the Administrative Agent in connection with any Loan Document, and any reasonable expenses arising therefrom or with respect thereto, whether or not such Taxes were correctly or legally imposed or asserted by the relevant Governmental Authority. A certificate as to the amount of such payment or liability delivered to any Lender by the Administrative Agent shall be conclusive absent manifest error. Each Lender hereby authorizes the Administrative Agent to set off and apply any and all amounts at any time owing to such Lender under any Loan Document or otherwise payable by the Administrative Agent to the Lender from any other source against any amount due to the Administrative Agent under this paragraph (d). (e) Evidence of Payments. As soon as practicable after any payment of Indemnified Taxes or Other Taxes by the Borrower to a Governmental Authority, the Borrower shall deliver to the Administrative Agent the original or a certified copy of a receipt issued by such Governmental Authority evidencing such payment, a copy of the return reporting such payment or other evidence of such payment reasonably satisfactory to the Administrative Agent. (f) Tax Documentation. (i) Any Lender that is entitled to an exemption from or reduction of withholding tax under the law of the jurisdiction in which the Borrower is located, or any treaty to which such jurisdiction is a party, with respect to payments under this Agreement shall deliver to the Borrower (with a copy to the Administrative Agent), at the time or times prescribed by applicable law or reasonably requested by the Borrower, such properly completed and executed documentation prescribed by applicable law as will permit such payments to be made without withholding or at a reduced rate. In addition, any Lender, if requested by the Borrower or the Administrative Agent, shall deliver such other documentation prescribed by applicable law or reasonably requested by the Borrower or the Administrative Agent as will enable the Borrower or the Administrative Agent to determine whether or not such Lender is subject to backup withholding or information reporting requirements. Notwithstanding anything to the contrary in the preceding two sentences, the completion, execution and submission of such documentation (other than such documentation set forth in Section 2.16(f)(ii) below) shall not be required if in the Lender’s reasonable judgment such completion, execution or submission would subject such Lender to any material unreimbursed cost or expense or would materially prejudice the legal or commercial position of such Lender. (ii) Without limiting the generality of the foregoing: (A) any Lender that is a “United States person” (as defined under Section 7701(a)(30) of the Code) shall deliver to the Borrower and the Administrative Agent (and such additional copies as shall be reasonably requested 73 #4887-1928-1343v2 by the recipient) on or prior to the date on which such Lender become a Lender under this Agreement (and from time to time thereafter upon the reasonable request of the Borrower or the Administrative Agent), duly completed and executed copies of Internal Revenue Service Form W-9 or any successor form certifying that such Lender is exempt from U.S. federal backup withholding tax; and (B) each Foreign Lender shall deliver to the Borrower and the Administrative Agent (in such number of copies as shall be requested by the recipient) on or prior to the date on which such Foreign Lender becomes a Lender under this Agreement (and from time to time thereafter upon the reasonable request of the Borrower or the Administrative Agent, but only if such Foreign Lender is legally entitled to do so), whichever of the following is applicable: (w) duly completed and executed copies of Internal Revenue Service Form W-8BEN-E or any successor form claiming eligibility for benefits of an income tax treaty to which the United States is a party, (x) duly completed copies of Internal Revenue Service Form W- 8ECI or any successor form certifying that the income receivable pursuant to this Agreement is effectively connected with the conduct of a trade or business in the United States, (y) in the case of a Foreign Lender claiming the benefits of the exemption for portfolio interest under Section 881(c) of the Code, (1) a certificate to the effect that such Foreign Lender is not (1) a “bank” within the meaning of Section 881(c)(3)(A) of the Code, (2) a “10 percent shareholder” of the Borrower within the meaning of Section 881(c)(3)(B) of the Code, or (3) a “controlled foreign corporation” described in Section 881(c)(3)(C) of the Code and (2) duly completed and executed copies of Internal Revenue Service Form W-8BEN-E (or any successor form) certifying that the Foreign Lender is not a United States Person, or (z) any other form including Internal Revenue Service Form W- 8IMY as applicable prescribed by applicable law as a basis for claiming exemption from or a reduction in U.S. federal withholding Tax duly completed together with such supplementary documentation as may be prescribed by applicable law to permit the Borrower to determine the withholding or deduction required to be made. (iii) In addition, each Lender shall deliver such forms promptly upon the obsolescence, expiration or invalidity of any form previously delivered by such Lender; provided it is legally able to do so at the time. Each Lender shall promptly notify the Borrower and the Administrative Agent at any time the chief tax officer of such Lender becomes aware that it no longer satisfies the legal requirements to provide any previously delivered form or certificate to the Borrower (or any other form of certification adopted by the U.S. or other taxing authorities for such purpose). 74 #4887-1928-1343v2 (g) Documentation Required by FATCA. If a payment made to a Lender under this Agreement would be subject to U.S. federal withholding Tax imposed by FATCA if such Lender were to fail to comply with the applicable reporting requirements of FATCA (including those contained in Section 1471(b) or 1472(b) of the Code, as applicable), such Lender shall deliver to the Borrower and the Administrative Agent, at the time or times prescribed by law and at such time or times reasonably requested by the Borrower or the Administrative Agent, such document prescribed by applicable law (including as prescribed by Section 1471(b)(3)(C)(i) of the Code) and such additional documentation reasonably requested by the Borrower or the Administrative Agent as may be necessary for the Borrower and the Administrative Agent to comply with their respective obligations under FATCA or to determine the amount to deduct and withhold from such payment. Solely for purposes of this Section 2.16(g), “FATCA” shall include any amendments made to FATCA after the date of this Agreement. (h) Treatment of Certain Refunds. If the Administrative Agent, any Lender or an Issuing Bank determines, in its sole discretion, that it has received a refund or credit (in lieu of such refund) of any Taxes or Other Taxes as to which it has been indemnified by the Borrower or with respect to which the Borrower has paid additional amounts pursuant to this Section, it shall pay to the Borrower an amount equal to such refund (but only to the extent of indemnity payments made, or additional amounts paid, by the Borrower under this Section with respect to the Taxes or Other Taxes giving rise to such refund), net of all reasonable out-of-pocket expenses of the Administrative Agent, any Lender or an Issuing Bank, as the case may be, and without interest (other than any interest paid by the relevant Governmental Authority with respect to such refund); provided that the Borrower, upon the request of the Administrative Agent, any Lender or an Issuing Bank, agrees to repay the amount paid over to the Borrower (plus any penalties, interest or other charges imposed by the relevant Governmental Authority) to the Administrative Agent, any Lender or an Issuing Bank in the event the Administrative Agent, any Lender or an Issuing Bank is required to repay such refund to such Governmental Authority. Notwithstanding anything to the contrary in this clause (h), in no event will the Administrative Agent, any Lender or an Issuing Bank be required to pay any amount to Borrower pursuant to this clause (h), the payment of which would place such Person in a less favorable net after-Tax position than such Person would have been in if the indemnification payments or additional amounts giving rise to such refund had never been paid. This subsection shall not be construed to require the Administrative Agent, any Lender or an Issuing Bank to make available its tax returns or its books or records (or any other information relating to its taxes that it deems confidential) to the Borrower or any other Person. SECTION 2.17. Payments Generally; Pro Rata Treatment: Sharing of Set-offs. (a) Payments by the Borrower. The Borrower shall make each payment required to be made by it hereunder (whether of principal, interest, fees or reimbursement of LC Disbursements, or under Section 2.14, 2.15 or 2.16, or otherwise) or under any other Loan Document (except to the extent otherwise provided therein) prior to 2:00 p.m., New York time, on the date when due, in immediately available funds, without set-off or counterclaim. Any amounts received after such time on any date may, in the discretion of the Administrative Agent, be deemed to have been received on the next succeeding Business Day for purposes of calculating interest thereon. All such payments shall be made to the Administrative Agent at the Administrative Agent’s Account, except as otherwise expressly provided in the relevant Loan Document and except payments to be made directly to the Issuing Bank or the Swingline Lender as expressly 75 #4887-1928-1343v2 provided herein and payments pursuant to Sections 2.14, 2.15, 2.16 and 9.03, which shall be made directly to the Persons entitled thereto. The Administrative Agent shall distribute any such payments received by it for account of any other Person to the appropriate recipient promptly following receipt thereof. If any payment hereunder shall be due on a day that is not a Business Day, the date for payment shall be extended to the next succeeding Business Day and, in the case of any payment accruing interest, interest thereon shall be payable for the period of such extension. All amounts owing under this Agreement (including commitment fees, payments required under Section 2.14, and payments required under Section 2.15 relating to any Loan denominated in Dollars, but not including principal of and interest on any Loan denominated in any Foreign Currency or payments relating to any such Loan required under Section 2.15, which are payable in such Foreign Currency) or under any other Loan Document (except to the extent otherwise provided therein) are payable in Dollars. Notwithstanding the foregoing, if the Borrower shall fail to pay any principal of any Loan when due (whether at stated maturity, by acceleration, by mandatory prepayment or otherwise), the unpaid portion of such Loan shall, if such Loan is not denominated in Dollars, automatically be redenominated in Dollars on the due date thereof (or, if such due date is a day other than the last day of the Interest Period therefor, on the last day of such Interest Period) in an amount equal to the Dollar Equivalent thereof on the date of such redenomination and such principal shall be payable on demand; and if the Borrower shall fail to pay any interest on any Loan that is not denominated in Dollars, such interest shall automatically be redenominated in Dollars on the due date therefor (or, if such due date is a day other than the last day of the Interest Period therefor, on the last day of such Interest Period) in an amount equal to the Dollar Equivalent thereof on the date of such redenomination and such interest shall be payable on demand. Notwithstanding the foregoing provisions of this Section, if, after the making of any Borrowing in any Foreign Currency, currency control or exchange regulations are imposed in the country which issues such currency with the result that the type of currency in which the Borrowing was made (the “Original Currency”) no longer exists or the Borrower is not able to make payment to the Administrative Agent for the account of the Lenders in such Original Currency, then all payments to be made by the Borrower hereunder in such currency shall instead be made when due in Dollars in an amount equal to the Dollar Equivalent (as of the date of repayment) of such payment due, it being the intention of the parties hereto that the Borrower takes all risks of the imposition of any such currency control or exchange regulations. (b) Application of Insufficient Payments. If at any time insufficient funds are received by and available to the Administrative Agent to pay fully all amounts of principal, unreimbursed LC Disbursements, interest and fees of a Class of Commitments then due hereunder, such funds shall be applied (i) first, to pay interest and fees of such Class then due hereunder, ratably among the parties entitled thereto in accordance with the amounts of interest and fees of such Class then due to such parties, and (ii) second, to pay principal and unreimbursed LC Disbursements of such Class then due hereunder, ratably among the parties entitled thereto in accordance with the amounts of principal and unreimbursed LC Disbursements of such Class then due to such parties. (c) Pro Rata Treatment. Except to the extent otherwise provided herein: (i) each Syndicated Borrowing of a Class shall be made from the Lenders of such Class of


 
76 #4887-1928-1343v2 Commitments, each payment of commitment fee under Section 2.11 shall be made for account of the Lenders of the applicable Class, and each termination or reduction of the amount of the Commitments of a Class of Commitments under Section 2.08 shall be applied to the respective Commitments of the Lenders of such Class of Commitments, pro rata according to the amounts of their respective Commitments of such Class of Commitments; (ii) each Syndicated Borrowing of a Class of Commitments shall be allocated pro rata among the Lenders of such Class according to the amounts of their respective Commitments of such Class (in the case of the making of Syndicated Loans) or their respective Loans of such Class that are to be included in such Borrowing (in the case of conversions and continuations of Loans); (iii) each payment or prepayment of principal of Syndicated Loans of a Class of Commitments by the Borrower shall be made for account of the Lenders of such Class of Commitments pro rata in accordance with the respective unpaid principal amounts of the Syndicated Loans of such Class of Commitments held by them; and (iv) each payment of interest on Syndicated Loans of a Class of Commitments by the Borrower shall be made for account of the Lenders of such Class of Commitments pro rata in accordance with the amounts of interest on such Loans of such Class of Commitments then due and payable to the respective Lenders. (d) Sharing of Payments by Lenders. If any Lender of any Class of Commitment shall, by exercising any right of set-off or counterclaim or otherwise, obtain payment in respect of any principal of or interest on any of its Syndicated Loans, or participations in LC Disbursements or Swingline Loans, of such Class resulting in such Lender receiving payment of a greater proportion of the aggregate amount of its Syndicated Loans, and participations in LC Disbursements and Swingline Loans, and accrued interest thereon of such Class then due than the proportion received by any other Lender of such Class, then the Lender receiving such greater proportion shall purchase (for cash at face value) participations in the Syndicated Loans, and participations in LC Disbursements and Swingline Loans, of other Lenders of such Class to the extent necessary so that the benefit of all such payments shall be shared by the Lenders of such Class ratably in accordance with the aggregate amount of principal of and accrued interest on their respective Syndicated Loans, and participations in LC Disbursements and Swingline Loans, of such Class; provided that (i) if any such participations are purchased and all or any portion of the payment giving rise thereto is recovered, such participations shall be rescinded and the purchase price restored to the extent of such recovery, without interest, and (ii) the provisions of this paragraph shall not be construed to apply to any payment made by the Borrower pursuant to and in accordance with the express terms of this Agreement or any payment obtained by a Lender as consideration for the assignment of or sale of a participation in any of its Loans or participations in LC Disbursements to any assignee or participant, other than to the Borrower or any Subsidiary or Affiliate thereof (as to which the provisions of this paragraph shall apply). The Borrower consents to the foregoing and agrees, to the extent it may effectively do so under applicable law, that any Lender acquiring a participation pursuant to the foregoing arrangements may exercise against the Borrower rights of set-off and counterclaim with respect to such participation as fully as if such Lender were a direct creditor of the Borrower in the amount of such participation. (e) Presumptions of Payment. Unless the Administrative Agent shall have received notice from the Borrower prior to the date on which any payment is due to the Administrative Agent for account of the Lenders or the Issuing Bank hereunder that the Borrower will not make such payment, the Administrative Agent may assume that the Borrower has made such payment on such date in accordance herewith and may, in reliance upon such assumption, 77 #4887-1928-1343v2 distribute to the Lenders or the Issuing Bank, as the case may be, the amount due. In such event, if the Borrower has not in fact made such payment, then each of the Lenders or the Issuing Bank, as the case may be, severally agrees to repay to the Administrative Agent forthwith on demand the amount so distributed to such Lender or the Issuing Bank with interest thereon, for each day from and including the date such amount is distributed to it to but excluding the date of payment to the Administrative Agent at the Federal Funds Effective Rate. (f) Certain Deductions by the Administrative Agent. If any Lender shall fail to make any payment required to be made by it pursuant to Section 2.04(c), 2.04(d), 2.05(e), 2.06(a) or (b) or 2.17(e), then the Administrative Agent may, in its discretion (notwithstanding any contrary provision hereof), apply any amounts thereafter received by the Administrative Agent for account of such Lender to satisfy such Lender’s obligations under such Sections until all such unsatisfied obligations are fully paid. SECTION 2.18. Mitigation Obligations; Replacement of Lenders. (a) Designation of a Different Lending Office. If any Lender requests compensation under Section 2.14, or if the Borrower is required to pay any additional amount to any Lender or any Governmental Authority for the account of any Lender pursuant to Section 2.16, then such Lender shall use reasonable efforts to designate a different lending office for funding or booking its Loans hereunder or to assign its rights and obligations hereunder to another of its offices, branches or affiliates, if in the judgment of such Lender, such designation or assignment (i) would eliminate or reduce amounts payable pursuant to Section 2.14 or 2.16, as the case may be, in the future and (ii) would not subject such Lender to any cost or expense not required to be reimbursed by the Borrower and would not otherwise be disadvantageous to such Lender. The Borrower hereby agrees to pay all reasonable costs and expenses incurred by any Lender in connection with any such designation or assignment. (b) Replacement of Lenders. If any Lender requests compensation under Section 2.14, or if the Borrower is required to pay any additional amount to any Lender or any Governmental Authority for account of any Lender pursuant to Section 2.16, or if any Lender becomes a Defaulting Lender or is a Non-Consenting Lender (as provided in Section 9.02(d)), then the Borrower may, at its sole expense and effort, upon notice to such Lender and the Administrative Agent, require such Lender to assign and delegate, without recourse (in accordance with and subject to the restrictions contained in Section 9.04), all its interests, rights and obligations under this Agreement to an assignee that shall assume such obligations (which assignee may be another Lender, if a Lender accepts such assignment); provided that (i) the Borrower shall have received the prior written consent of the Administrative Agent (and, if a Commitment is being assigned, the Issuing Bank and the Swingline Lender), which consent shall not unreasonably be withheld, (ii) such Lender shall have received payment of an amount equal to the outstanding principal of its Loans and participations in LC Disbursements and Swingline Loans, accrued interest thereon, accrued fees and all other amounts payable to it hereunder, from the assignee (to the extent of such outstanding principal and accrued interest and fees) or the Borrower (in the case of all other amounts) and (iii) in the case of any such assignment resulting from a claim for compensation under Section 2.14 or payments required to be made pursuant to Section 2.16, such assignment will result in a reduction in such compensation or payments. A Lender shall not be required to make any such assignment and delegation if prior thereto, as a result of a waiver by such Lender 78 #4887-1928-1343v2 or otherwise, the circumstances entitling the Borrower to require such assignment and delegation cease to apply. SECTION 2.19. Defaulting Lenders. (a) Defaulting Lender Adjustments. Notwithstanding anything to the contrary contained in this Agreement, if any Lender becomes a Defaulting Lender, then, until such time as such Lender is no longer a Defaulting Lender, to the extent permitted by applicable law: (i) Defaulting Lender Waterfall. Any payment of principal, interest, fees or other amounts received by Administrative Agent for the account of such Defaulting Lender (whether voluntary or mandatory, at maturity, pursuant to Article VII or otherwise) or received by Administrative Agent from a Defaulting Lender pursuant to Section 9.08 shall be applied at such time or times as may be determined by Administrative Agent as follows: first, to the payment of any amounts owing by such Defaulting Lender to Administrative Agent hereunder; second, to the payment on a pro rata basis of any amounts owing by such Defaulting Lender to Issuing Bank or Swingline Lender hereunder; third, to Cash Collateralize Issuing Bank’s Fronting Exposure with respect to such Defaulting Lender in the manner described in Section 2.05(d); fourth, as Borrower may request, to the funding of any Loan in respect of which such Defaulting Lender has failed to fund its portion thereof as required by this Agreement, as determined by Administrative Agent; fifth, if so determined by Administrative Agent and Borrower, to be held in a deposit account and released pro rata in order to (x) satisfy such Defaulting Lender’s potential future funding obligations with respect to Loans under this Agreement and (y) Cash Collateralize Issuing Bank’s future Fronting Exposure with respect to such Defaulting Lender with respect to future Letters of Credit issued under this Agreement, in the manner described in Section 2.05(d); sixth, to the payment of any amounts owing to the Lenders, Issuing Bank or Swingline Lender as a result of any judgment of a court of competent jurisdiction obtained by any Lender, Issuing Bank or Swingline Lender against such Defaulting Lender as a result of such Defaulting Lender’s breach of its obligations under this Agreement; seventh, to the payment of any amounts owing to Borrower as a result of any judgment of a court of competent jurisdiction obtained by Borrower against such Defaulting Lender as a result of such Defaulting Lender’s breach of its obligations under this Agreement; and eighth, to such Defaulting Lender or as otherwise directed by a court of competent jurisdiction; provided that if (x) such payment is a payment of the principal amount of any Loans or reimbursement obligations in respect of any LC Disbursement for which such Defaulting Lender has not fully funded its appropriate share, and (y) such Loans were made or the related Letters of Credit were issued at a time when the conditions set forth in Section 4.02 were satisfied and waived, such payment shall be applied solely to pay the Loans of, and reimbursement obligations in respect of any LC Disbursement that is owed to, all Non- Defaulting Lenders on a pro rata basis prior to being applied to the payment of any Loans of, or reimbursement obligations in respect of any LC Disbursement that is owed to, such Defaulting Lender until such time as all Loans and funded and unfunded participations in Letters of Credit and Swingline Loans are held by the Lenders pro rata in accordance with the applicable Commitments without giving effect to Section 2.19(a)(iii). Any payments, prepayments or other amounts paid or payable to a Defaulting Lender that are applied (or held) to pay amounts owed by a Defaulting Lender or to post Cash Collateral pursuant to 79 #4887-1928-1343v2 this Section 2.19(a)(i) shall be deemed paid to and redirected by such Defaulting Lender, and each Lender irrevocably consents hereto. (ii) Certain Fees. (A) No Defaulting Lender shall be entitled to receive any fee pursuant to Sections 2.11(a) and (b) for any period during which that Lender is a Defaulting Lender (and Borrower shall not be required to pay any such fee that otherwise would have been required to have been paid to that Defaulting Lender); provided that such Defaulting Lender shall be entitled to receive fees pursuant to Section 2.11(b) for any period during which that Lender is a Defaulting Lender only to extent allocable to its Applicable Percentage of the stated amount of Letters of Credit for which it has provided Cash Collateral pursuant to Section 2.19(d). (B) With respect to any Section 2.11(b) fees not required to be paid to any Defaulting Lender pursuant to clause (A) above, Borrower shall (x) pay to each Non-Defaulting Lender that portion of any such fee otherwise payable to such Defaulting Lender with respect to such Defaulting Lender’s participation in Letters of Credit or Swingline Loans that has been reallocated to such Non-Defaulting Lender pursuant to clause (iii) below, (y) pay to Issuing Bank the amount of any such fee otherwise payable to such Defaulting Lender to the extent allocable to Issuing Bank’s Fronting Exposure to such Defaulting Lender, and (z) not be required to pay the remaining amount of any such fee. (iii) Reallocation of Participations to Reduce Fronting Exposure. All or any part of such Defaulting Lender’s participation in Letters of Credit and Swingline Loans shall be reallocated (effective no later than one (1) Business Day after the Administrative Agent has actual knowledge that such Lender has become a Defaulting Lender) among the Non- Defaulting Lenders in accordance with their respective Applicable Dollar Percentages and Applicable Multicurrency Percentages, as the case may be (in each case calculated without regard to such Defaulting Lender’s Commitment), but only to the extent that (x) the conditions set forth in Section 4.02 are satisfied at the time of such reallocation (and, unless Borrower shall have otherwise notified Administrative Agent at such time, Borrower shall be deemed to have represented and warranted that such conditions are satisfied at such time), and (y) such reallocation does not cause the aggregate Revolving Credit Exposure of any Non-Defaulting Lender to exceed such Non-Defaulting Lender’s Commitment. No reallocation hereunder shall constitute a waiver or release of any claim of any party hereunder against a Defaulting Lender arising from that Lender having become a Defaulting Lender, including any claim of a Non-Defaulting Lender as a result of such Non-Defaulting Lender’s increased exposure following such reallocation. (iv) Cash Collateral; Repayment of Swingline Loans. If the reallocation described in clause (iii) above cannot, or can only partially, be effected, the Borrower shall not later than two (2) Business Days after demand by the Administrative Agent (at the direction of the Issuing Bank and/or the Swingline Lender), without prejudice to any right or remedy available to it hereunder or under law, (x) first, prepay Swingline Loans in an amount equal to the Swingline Lender’s Swingline Exposure (which exposure shall be


 
80 #4887-1928-1343v2 deemed equal to the applicable Defaulting Lender’s Applicable Percentage of the total outstanding Swingline Exposure (other than Swingline Exposure as to which such Defaulting Lender’s participation obligation has been reallocated to other Lenders or Cash Collateralized in accordance with the terms hereof)) and (y) second, Cash Collateralize the Issuing Bank’s Fronting Exposure in accordance with the procedures set forth in Section 2.19(d) or (z) make other arrangements reasonably satisfactory to the Administrative Agent, the Issuing Bank and the Swingline Lender in their sole discretion to protect them against the risk of non-payment by such Defaulting Lender. (b) Defaulting Lender Cure. If the Borrower, the Administrative Agent, the Swingline Lender and the Issuing Bank agree in writing that a Lender is no longer a Defaulting Lender, Administrative Agent will so notify the parties hereto, whereupon as of the effective date specified in such notice and subject to any conditions set forth therein (which may include arrangements with respect to any Cash Collateral), that such former Defaulting Lender will, to the extent applicable, purchase at par that portion of outstanding Loans of the other Lenders or take such other actions as Administrative Agent may determine to be necessary to cause the Loans and funded and unfunded participations in Letters of Credit and Swingline Loans to be held pro rata by the Lenders in accordance with the applicable Commitments (without giving effect to Section 2.19(a)(iii)), and if Cash Collateral has been posted with respect to such Defaulting Lender, the Administrative Agent will promptly return or release such Cash Collateral to the Borrower, whereupon such Lender will cease to be a Defaulting Lender; provided that no adjustments will be made retroactively with respect to fees accrued or payments made by or on behalf of Borrower while that Lender was a Defaulting Lender; and provided, further, that except to the extent otherwise expressly agreed by the affected parties, no change hereunder from Defaulting Lender to Lender will constitute a waiver or release of any claim of any party hereunder arising from that Lender having been a Defaulting Lender. (c) New Swingline Loans/Letters of Credit. So long as any Lender is a Defaulting Lender, (i) the Swingline Lender shall not be required to fund any Swingline Loans unless it is satisfied that the participations therein will be fully allocated among Non-Defaulting Lenders in a manner consistent with clause (a)(iii) above and the Defaulting Lender shall not participate therein and (ii) the Issuing Bank shall not be required to issue, extend, renew or increase any Letter of Credit unless it is satisfied that the participations in any existing Letters of Credit as well as the new, extended, renewed or increased Letter of Credit has been or will be fully allocated among the Non-Defaulting Lenders in a manner consistent with clause (a)(iii) above and such Defaulting Lender shall not participate therein except to the extent such Defaulting Lender’s participation has been or will be fully Cash Collateralized in accordance with Section 2.19(d). (d) Cash Collateral. At any time that there shall exist a Defaulting Lender, promptly following the written request of Administrative Agent or Issuing Bank (with a copy to Administrative Agent) Borrower shall Cash Collateralize Issuing Bank’s Fronting Exposure with respect to such Defaulting Lender (determined after giving effect to Section 2.19(a)(iii) and any Cash Collateral provided by such Defaulting Lender) in an amount not less than the Minimum Collateral Amount in respect of such Fronting Exposure. (i) Grant of Security Interest. Borrower, and to the extent provided by any Defaulting Lender, such Defaulting Lender, hereby grants to (and subjects to the control 81 #4887-1928-1343v2 of) Administrative Agent, for the benefit of Issuing Bank, and agrees to maintain, a first priority security interest (subject only to Liens of the type described in clause (g) of the definition of Permitted Liens and unrecorded Liens permitted hereunder which have priority over the Liens on the Collateral by operation of law) in all such Cash Collateral as security for the Defaulting Lenders’ obligation to fund participations in respect of Letters of Credit, to be applied pursuant to clause (ii) below. If at any time Administrative Agent determines that Cash Collateral is subject to any right or claim of any Person other than Administrative Agent and Issuing Bank as herein provided (subject only to Liens of the type described in clause (g) of the definition of Permitted Liens), or that the total amount of such Cash Collateral is less than the Minimum Collateral Amount in respect of such Fronting Exposure, Borrower will, promptly upon demand by Administrative Agent, pay or provide to Administrative Agent additional Cash Collateral in an amount sufficient to eliminate such deficiency (after giving effect to any Cash Collateral provided by the Defaulting Lender). All Cash Collateral (other than credit support not constituting funds subject to deposit) shall be maintained in blocked, non-interest bearing deposit accounts at Goldman Sachs Bank USA. Borrower shall pay on demand therefor from time to time all reasonable and customary account opening, activity and other administrative fees and charges in connection with the maintenance and disbursement of Cash Collateral. (ii) Application. Notwithstanding anything to the contrary contained in this Agreement, Cash Collateral provided under this Section 2.19 in respect of Letters of Credit shall be applied to the satisfaction of the Defaulting Lender’s obligation to fund participations in respect of Letters of Credit (including, as to Cash Collateral provided by a Defaulting Lender, any interest accrued on such obligation) for which the Cash Collateral was so provided, prior to any other application of such property as may otherwise be provided for herein. (iii) Termination of Requirement. Cash Collateral (or the appropriate portion thereof) provided to reduce Issuing Bank’s Fronting Exposure shall no longer be required to be held as Cash Collateral pursuant to this Section 2.19 following (i) the elimination of the applicable Fronting Exposure (including by the termination of Defaulting Lender status of the applicable Lender) or (ii) the determination by Administrative Agent and Issuing Bank that there exists excess Cash Collateral; provided that, subject to the other provisions of this Section 2.19, the Person providing Cash Collateral and Issuing Bank may agree that Cash Collateral shall be held to support future anticipated Fronting Exposure; provided, further, that to the extent that such Cash Collateral was provided by Borrower, such Cash Collateral shall remain subject to the security interest granted pursuant to the Loan Documents. SECTION 2.20. Extension of Final Maturity Date. (a) Extension. Without limiting the right of the Borrower to terminate the Commitments pursuant to Section 2.08, the Borrower, no later than 90 days’ prior written notice to the Administrative Agent, shall have the right to request that the Final Maturity Date be extended to the date falling 364 days after the Final Maturity Date then in effect hereunder (the “Existing Final Maturity Date”). Each Lender, acting in its sole and individual discretion, shall by written notice to the Administrative Agent no later than 60 days prior to the Existing Final Maturity Date 82 #4887-1928-1343v2 (the “Notice Date”) advise the Administrative Agent whether or not such Lender’s Existing Final Maturity Date shall be so extended (each Lender that determines to so extend its Final Maturity Date, an “Extending Lender” and each Lender that determines not to so extend its Final Maturity Date, a “Non-Extending Lender”). The Administrative Agent shall notify the Borrower of each Lender’s determination under this Section 2.20(a) no later than three Business Days after the Notice Date. (b) Additional Lenders. The Borrower shall have the right on or before the Existing Final Maturity Date for any Non-Extending Lender to replace such Non-Extending Lender with, and add as a “Lender” under this Agreement in place thereof, one or more permitted assigns pursuant to Section 9.04(b) (each, an “Additional Lender”) with the approval of the Administrative Agent (which approval shall not be unreasonably withheld). Each Additional Lender shall have entered into an agreement in form and substance satisfactory to the Borrower and the Administrative Agent pursuant to which such Additional Lender shall, effective as of such Existing Final Maturity Date, undertake a Commitment (and, if any such Additional Lender is already a Lender, its Commitment shall be in addition to such Lender’s Commitment hereunder on such date). (c) Conditions to Effectiveness of Extensions. Notwithstanding the foregoing, the extension of the Final Maturity Date pursuant to this Section 2.20 shall not be effective with respect to any Lender unless: (i) no Default or Event of Default shall have occurred and be continuing on the date of such extension and immediately after giving effect thereto; (ii) each of the representations and warranties contained in this Agreement and in each of the other Loan Documents is true and correct on and as of the date of such extension after giving effect thereto, as though made on and as of such date (or, if any such representation or warranty is expressly stated to have been made as of a specific date, as of such specific date); and (iii) if any Loans shall be outstanding on the date of replacement of any Non- Extending Lender, the Borrower shall borrow from each of the Extending Lenders and each of the Additional Lenders (collectively, the “Continuing Lenders”), and the Continuing Lenders shall make Loans to the Borrower (with Interest Period(s) ending on the date(s) of any then outstanding Interest Period(s)), and (notwithstanding the provisions of Section 2.02 and Section 2.10 that borrowings and prepayments be made ratably in accordance with the principal amounts of the Loans held by the Lenders) the Borrower shall repay in full the principal and interest on all of the Loans made by such Non-Extending Lender to the Borrower hereunder, together with any other amounts payable hereunder to such Non- Extending Lender, so that after giving effect to such Loans and prepayments, the Loans (and Interest Period(s) of Loan(s)) shall be held by the Continuing Lenders ratably in accordance with the respective amounts of their Commitments (as modified on the date of such replacement). 83 #4887-1928-1343v2 ARTICLE III REPRESENTATIONS AND WARRANTIES The Borrower represents and warrants to the Lenders that: SECTION 3.01. Organization; Powers. Each of the Borrower and its Subsidiaries is duly organized, validly existing and in good standing under the laws of the jurisdiction of its organization, has all requisite power and authority to carry on its business as now conducted and, except where the failure to do so, individually or in the aggregate, could not reasonably be expected to result in a Material Adverse Effect, is qualified to do business in, and is in good standing in, every jurisdiction where such qualification is required of the Borrower or such Subsidiary, as applicable. SECTION 3.02. Authorization; Enforceability. The Transactions are within the Borrower’s corporate powers and have been duly authorized by all necessary corporate and, if required, by all necessary shareholder action. This Agreement has been duly executed and delivered by the Borrower and constitutes, and each of the other Loan Documents when executed and delivered by each Obligor party thereto will constitute, a legal, valid and binding obligation of such Obligor, enforceable in accordance with its terms, except as such enforceability may be limited by (a) bankruptcy, insolvency, reorganization, moratorium or similar laws of general applicability affecting the enforcement of creditors’ rights and (b) the application of general principles of equity (regardless of whether such enforceability is considered in a proceeding in equity or at law). SECTION 3.03. Governmental Approvals; No Conflicts. The Transactions (a) do not require any consent or approval of, registration or filing with, or any other action by, any Governmental Authority, except for (i) such as have been or will be obtained or made and are in full force and effect and (ii) filings and recordings in respect of the Liens created pursuant to this Agreement or the Security Documents, (b) will not violate any applicable law or regulation or the charter, by-laws or other organizational documents of the Borrower or any of its Subsidiaries or any order of any Governmental Authority, (c) will not violate or result in a default in any material respect under any indenture, agreement or other instrument binding upon the Borrower or any of its Subsidiaries or assets, or give rise to a right thereunder to require any payment to be made by any such Person, and (d) except for the Liens created pursuant to this Agreement or the Security Documents, will not result in the creation or imposition of any Lien on any asset of the Borrower or any of its Subsidiaries. SECTION 3.04. Financial Condition; No Material Adverse Change. (a) Financial Statements. The Borrower has heretofore delivered to the Lenders the audited consolidated balance sheet and statement of operations, changes in net assets and cash flows of the Borrower and its Subsidiaries as of and for the year ended December 31, 2013, certified by a Financial Officer of the Borrower. Such financial statements present fairly, in all material respects, the consolidated financial position and results of operations and cash flows of the Borrower and its Subsidiaries as of such date and for such period in accordance with GAAP.


 
84 #4887-1928-1343v2 (b) No Material Adverse Change. Since the date of the most recent Applicable Financial Statements, there has not been any event, development or circumstance (herein, a “Material Adverse Change”) that has had or could reasonably be expected to have a material adverse effect on (i) the business, Portfolio Investments and other assets, liabilities or financial condition of the Borrower and its Subsidiaries (other than any Financing Subsidiary, immaterial Subsidiary or Foreign Subsidiary) taken as a whole (excluding in any case a decline in the net asset value of the Borrower or a change in general market conditions or values of the Borrower’s Portfolio Investments), or (ii) the validity or enforceability of any of the Loan Documents or the rights or remedies of the Administrative Agent and the Lenders thereunder. SECTION 3.05. Litigation. There are no actions, suits, investigations or proceedings by or before any arbitrator or Governmental Authority now pending against or, to the knowledge of the Borrower, threatened against or affecting the Borrower or any of its Subsidiaries (i) as to which there is a reasonable possibility of an adverse determination and that, if adversely determined, could reasonably be expected, individually or in the aggregate, to result in a Material Adverse Effect or (ii) that involve this Agreement or the Transactions. SECTION 3.06. Compliance with Laws and Agreements. Each of the Borrower and its Subsidiaries is in compliance with all laws, regulations and orders of any Governmental Authority applicable to it or its property and all indentures, agreements and other instruments binding upon it or its property, except where the failure to do so, individually or in the aggregate, could not reasonably be expected to result in a Material Adverse Effect. Neither the Borrower nor any of its Subsidiaries is subject to any contract or other arrangement, the performance of which by the Borrower or its Subsidiaries could reasonably be expected to result in a Material Adverse Effect. SECTION 3.07. Taxes. Each of the Borrower and its Subsidiaries has timely filed or caused to be filed all material Tax returns and reports required to have been filed and has paid or caused to be paid all material Taxes required to have been paid by it, except (a) Taxes that are being contested in good faith by appropriate proceedings and for which such Person has set aside on its books adequate reserves or (b) to the extent that the failure to do so could not reasonably be expected to result in a Material Adverse Effect. SECTION 3.08. ERISA. No ERISA Event has occurred or is reasonably expected to occur that, when taken together with all other such ERISA Events for which liability is reasonably expected to occur, could reasonably be expected to result in a Material Adverse Effect. SECTION 3.09. Disclosure. As of the date hereof, the Borrower has disclosed to the Lenders all agreements, instruments and corporate or other restrictions to which it or any of its Subsidiaries is subject, and all other matters known to it, that, individually or in the aggregate, could reasonably be expected to result in a Material Adverse Effect. As of the date hereof, none of the reports, financial statements, certificates or other written information (other than projected financial information, other forward looking information relating to third parties and information of a general economic or general industry nature) furnished by or on behalf of the Borrower to the Administrative Agent in connection with the negotiation of this Agreement and the other Loan Documents or delivered hereunder or thereunder (as modified or supplemented by other 85 #4887-1928-1343v2 information so furnished) when taken as a whole (and after giving effect to all updates, modifications and supplements) contains any material misstatement of fact or omits to state any material fact necessary to make the statements therein, in the light of the circumstances under which they were made, not misleading; provided that with respect to projected financial information, the Borrower represents only that such information was prepared in good faith based upon assumptions believed to be reasonable at the time. SECTION 3.10. Investment Company Act; Margin Regulations. (a) Status as Business Development Company. The Borrower has elected to be regulated as a “business development company” within the meaning of the Investment Company Act and qualifies as a RIC. (b) Compliance with Investment Company Act. The business and other activities of the Borrower and its Subsidiaries, including the making of the Loans hereunder, the application of the proceeds and repayment thereof by the Borrower and the consummation of the Transactions contemplated by the Loan Documents do not result in a violation or breach in any material respect of the provisions of the Investment Company Act or any rules, regulations or orders issued by the Securities and Exchange Commission thereunder, in each case that are applicable to the Borrower and its Subsidiaries. (c) Investment Policies. The Borrower is in compliance in all respects with the Investment Policies (after giving effect to any Permitted Policy Amendments), except to the extent that the failure to so comply could not reasonably be expected to have a Material Adverse Effect. (d) Use of Credit. Neither the Borrower nor any of its Subsidiaries is engaged principally, or as one of its important activities, in the business of extending credit for the purpose of buying or carrying Margin Stock, and no part of the proceeds of any extension of credit hereunder will be used to buy or carry any Margin Stock. SECTION 3.11. Material Agreements and Liens. (a) Material Agreements. Part A of Schedule 3.11 is a complete and correct list, as of the Restatement Effective Date, of each credit agreement, loan agreement, indenture, purchase agreement, guarantee, letter of credit or other arrangement providing for or otherwise relating to any Indebtedness or any extension of credit (or commitment for any extension of credit) to, or guarantee by, the Borrower or any of its Subsidiaries outstanding as of the Restatement Effective Date, and the aggregate principal or face amount outstanding or that is, or may become, outstanding under each such arrangement is correctly described in Part A of Schedule 3.11. (b) Liens. Part B of Schedule 3.11 is a complete and correct list, as of the Restatement Effective Date, of each Lien securing Indebtedness of any Person outstanding on the Restatement Effective Date covering any property of the Borrower or any of the Subsidiary Guarantors, and the aggregate Indebtedness secured (or that may be secured) by each such Lien and the property covered by each such Lien is correctly described in Part B of Schedule 3.11. 86 #4887-1928-1343v2 SECTION 3.12. Subsidiaries and Investments. (a) Subsidiaries. Set forth on Schedule 3.12(a) is a list of the Borrower’s Subsidiaries as of the Restatement Effective Date. (b) Investments. Set forth on Schedule 3.12(b) is a complete and correct list, as of the Restatement Effective Date, of all Investments (other than Investments of the types referred to in clauses (b), (c) and (d) of Section 6.04) held by the Borrower or any of the Subsidiary Guarantors in any Person on the Restatement Effective Date and, for each such Investment, (x) the identity of the Person or Persons holding such Investment and (y) the nature of such Investment. Except as disclosed in Schedule 3.12, each of the Borrower and any of the Subsidiary Guarantors owned, free and clear of all Liens (other than Liens created pursuant to this Agreement or the Security Documents and Permitted Liens), all such Investments as of such date. SECTION 3.13. Properties. (a) Title Generally. Each of the Borrower and the Subsidiary Guarantors has good title to, or valid leasehold interests in, all its real and personal property material to its business, except for minor defects in title that do not interfere with its ability to conduct its business as currently conducted or to utilize such properties for their intended purposes. (b) Intellectual Property. Each of the Borrower and its Subsidiaries (other than any Financing Subsidiary) owns, or is licensed to use, all trademarks, tradenames, copyrights, patents and other intellectual property material to its business, and the use thereof by the Borrower and its Subsidiaries (other than any Financing Subsidiary) does not infringe upon the rights of any other Person, except for any such infringements that, individually or in the aggregate, could not reasonably be expected to result in a Material Adverse Effect. SECTION 3.14. [Reserved]. SECTION 3.15. OFAC. Neither the Borrower nor any of its Subsidiaries (a) is a person whose property or interest in property is blocked or subject to blocking pursuant to Section 1 of Executive Order 13224 of September 23, 2001 Blocking Property and Prohibiting Transactions With Persons Who Commit, Threaten to Commit, or Support Terrorism (66 Fed. Reg. 49079 (2001)), (b) engages in any dealings or transactions prohibited by Section 2 of such executive order, or is otherwise associated with any such person in any manner violative of Section 2 of such executive order, or (c) is a person on the list of Specially Designated Nationals and Blocked Persons or subject to the limitations or prohibitions under (A) any other related U.S. Department of the Treasury’s Office of Foreign Assets Control (“OFAC”) regulation or executive order or (B) any international economic sanction administered or enforced by the United Nations Security Council, His Majesty’s Treasury or the European Union. SECTION 3.16. USA Patriot Act. Each of the Borrower and its Subsidiaries is in compliance with (a) the Trading with the Enemy Act, as amended, and each of the foreign assets control regulations of the United States Treasury Department (31 CFR, Subtitle B, Chapter V, as amended) and any other enabling legislation or executive order relating thereto, and (b) Title III of the Uniting And Strengthening America By Providing Appropriate Tools Required To Intercept And Obstruct Terrorism of 2001, as amended (“USA Patriot Act”). No part of the proceeds of the 87 #4887-1928-1343v2 Loans will be used, directly or indirectly, (A) for any payments to any governmental official or employee, political party, official of a political party, candidate for political office, or anyone else acting in an official capacity, in order to obtain, retain or direct business or obtain any improper advantage, in a manner that would result in a violation of the United States Foreign Corrupt Practices Act of 1977, as amended or (B) in a manner that would result in a violation of any OFAC regulation or regulations promulgated by the United Nations Security Council, His Majesty’s Treasury or the European Union with respect to anti-money laundering and anti-terrorism financing requirements to the extent then applicable to the Borrower and its Subsidiaries. SECTION 3.17. Collateral Documents. The provisions of the Security Documents are effective to create in favor of the Collateral Agent a legal, valid and enforceable first priority Lien (subject to Liens permitted by Section 6.02) on all right, title and interest of the Borrower and each Subsidiary Guarantor in the Collateral described therein. Except for filings completed (or to the extent perfection is only possible through possession or control, delivery of all Collateral to the Collateral Agent) on or prior to the Restatement Effective Date and as contemplated hereby and by the Security Documents, no further filing (or delivery) will be necessary to perfect such Liens to the extent such Liens may be perfected by filing (or possession or control, as applicable). ARTICLE IV CONDITIONS SECTION 4.01. Restatement Effective Date. The effectiveness of this Agreement and of the obligations of the Lenders to make Loans and of the Issuing Bank to issue Letters of Credit hereunder shall not become effective until completion of each of the following conditions precedent (unless a condition shall have been waived in accordance with Section 9.02): (a) Documents. Administrative Agent shall have received each of the following documents, each of which shall be satisfactory to the Administrative Agent (and to the extent specified below to each Lender) in form and substance: (i) Executed Counterparts. From each party hereto either (i) a counterpart of this Agreement and the other Loan Documents signed on behalf of such party or (ii) written evidence satisfactory to the Administrative Agent (which may include telecopy transmission of a signed signature page to this Agreement) that such party has signed a counterpart of this Agreement and the other Loan Documents. (ii) Opinion of Counsel to the Borrower. Favorable written opinion (addressed to the Administrative Agent and the Lenders and dated the Restatement Effective Date) of Schulte Roth & Zabel LLP, New York counsel for the Borrower and the Subsidiary Guarantors, in form and substance reasonably acceptable to the Administrative Agent (and the Borrower hereby instructs such counsel to deliver such opinions to the Lenders and the Administrative Agent). (iii) Corporate Documents. Such documents and certificates as the Administrative Agent or its counsel may reasonably request relating to the organization,


 
88 #4887-1928-1343v2 existence and good standing of the Borrower, the authorization of the Transactions and any other legal matters relating to the Borrower, this Agreement or the Transactions, all in form and substance satisfactory to the Administrative Agent and its counsel. (iv) Officer’s Certificate. A certificate, dated the Restatement Effective Date and signed by the President, the Chief Executive Officer, a Vice President or a Financial Officer of the Borrower, confirming compliance with the conditions set forth in the lettered clauses of the first sentence of Section 4.02. (v) Investment Policies. A copy of the Investment Policies in effect as of the date of this Agreement. (vi) Borrowing Base Certificate. A Borrowing Base Certificate dated as of the Restatement Effective Date. (b) Fees and Expenses. Confirmation of receipt by the Administrative Agent, for the benefit of the Lenders, of the fees required to be paid by the Borrower pursuant to Section 2.11(d). The Borrower shall have paid all reasonable and documented expenses (including the legal fees of Milbank LLP) of the Administrative Agent and the Lenders for which invoices have been presented. (c) Lien Searches. The Collateral Agent shall have received the results of a recent lien search in each relevant jurisdiction with respect to each Obligor, and such search shall reveal no Liens on any of the assets of any Obligor except for Liens listed on Part B of Schedule 3.11. (d) Restatement Effective Date Adjustments. Evidence that each Existing Lender shall have, as of the Restatement Effective Date, received payment in full of all accrued and unpaid interest, facility fees and LC participation fees owing to such Lender under the Existing Credit Facility, which may be paid from the initial Borrowing hereunder, and the Borrowings and other adjustments to the Loans described in Section 2.02(f) shall have occurred. SECTION 4.02. Each Credit Event. The obligation of each Lender to make any Loan, and of the Issuing Bank to issue, amend, renew or extend any Letter of Credit, is additionally subject to the satisfaction of the following conditions: (a) the representations and warranties of the Borrower set forth in this Agreement and in the other Loan Documents shall be true and correct in all material respects (or, in the case of any portion of any representations and warranties already subject to a materiality qualifier, true and correct in all respects) on and as of the date of such Loan or the date of issuance or amendment of such Letter of Credit, as applicable, or, as to any such representation or warranty that refers to a specific date, as of such specific date; (b) at the time of and immediately after giving effect to such Loan or the issuance or amendment of such Letter of Credit, as applicable, no Default shall have occurred and be continuing; and 89 #4887-1928-1343v2 (c) either (i) the aggregate Covered Debt Amount (after giving effect to such extension of credit) shall not exceed the Borrowing Base reflected on the Borrowing Base Certificate most recently delivered to the Administrative Agent or (ii) the Borrower shall have delivered an updated Borrowing Base Certificate demonstrating that the Covered Debt Amount (after giving effect to such extension of credit) shall not exceed the Borrowing Base after giving effect to such extension of credit as well as any concurrent acquisitions of Portfolio Investments or payment of outstanding Loans or Other Covered Indebtedness. Each Borrowing and each issuance or amendment of a Letter of Credit shall be deemed to constitute a representation and warranty by the Borrower on the date thereof as to the matters specified in the preceding sentence. ARTICLE V AFFIRMATIVE COVENANTS Until the Commitments have expired or been terminated and the principal of and interest on each Loan and all fees payable hereunder shall have been paid in full and all Letters of Credit shall have expired, been terminated, Cash Collateralized or backstopped and all LC Disbursements shall have been reimbursed, the Borrower covenants and agrees with the Lenders that: SECTION 5.01. Financial Statements and Other Information. The Borrower will furnish to the Administrative Agent and each Lender: (a) within 65 days after the end of each fiscal year of the Borrower, the audited consolidated balance sheet and statement of operations, changes in net assets and cash flows of the Borrower and its Subsidiaries as of the end of and for such year, setting forth in each case in comparative form the figures for the previous fiscal year, all reported on by Deloitte LLP or other independent public accountants of recognized national standing to the effect that such consolidated financial statements present fairly in all material respects the financial condition and results of operations of the Borrower and its Subsidiaries on a consolidated basis in accordance with GAAP consistently applied; provided that the requirements set forth in this clause (a) may be fulfilled by providing to the Administrative Agent and the Lenders the report of the Borrower to the SEC on Form 10-K for the applicable fiscal year (b) within 45 days after the end of each of the first three fiscal quarters of each fiscal year of the Borrower, the consolidated balance sheet and statement of operations, changes in net assets and cash flows of the Borrower and its Subsidiaries as of the end of and for such fiscal quarter and the then elapsed portion of the fiscal year, setting forth in each case in comparative form the figures for (or, in the case of the statements of assets and liabilities, operations, changes in net assets and cash flows, as of the end of) the corresponding period or periods of the previous fiscal year, all certified by a Financial Officer of the Borrower as presenting fairly in all material respects the financial condition and results of operations of the Borrower and its Subsidiaries on a consolidated basis in accordance with GAAP consistently applied, subject to normal year-end audit adjustments and the absence of footnotes; provided that the requirements set forth in this clause 90 #4887-1928-1343v2 (b) may be fulfilled by providing to the Lenders the report of the Borrower to the SEC on Form 10-Q for the applicable quarterly period; (c) concurrently with any delivery of financial statements under clause (a) or (b) of this Section, a certificate of a Financial Officer of the Borrower (i) certifying that such statements are consistent with the financial statements filed by the Borrower with the Securities and Exchange Commission, (ii) certifying as to whether the Borrower has knowledge that a Default has occurred during the applicable period and, if a Default has occurred, specifying the details thereof and any action taken or proposed to be taken with respect thereto, (iii) setting forth reasonably detailed calculations demonstrating compliance with Sections 6.01, 6.02, 6.04 and 6.07 and (iv) stating whether any change in GAAP as applied by (or in the application of GAAP by) the Borrower has occurred since the Restatement Effective Date and, if any such change has occurred, specifying the effect of such change on the financial statements accompanying such certificate; (d) as soon as available and in any event not later than 20 days after the end of each monthly accounting period (ending on the last day of each calendar month) of the Borrower and its Subsidiaries, a Borrowing Base Certificate as at the last day of such accounting period; (e) promptly but no later than five Business Days after the Borrower shall at any time have knowledge that there is a Borrowing Base Deficiency, a Borrowing Base Certificate as at the date the Borrower has knowledge of such Borrowing Base Deficiency indicating the amount of the Borrowing Base Deficiency as at the date the Borrower obtained knowledge of such deficiency and the amount of the Borrowing Base Deficiency as of the date not earlier than one Business Day prior to the date the Borrowing Base Certificate is delivered pursuant to this paragraph; (f) promptly upon receipt thereof copies of all significant reports submitted by the Borrower’s independent public accountants in connection with each annual, interim or special audit or review of any type of the financial statements or related internal control systems of the Borrower or any of its Subsidiaries delivered by such accountants to the management or board of directors of the Borrower; (g) promptly after the same become publicly available, copies of all periodic and other reports, proxy statements and other materials filed by the Borrower or any of the Subsidiary Guarantors with the Securities and Exchange Commission, or any Governmental Authority succeeding to any or all of the functions of said Commission, or with any national securities exchange, as the case may be; and (h) promptly following any request therefor, such other information regarding the operations, business affairs and financial condition of the Borrower or any of its Subsidiaries, or compliance with the terms of this Agreement and the other Loan Documents, as the Administrative Agent or any Lender may reasonably request. (i) Borrower and each Lender acknowledge that certain of the Lenders may be Public Lenders and, if documents or notices required to be delivered pursuant to this Section 5.01 or otherwise are being distributed through IntraLinks/IntraAgency, SyndTrak or another relevant 91 #4887-1928-1343v2 website or other information platform (the “Platform”), any document or notice that Borrower has indicated contains Non-Public Information shall not be posted by Administrative Agent on that portion of the Platform designated for such Public Lenders. Borrower agrees to clearly designate all information provided to Administrative Agent by or on behalf of Borrower or any of its Subsidiaries which is suitable to make available to Public Lenders. If Borrower has not indicated whether a document or notice delivered pursuant to this Section 5.01 contains Non-Public Information, the Administrative Agent reserves the right to post such document or notice solely on that portion of the Platform designated for Lenders who wish to receive material Non-Public Information with respect to Borrower, its Subsidiaries and their Securities (as such term is defined in Section 5.13 of this Agreement). (j) Notwithstanding anything to the contrary herein, the requirements to deliver documents set forth in Section 5.01(a), (b) and (g) will be fulfilled by filing by the Borrower of the applicable documents for public availability on the SEC’s Electronic Data Gathering and Retrieval system; provided, that the Borrower shall notify the Administrative Agent (by telecopier or electronic mail) of the posting of any such documents. SECTION 5.02. Notices of Material Events. The Borrower will furnish to the Administrative Agent and each Lender prompt written notice of the following: (a) the occurrence of any Default; (b) the filing or commencement of any action, suit or proceeding by or before any arbitrator or Governmental Authority against or affecting the Borrower, any of its Subsidiaries or the External Manager that, if adversely determined, could reasonably be expected to result in a Material Adverse Effect; (c) the occurrence of any ERISA Event that, alone or together with any other ERISA Events that have occurred, could reasonably be expected to result in liability of the Borrower and its Subsidiaries in an aggregate amount exceeding $15,000,000; and (d) any other development that results in, or could reasonably be expected to result in, a Material Adverse Effect. Each notice delivered under this Section shall be accompanied by a statement of a Financial Officer or other executive officer of the Borrower setting forth the details of the event or development requiring such notice and any action taken or proposed to be taken with respect thereto. SECTION 5.03. Existence: Conduct of Business. The Borrower will, and will cause each of its Subsidiaries (other than Immaterial Subsidiaries) to, do or cause to be done all things necessary to preserve, renew and keep in full force and effect its legal existence and the rights, licenses, permits, privileges and franchises material to the conduct of its business; provided that the foregoing shall not prohibit any merger, consolidation, liquidation or dissolution permitted under Section 6.03. SECTION 5.04. Payment of Obligations. The Borrower will, and will cause each of its Subsidiaries to, pay its obligations, including income tax and other material tax liabilities


 
92 #4887-1928-1343v2 and material contractual obligations, that, if not paid, could reasonably be expected to result in a Material Adverse Effect before the same shall become delinquent or in default, except where (a) the validity or amount thereof is being contested in good faith by appropriate proceedings, (b) the Borrower or such Subsidiary has set aside on its books adequate reserves with respect thereto in accordance with GAAP and (c) the failure to make payment pending such contest could not reasonably be expected to result in a Material Adverse Effect. SECTION 5.05. Maintenance of Properties; Insurance. The Borrower will, and will cause each of its Subsidiaries (other than Immaterial Subsidiaries) to, (a) keep and maintain all property material to the conduct of its business in good working order and condition, ordinary wear and tear excepted, and (b) maintain, with financially sound and reputable insurance companies, insurance in such amounts and against such risks as are customarily maintained by companies engaged in the same or similar businesses operating in the same or similar locations. SECTION 5.06. Books and Records; Inspection and Audit Rights. The Borrower will, and will cause each of its Subsidiaries to, keep books of record and account in accordance with GAAP. The Borrower will, and will cause each other Obligor to, permit any representatives designated by the Administrative Agent or any Lender, upon reasonable prior notice, to visit and inspect its properties during business hours, to examine and make extracts from its books and records, and to discuss its affairs, finances and condition with its officers and independent accountants, all at such reasonable times and as often as reasonably requested, in each case, to the extent such inspection or requests for such information are reasonable and such information can be provided or discussed without violation of law, rule, regulation or contract; provided that the Borrower or such Obligor shall be entitled to have its representatives and advisors present during any inspection of its books and records. SECTION 5.07. Compliance with Laws. The Borrower will, and will cause each of its Subsidiaries to, comply with all laws, rules, regulations, including the Investment Company Act, and orders of any Governmental Authority applicable to it or its property, except where the failure to do so, individually or in the aggregate, could not reasonably be expected to result in a Material Adverse Effect. Without limiting the generality of the foregoing, the Borrower will, and will cause its Subsidiaries to, conduct its business and other activities in compliance in all material respects with the provisions of the Investment Company Act and any applicable rules, regulations or orders issued by the Securities and Exchange Commission thereunder. SECTION 5.08. Certain Obligations Respecting Subsidiaries; Further Assurances. (a) Subsidiary Guarantors. In the event that the Borrower or any the Subsidiary Guarantors shall form or acquire any new Subsidiary (other than a Financing Subsidiary, a Foreign Subsidiary, an Immaterial Subsidiary or a Subsidiary of a Foreign Subsidiary) the Borrower will cause such new Subsidiary to become a “Subsidiary Guarantor” (and, thereby, an “Obligor”) under the Guarantee and Security Agreement pursuant to a Guarantee Assumption Agreement and to deliver such proof of corporate or other action, incumbency of officers, opinions of counsel and other documents as is consistent with those delivered by the Borrower pursuant to Section 4.01 upon the Restatement Effective Date or as the Administrative Agent shall have requested. 93 #4887-1928-1343v2 (b) Ownership of Subsidiaries. The Borrower will, and will cause each of its Subsidiaries to, take such action from time to time as shall be necessary to ensure that each of the Subsidiary Guarantors is a wholly owned Subsidiary. (c) Further Assurances. The Borrower will, and will cause each of the Subsidiary Guarantors to, take such action from time to time as shall reasonably be requested by the Administrative Agent to effectuate the purposes and objectives of this Agreement. Without limiting the generality of the foregoing, the Borrower will, and will cause each of the Subsidiary Guarantors to, take such action from time to time (including filing appropriate Uniform Commercial Code financing statements and executing and delivering such assignments, security agreements and other instruments) as shall be reasonably requested by the Administrative Agent: (i) to create, in favor of the Collateral Agent for the benefit of the Lenders (and any affiliate thereof that is a party to any Hedging Agreement entered into with the Borrower) and the holders of any Secured Longer-Term Indebtedness or Secured Shorter-Term Indebtedness, perfected security interests and Liens in the Collateral; provided that any such security interest or Lien shall be subject to the relevant requirements of the Security Documents, (ii) in the case of any Portfolio Investment consisting of a Bank Loan (as defined in Section 5.13) that does not constitute all of the credit extended to the underlying borrower under the relevant underlying loan documents and a Financing Subsidiary holds any interest in the loans or other extensions of credit under such loan documents, (x) to cause such Financing Subsidiary to be party to such underlying loan documents as a “lender” having a direct interest (or a participation not acquired from an Obligor) in such underlying loan documents and the extensions of credit thereunder and (y) to ensure that all amounts owing to such Obligor or Financing Subsidiary by the underlying borrower or other obligated party are remitted by such borrower or obligated party directly to separate accounts of such Obligor and such Financing Subsidiary, (iii) in the event that any Obligor is acting as an agent or administrative agent under any loan documents with respect to any Bank Loan that does not constitute all of the credit extended to the underlying borrower under the relevant underlying loan documents, to ensure that all funds held by such Obligor in such capacity as agent or administrative agent is segregated from all other funds of such Obligor and clearly identified as being held in an agency capacity and (iv) to cause the closing sets and all executed amendments, consents, forbearances and other modifications and assignment agreements relating to any Portfolio Investment and any other documents relating to any Portfolio Investment requested by the Collateral Agent, in each case, to be held by the Collateral Agent or a custodian pursuant to the terms of a custodian agreement reasonably satisfactory to the Collateral Agent. SECTION 5.09. Use of Proceeds. The Borrower will use the proceeds of the Loans only for ongoing working capital and for general corporate purposes of the Borrower, including the acquisition and funding (either directly or through one or more wholly-owned Subsidiaries) of leveraged loans, mezzanine loans, high-yield securities, convertible securities, preferred stock, common stock and other Portfolio Investments; provided that neither the Administrative Agent nor any Lender shall have any responsibility as to the use of any of such proceeds. No part of the proceeds of any Loan will be used in violation of applicable law or, directly or indirectly, for the purpose, whether immediate, incidental or ultimate, of buying or carrying any Margin Stock. Margin Stock shall be purchased by the Obligors only with the proceeds of Indebtedness not directly or indirectly secured by Margin Stock, or with the proceeds of equity capital of the Borrower. 94 #4887-1928-1343v2 SECTION 5.10. Status of RIC and BDC. The Borrower shall at all times, subject to applicable grace periods set forth in the Code, maintain its status as a RIC under the Code, and as a “business development company” under the Investment Company Act. SECTION 5.11. Investment Policies; Valuation Policy. (a) The Borrower shall at all times be in compliance with its Investment Policies (after giving effect to any Permitted Policy Amendments). (b) Upon the request of the Administrative Agent from time to time, the Borrower shall provide the assumptions and underlying analysis used in constructing its Valuation Policy. In addition, the Borrower shall provide to the Administrative Agent on a quarterly basis any valuation reports or presentations delivered to its Board of Directors or received from any Approved Third-Party Appraisers pursuant to Section 5.12(b)(ii). SECTION 5.12. Portfolio Valuation and Diversification Etc. (a) Industry Classification Groups. For purposes of this Agreement, the Borrower shall assign each Portfolio Investment to an Industry Classification Group. To the extent that any Portfolio Investment is not correlated with the risks of other Portfolio Investments in an Industry Classification Group, such Portfolio Investment may be assigned by the Borrower to an Industry Classification Group that is more closely correlated to such Portfolio Investment. In the absence of any correlation, the Borrower shall be permitted, upon prior notice to the Administrative Agent and each Lender, to create up to three additional industry classification groups for purposes of this Agreement. (b) Portfolio Valuation Etc. (i) Settlement Date Basis. For purposes of this Agreement, all determinations of whether an investment is to be included as a Portfolio Investment shall be determined on a settlement-date basis (meaning that any investment that has been purchased will not be treated as a Portfolio Investment until such purchase has settled, and any Portfolio Investment which has been sold will not be excluded as a Portfolio Investment until such sale has settled); provided that no such investment shall be included as a Portfolio Investment to the extent it has not been paid for in full. (ii) Determination of Values. The Borrower will conduct reviews of the value to be assigned to each of its Portfolio Investments as follows: (A) Quoted Investments - External Review. With respect to Portfolio Investments (including Cash Equivalents) for which market quotations are readily available, the Borrower shall, not less frequently than once each calendar week, determine the market value of such Portfolio Investments which shall, in each case, be determined in accordance with one of the following methodologies (as selected by the Borrower): (w) in the case of public and 144A securities, the average of the bid prices as determined by two Approved Dealers selected by the Borrower, 95 #4887-1928-1343v2 (x) in the case of bank loans, the bid price as determined by one Approved Dealer selected by the Borrower, (y) in the case of any Portfolio Investment traded on an exchange, the closing price for such Portfolio Investment most recently posted on such exchange, or (z) the fair market value thereof as determined by an Approved Pricing Service. At any time, not less than 30.0% of the aggregate value of all Portfolio Investments shall be Quoted Investments. (B) Unquoted Investments- External Review. With respect to each Portfolio Investment for which market quotations are not readily available, the Borrower shall, in accordance with its Valuation Policy, determine the fair market value of such Portfolio Investment. (C) Internal Review. The Borrower shall conduct internal reviews of all Portfolio Investments at least once each calendar week which shall take into account any events of which the Borrower has knowledge that adversely affect the value of the Portfolio Investments. If the value of any Portfolio Investment as most recently determined by the Borrower pursuant to this Section 5.12(b)(ii)(C) is lower than the value of such Portfolio Investment as most recently determined pursuant to Section 5.12(b)(ii)(A) and (B), such lower value shall be deemed to be the “Value” of such Portfolio Investment for purposes hereof; provided that the Value of any Portfolio Investment of the Borrower and its Subsidiaries shall be increased by the net unrealized gain as at the date such Value is determined of any Hedging Agreement entered into to hedge risks associated with such Portfolio Investment and reduced by the net unrealized loss as at such date of any such Hedging Agreement (such net unrealized gain or net unrealized loss, on any date, to be equal to the aggregate amount receivable or payable under the related Hedging Agreement if the same were terminated on such date). (D) Failure to Determine Values. If the Borrower shall fail to (x) determine the value of any Portfolio Investment as at any date pursuant to the requirements of the foregoing sub-clauses (A), (B) or (C), then the “Value” of such Portfolio Investment as at such date shall be deemed to be zero. (E) Testing of Values. (x) If, in its reasonable discretion, the Administrative Agent disagrees with the Borrower’s determination of the value of any Unquoted Investment determined in accordance with the foregoing sub-clause (B) by a material amount, the Administrative Agent shall at any time have the right to request that such Unquoted Investment be independently valued by an Approved Third-Party Appraiser selected by the Administrative Agent. There shall be no limit on the number of such appraisals requested by the


 
96 #4887-1928-1343v2 Administrative Agent and the costs of any such valuation shall be at the expense of the Borrower. If there is a difference between the Borrower’s valuation and the Approved Third-Party Appraiser’s valuation of any Unquoted Investment, the Value of such Unquoted Investment for Borrowing Base purposes shall be established as set forth in sub-clause (F) below. (F) Valuation Dispute Resolution. If the difference between the Borrower’s valuation pursuant to Section 5.12(b)(ii)(B) and the valuation of any Approved Third-Party Appraiser selected by the Administrative Agent pursuant to Section 5.12(b)(ii)(E) is (1) less than 5% of the value thereof, then the Borrower’s valuation shall be used, (2) between 5% and 20% of the value thereof, then the valuation of such Portfolio Investment shall be the average of the value determined by the Borrower and the value determined by the Approved Third-Party Appraiser retained by the Administrative Agent and (3) greater than 20% of the value thereof, then the Borrower and the Administrative Agent shall select an additional Approved Third-Party Appraiser and the valuation of such Portfolio Investment shall be the average of the three valuations (with the Administrative Agent’s Approved Third-Party Appraiser’s valuation to be used until the third valuation is obtained). Any change in valuation shall become effective upon the determination of such value. (c) RIC Diversification Requirements. The Borrower will, to the extent applicable, comply with the portfolio diversification requirements set forth in the Code applicable to RIC’s at each time such diversification requirements are subject to testing pursuant to the Code, subject in each case to applicable grace periods set forth in the Code. SECTION 5.13. Calculation of Borrowing Base. For purposes of this Agreement, the “Borrowing Base” shall be determined, as at any date of determination, as the sum of the Advance Rates of the Value of each Portfolio Investment (excluding any Cash Collateral held by the Administrative Agent pursuant to Section 2.05(k)); provided that: (a) the Advance Rate applicable to that portion of the aggregate Value of the Portfolio Investments in any single Industry Classification Group that exceeds 20% of the aggregate Value of all Portfolio Investments as of the end of the most recent fiscal quarter shall be 0%; provided that, with respect to the Portfolio Investments in a single Industry Classification Group from time to time designated by the Borrower to the Administrative Agent and approved by the Lenders in their sole discretion, such 20% figure shall be increased to 30% and, accordingly, only to the extent that the Value for such single Industry Classification Group exceeds 30% of the aggregate Value of all Portfolio Investments shall the Advance Rate applicable to such excess Value be 0%; (b) no Portfolio Investment may be included in the Borrowing Base unless the Collateral Agent maintains a first priority, perfected Lien (subject to Permitted Liens) on such Portfolio Investment and such Portfolio Investment has been Delivered (as defined in the Guarantee and Security Agreement) to the Collateral Agent, and then only for so long as such Portfolio Investment continues to be Delivered as contemplated therein; 97 #4887-1928-1343v2 (c) in the case of each of the largest two single issuers, the advance rate applicable to that portion of the aggregate Value of Portfolio Investments in such issuer exceeding 15% of the aggregate Value of all Portfolio Investments as of the end of the most recent fiscal quarter shall be 0%; (d) in the case of each of the third and fourth largest single issuers, the advance rate applicable to that portion of the aggregate Value of Portfolio Investments in such issuer exceeding 10% of the aggregate Value of all Portfolio Investments as of the end of the most recent fiscal quarter shall be 0%; (e) the Advance Rate applicable to that portion of the aggregate Value of Portfolio Investments in any single issuer not described by paragraph (c) or (d) above exceeding 7.5% of the aggregate Value of all Portfolio Investments as of the end of the most recent fiscal quarter shall be 0%; (f) the Advance Rate applicable to that portion of the aggregate Value of the five largest Portfolio Investments exceeding 50% of the aggregate Value of all Portfolio Investments as of the end of the most recent quarter shall be 0%; (g) the Advance Rate applicable to that portion of the aggregate Value of unsecured Portfolio Investments exceeding 50% of the aggregate Value of all Portfolio Investments as at the end of the most recent quarter shall be 0% (Cash being excluded solely for the purposes of calculating amounts pursuant to this clause (g)); (h) the Advance Rate applicable to that portion of the aggregate Value of the Portfolio Investments in Performing Cash Pay Preferred Stock exceeding 25% of the aggregate Value of all Portfolio Investments as of the end of the most recent quarter shall be 0%; the Advance Rate applicable to that portion of the aggregate Value of the of the Portfolio Investments in Performing Non-Cash Pay High Yield Investments, Performing Non-Cash Pay Mezzanine Securities and Performing Common Equity shall be 0% to the extent necessary so that no more than 20% of the Borrowing Base is attributable to such investments; (i) the Advance Rate applicable to that portion of the aggregate Value of the Portfolio Investments in Capital Stock (other than Preferred Stock) shall be 0% to the extent necessary so that no more than 10% of the Borrowing Base is attributable to such investments (it being understood that in no event shall Equity Interests of Financing Subsidiaries be included in the Borrowing Base); (j) the Advance Rate applicable to that portion of the aggregate Value of the of the Portfolio Investments in Performing Non-Cash Pay Mezzanine Securities, Performing Non- Cash Pay Preferred Stock and Performing Common Equity shall be 0% to the extent necessary so that no more than 25% of the Borrowing Base is attributable to such investments; (k) the Advance Rate applicable to that portion of the aggregate Value of Non- Performing Portfolio Investments shall be 0%; (l) the portion of the Borrowing Base attributable to Portfolio Investments invested outside the United States, Canada, the United Kingdom, Australia, Germany, France, 98 #4887-1928-1343v2 Belgium, the Netherlands, Luxembourg, Switzerland, Denmark, Finland, Norway and Sweden shall be 0% to the extent necessary so that no more than 5% of the Borrowing Base is attributable to such investments, unless otherwise consented to by the Administrative Agent; and (m) the Borrowing Base shall consist of Portfolio Investments in no fewer than 15 separate issuers. As used herein, the following terms have the following meanings: “Advance Rate” means, as to any Portfolio Investment and subject to adjustment as provided in Section 5.13, the following percentages with respect to such Portfolio Investment: Portfolio Investment Quoted Unquoted Cash and U.S. Government Securities with maturities less than one year 100% n.a. U.S. Government Securities with maturities greater than one year 95% n.a. Performing First Lien Bank Loans 85% 75% Performing Unitranche Loans 80% 70% Performing Second Lien Bank Loans 75% 65% Performing Cash Pay High Yield Securities 70% 60% Performing Cash Pay Secured Bonds 70% 60% Performing Cash Pay Mezzanine Securities 65% 55% Performing Non-Cash Pay High Yield Securities 60% 50% Performing Non-Cash Pay Secured Bonds 60% 50% Performing Non-Cash Pay Mezzanine Securities 55% 45% Performing Cash Pay Preferred Stock 65% 55% Performing Non-Cash Pay Preferred Stock 55% 45% Performing Common Equity (and zero cost or penny warrants with performing debt) 30% 20% Non-Performing First Lien Bank Loans 0% 0% Non-Performing Second Lien Bank Loans 0% 0% Non-Performing Cash Pay Mezzanine Securities 0% 0% Non-Performing High Yield Securities 0% 0% Non-Performing Secured Bonds 0% 0% Non-Performing Common Equity 0% 0% “Bank Loans” means debt obligations (including term loans, revolving loans, debtor-in-possession financings, the funded and unfunded portion of revolving credit lines and letter of credit facilities and other similar loans and investments including interim loans and senior subordinated loans) which are generally under a loan or credit facility (whether or not syndicated). “Capital Stock” of any Person means any and all shares of corporate stock (however designated) of and any and all other Equity Interests and participations representing ownership interests (including membership interests and limited liability company interests) in, such Person. 99 #4887-1928-1343v2 “Cash” has the meaning assigned to such term in Section 1.01 of the Credit Agreement. “Cash Equivalents” has the meaning assigned to such term in Section 1.01 of the Credit Agreement. “First Lien Bank Loan” means a Bank Loan that is entitled to the benefit of a first lien and first priority perfected security interest (subject to Liens for “ABL” revolvers and customary encumbrances) on a substantial portion of the assets of the respective borrower and guarantors obligated in respect thereof. “High Yield Securities” means debt Securities and Preferred Stock, in each case (a) issued by public or private issuers, (b) issued pursuant to an effective registration statement or pursuant to Rule 144A under the Securities Act (or any successor provision thereunder) or other exemption to the Securities Act and (c) that are not Cash Equivalents, Mezzanine Securities or Bank Loans. “Mezzanine Securities” means debt Securities (including convertible debt Securities (other than the “in-the-money” equity component thereof)) and Preferred Stock in each case (a) issued by public or private issuers, (b) issued without registration under the Securities Act, (c) not issued pursuant to Rule 144A under the Securities Act (or any successor provision thereunder), (d) that are not Cash Equivalents and (e) contractually subordinated in right of payment to other debt of the same issuer. “Non-Performing Common Equity” means Capital Stock (other than Preferred Stock) and warrants of an issuer having any debt outstanding that is non-Performing. “Non-Performing First Lien Bank Loans” means First Lien Bank Loans other than Performing First Lien Bank Loans. “Non-Performing High Yield Securities” means High Yield Securities other than Performing High Yield Securities. “Non-Performing Mezzanine Securities” means Mezzanine Securities other than Performing Mezzanine Securities. “Non-Performing Portfolio Investment” means Portfolio Investments for which the issuer is in default of any payment obligations of principal or interest in respect thereof after the expiration of any applicable grace period. “Non-Performing Second Lien Bank Loans” means Second Lien Bank Loans other than Performing Second Lien Bank Loans. “Non-Performing Secured Bonds” means Secured Bonds other than Performing Secured Bonds. “Performing” means (a) with respect to any Portfolio Investment that is debt, the issuer of such Portfolio Investment is not in default of any payment obligations in respect thereof


 
100 #4887-1928-1343v2 after the expiration of any applicable grace period and (b) with respect to any Portfolio Investment that is Preferred Stock, the issuer of such Portfolio Investment has not failed to meet any scheduled redemption obligations or to pay its latest declared cash dividend, after the expiration of any applicable grace period. “Performing Cash Pay High Yield Securities” means High Yield Securities (a) as to which, at the time of determination, not less than 2/3rds of the interest (including accretions and “pay-in-kind” interest) for the current monthly, quarterly, semiannual or annual period (as applicable) is payable in cash and (b) which are Performing. “Performing Cash Pay Mezzanine Securities” means Mezzanine Securities (a) as to which, at the time of determination, not less than 2/3rds of the interest (including accretions and “pay-in-kind” interest) for the current monthly, quarterly, semi-annual or annual period (as applicable) is payable in cash and (b) which are Performing. “Performing Cash Pay Preferred Stock” means Preferred Stock (a) as to which, at the time of determination, not less than 2/3rds of the dividends (including accretions and “pay-in- kind” dividends) for the current monthly, quarterly, semi-annual or annual period (as applicable) is payable in cash and (b) which are Performing. “Performing Cash Pay Secured Bonds” means Secured Bonds (a) as to which, at the time of determination, not less than 2/3rds of the interest (including accretions and “pay-in- kind” interest) for the current monthly, quarterly, semiannual or annual period (as applicable) is payable in cash and (b) which are Performing. “Performing Common Equity” means Capital Stock (other than Preferred Stock) and zero cost or penny warrants of an issuer all of whose outstanding debt is Performing. “Performing First Lien Bank Loans” means First Lien Bank Loans which are Performing. “Performing Non-Cash Pay High Yield Securities” means Performing High Yield Securities other than Performing Cash Pay High Yield Securities. “Performing Non-Cash Pay Mezzanine Securities” means Performing Mezzanine Securities other than Performing Cash Pay Mezzanine Securities. “Performing Non-Cash Pay Secured Bonds” means Performing Secured Bonds other than Performing Cash Pay Secured Bonds. “Performing Second Lien Bank Loans” means Second Lien Bank Loans which are Performing. “Preferred Stock,” as applied to the Capital Stock of any Person, means Capital Stock of such Person of any class or classes (however designated) that ranks prior, as to the payment of dividends or as to the distribution of assets upon any voluntary or involuntary liquidation, dissolution or winding up of such Person, to any shares (or other interests) of other 101 #4887-1928-1343v2 Capital Stock of such Person, and shall include, without limitation, cumulative preferred, non- cumulative preferred, participating preferred and convertible preferred Capital Stock. “Second Lien Bank Loan” means a Bank Loan that is entitled to the benefit of a second lien and second priority perfected security interest (subject to customary encumbrances) on specified assets of the respective borrower and guarantors obligated in respect thereof. “Secured Bonds” means bonds that are entitled to the benefit of a lien and perfected security interest on specified assets of the respective issuer and guarantors obligated in respect thereof. “Securities” means common and preferred stock, units and participations, member interests in limited liability companies, partnership interests in partnerships, notes, bonds, debentures, trust receipts and other obligations, instruments or evidences of indebtedness, including debt instruments of public and private issuers and tax-exempt securities (including warrants, rights, put and call options and other options relating thereto, representing rights, or any combination thereof) and other property or interests commonly regarded as securities or any form of interest or participation therein, but not including Bank Loans. “Securities Act” means the United States Securities Act of 1933, as amended. “U.S. Government Securities” has the meaning assigned to such term in Section 1.01. “Unitranche Loan” means a Bank Loan that is a First Lien Bank Loan, a portion of which is, in effect, subject to superpriority rights of other lenders following an event of default (such portion, a “second out” portion). The Borrower’s investment in the second out portion shall be treated as a Unitranche Loan for purposes of determining the applicable Advance Rate for such Portfolio Investment under this Agreement. “Value” means, with respect to any Portfolio Investment, the lower of: (i) the most recent internal market value as determined pursuant to Section 5.12(b)(ii)(C) and (ii) the most recent external market value as determined pursuant to Section 5.12(b)(ii)(A) and (B). ARTICLE VI NEGATIVE COVENANTS Until the Commitments have expired or terminated and the principal of and interest on each Loan and all fees payable hereunder have been paid in full and all Letters of Credit have expired, been terminated, Cash Collateralized or backstopped and all LC Disbursements shall have been reimbursed, the Borrower covenants and agrees with the Lenders that: 102 #4887-1928-1343v2 SECTION 6.01. Indebtedness. Subject to the last sentence of this Section 6.01, the Borrower will not, nor will it permit any of the Subsidiary Guarantors to, create, incur, assume or permit to exist any Indebtedness, except: (a) Indebtedness created hereunder or existing on the Restatement Effective Date and set forth in Part A of Schedule 3.11; (b) Secured Longer-Term Indebtedness and Unsecured Longer-Term Indebtedness so long as (i) no Default exists at the time of the incurrence thereof, (ii) the aggregate amount of such Secured Longer-Term Indebtedness and Unsecured Longer-Term Indebtedness, taken together with other then-outstanding Indebtedness, does not exceed the amount required to comply with the provisions of Section 6.07(b), and (iii) prior to and immediately after giving effect to the incurrence of any Secured Longer-Term Indebtedness, the Covered Debt Amount does not or would not exceed the Borrowing Base then in effect; (c) Other Permitted Indebtedness; (d) Guarantees of Indebtedness otherwise permitted hereunder; (e) Indebtedness of any Obligor owing to any other Obligor or, if such Indebtedness is subject to subordination terms and conditions that are satisfactory to the Administrative Agent, any other Subsidiary of the Borrower; (f) Indebtedness of Financing Subsidiaries, Immaterial Subsidiaries and Foreign Subsidiaries; (g) repurchase obligations with respect to U.S. Government Securities or limited recourse debt facilities used solely to purchase U.S. Government Securities in which the recourse is limited to such U.S. Government Securities, in each case arising in the ordinary course of business and which repurchase obligations or limited recourse debt facilities may be fully collateralized; (h) obligations payable to clearing agencies, brokers or dealers in connection with the purchase or sale of securities in the ordinary course of business; (i) Secured Shorter-Term Indebtedness and Unsecured Shorter-Term Indebtedness so long as (i) no Default exists at the time of the incurrence thereof, (ii) the aggregate amount (determined at the time of the incurrence of such Indebtedness) of such Indebtedness does not exceed the greater of (A) $35,000,000 and (B) 5% of Shareholders’ Equity, (iii) the aggregate amount of such Indebtedness, taken together with other then-outstanding Indebtedness, does not exceed the amount required to comply with the provisions of Section 6.07, and (iv) prior to and immediately after giving effect to the incurrence of any such Indebtedness, the Covered Debt Amount does not or would not exceed the Borrowing Base then in effect; (j) obligations (including Guarantees) in respect of Standard Securitization Undertakings; and (k) Permitted SBIC Guarantees; 103 #4887-1928-1343v2 provided, that, in each case, the Borrower shall not be permitted to incur any Indebtedness otherwise permitted under this Section 6.01, if, immediately after the incurrence of such Indebtedness and after giving pro forma effect thereto, the Debt to Equity Ratio exceeds 1.65 to 1.00. SECTION 6.02. Liens. The Borrower will not, nor will it permit any of the Subsidiary Guarantors to, create, incur, assume or permit to exist any Lien on any property or asset now owned or hereafter acquired by it, or assign or sell any income or revenues (including accounts receivable) or rights in respect of any thereof except: (a) any Lien on any property or asset of the Borrower existing on the Restatement Effective Date and set forth in Part B of Schedule 3.11; provided that (i) no such Lien shall extend to any other property or asset of the Borrower or any of the Subsidiary Guarantors, and (ii) any such Lien shall secure only those obligations which it secures on the Restatement Effective Date and extensions, renewals and replacements thereof that do not increase the outstanding principal amount thereof; (b) Liens created pursuant to this Agreement (including Section 2.19) or any of the Security Documents (including Liens in favor of the Designated Indebtedness Holders (as defined in the Guarantee and Security Agreement)); (c) Liens on the assets of a Financing Subsidiary (or on the Equity Interests of such Financing Subsidiary to the extent securing Indebtedness of such Financing Subsidiary), Immaterial Subsidiary or Foreign Subsidiary securing obligations of such Financing Subsidiary, Immaterial Subsidiary or Foreign Subsidiary; (d) Liens on Special Equity Interests included in the Portfolio Investments of the Borrower but only to the extent securing obligations in the manner provided in the definition of “Special Equity Interests” in Section 1.01; (e) Liens securing Indebtedness or other obligations in an aggregate principal amount not exceeding $10,000,000 at any one time outstanding (which may cover Portfolio Investments, but only to the extent released from the Lien in favor of the Collateral Agent pursuant to Section 10.03 of the Guarantee and Security Agreement), so long as at the time of incurrence of such Indebtedness or other obligations, the aggregate amount of Indebtedness permitted under clauses (a), (b) and (i) of Section 6.01, does not exceed the lesser of (i) the Borrowing Base and (ii) the amount required to comply with the provisions of Section 6.07(b); (f) Permitted Liens; (g) Liens on Equity Interests in any SBIC Subsidiary created in favor of the SBA; (h) Liens securing Hedging Agreements permitted under Section 6.04(c) and not otherwise permitted under clause (b) above in an aggregate amount not to exceed $5,000,000 at any time; and


 
104 #4887-1928-1343v2 (i) Liens in connection with repurchase obligations with respect to U.S. Government Securities incurred in the ordinary course of business or limited recourse debt facilities used to purchase U.S. Government Securities incurred in the ordinary course of business in which the recourse is limited to such U.S. Government Securities, provided that such Liens (i) attach only to such U.S. Government Securities (or proceeds) being purchased or sold and (ii) secure only obligations incurred in connection with such purchase or sale. SECTION 6.03. Fundamental Changes. The Borrower will not, nor will it permit any of the Subsidiary Guarantors to, enter into any transaction of merger or consolidation or amalgamation, or liquidate, wind up or dissolve itself (or suffer any liquidation or dissolution). The Borrower will not, nor will it permit any of the Subsidiary Guarantors to, acquire any business or property from, or capital stock of, or be a party to any acquisition of, any Person, except for purchases or acquisitions of Portfolio Investments and other assets in the normal course of the day- to-day business activities of the Borrower and its Subsidiaries and not in violation of the terms and conditions of this Agreement or any other Loan Document. The Borrower will not, nor will it permit any of the Subsidiary Guarantors to, convey, sell, lease, transfer or otherwise dispose of, in one transaction or a series of transactions, any part of its assets, whether now owned or hereafter acquired, but excluding (x) assets (other than Portfolio Investments) sold or disposed of in the ordinary course of business (including to make expenditures of cash in the normal course of the day-to-day business activities of the Borrower and its Subsidiaries) and (y) subject to the provisions of clauses (d) and (e) below, Portfolio Investments. Notwithstanding the foregoing provisions of this Section: (a) any Subsidiary Guarantor of the Borrower may be merged or consolidated with or into the Borrower or any other Subsidiary Guarantor; provided that if any such transaction shall be between a Subsidiary Guarantor and a wholly owned Subsidiary Guarantor, the wholly owned Subsidiary Guarantor shall be the continuing or surviving corporation; (b) any Subsidiary Guarantor of the Borrower may sell, lease, transfer or otherwise dispose of any or all of its assets (upon voluntary liquidation or otherwise) to the Borrower or any Subsidiary Guarantor of the Borrower; (c) the capital stock of any Subsidiary of the Borrower may be sold, transferred or otherwise disposed of to the Borrower or any Subsidiary Guarantor of the Borrower; (d) the Obligors may sell, transfer or otherwise dispose of Portfolio Investments (other than to a Financing Subsidiary) so long as after giving effect to such sale, transfer or other disposition (and any concurrent acquisitions of Portfolio Investments or payment of outstanding Loans or Other Covered Indebtedness) the Covered Debt Amount does not exceed the Borrowing Base; (e) the Obligors may sell, transfer or otherwise dispose of Portfolio Investments to a Financing Subsidiary so long as after giving effect to such sale, transfer or other disposition (and any concurrent acquisitions of Portfolio Investments or payment of outstanding Loans or Other Covered Indebtedness) the Covered Debt Amount does not exceed the Borrowing Base and the Borrower delivers to the Administrative Agent a certificate of a Financial Officer to such effect; 105 #4887-1928-1343v2 (f) the Borrower may merge or consolidate with any other Person so long as (i) the Borrower is the continuing or surviving entity in such transaction and (ii) at the time thereof and after giving effect thereto, no Default shall have occurred or be continuing; and (g) the Borrower and each of the Subsidiary Guarantors may sell, lease, transfer or otherwise dispose of equipment or other property or assets that do not consist of Portfolio Investments so long as the aggregate amount of all such sales, leases, transfer and dispositions does not exceed $5,000,000 in any fiscal year. SECTION 6.04. Investments. The Borrower will not, nor will it permit any of the Subsidiary Guarantors to, acquire, make or enter into, or hold, any Investments except: (a) operating deposit accounts with banks; (b) Investments by the Borrower and the Subsidiary Guarantors in the Borrower and the Subsidiary Guarantors and Immaterial Subsidiaries; (c) Hedging Agreements entered into in the ordinary course of the Borrower’s financial planning and not for speculative purposes; (d) Portfolio Investments by the Borrower and its Subsidiaries to the extent such Portfolio Investments are permitted under the Investment Company Act and the Borrower’s Investment Policies as in effect as of the date such Portfolio Investments are acquired; (e) Investments in any Financing Subsidiary so long as, immediately after giving effect to such Investment, the Covered Debt Amount does not exceed the Borrowing Base; (f) additional Investments up to but not exceeding $10,000,000 in the aggregate; (g) Investments in Cash and Cash Equivalents; (h) Investments described on Schedule 3.12(b); (i) Investments by a Financing Subsidiary; and (j) Investments in the form of Guarantees permitted pursuant to Section 6.01. For purposes of clause (f) of this Section, the aggregate amount of an Investment at any time shall be deemed to be equal to (A) the aggregate amount of Cash, together with the aggregate fair market value of property, loaned, advanced, contributed, transferred or otherwise invested that gives rise to such Investment minus (B) the aggregate amount of dividends, distributions or other payments received in cash in respect of such Investment; provided that in no event shall the aggregate amount of such Investment be deemed to be less than zero; the amount of an Investment shall not in any event be reduced by reason of any write-off of such Investment nor increased by any increase in the amount of earnings retained in the Person in which such Investment is made that have not been dividended, distributed or otherwise paid out. 106 #4887-1928-1343v2 SECTION 6.05. Restricted Payments. The Borrower will not, nor will it permit any of the Subsidiary Guarantors to, declare or make, or agree to pay or make, directly or indirectly, any Restricted Payment, except that the Borrower may declare and pay: (a) dividends with respect to the capital stock of the Borrower payable solely in additional shares of the Borrower’s common stock; (b) dividends and distributions in either case in Cash or other property (excluding for this purpose the Borrower’s common stock) in any taxable year of the Borrower in amounts not to exceed the amount that is determined in good faith by the Borrower to be required to (i) maintain the status of the Borrower as a RIC, and (ii) avoid federal excise taxes for such taxable year imposed by Section 4982 of the Code; (c) dividends and distributions in each case in Cash or other property (excluding for this purpose the Borrower’s common stock) in addition to the dividends and distributions permitted under the foregoing clauses (a) and (b), so long as on the date of such Restricted Payment and after giving effect thereto: (i) no Default shall have occurred and be continuing or would result therefrom; and (ii) the aggregate amount of Restricted Payments made during any taxable year of the Borrower after the date hereof under this clause (c) shall not exceed the difference of (x) an amount equal to 10% of the taxable income of the Borrower for such taxable year determined under section 852(b)(2) of the Code, but without regard to subparagraphs (A), (B) or (D) thereof, minus (y) the amount, if any, by which dividends and distributions made during such taxable year pursuant to the foregoing clause (b) (whether in respect of such taxable year or the previous taxable year) based upon the Borrower’s estimate of taxable income exceeded the actual amounts specified in subclauses (i) and (ii) of such foregoing clause (b) for such taxable year; and (d) other Restricted Payments so long as (i) on the date of such other Restricted Payment and after giving effect thereto (x) the Covered Debt Amount does not exceed 90% of the Borrowing Base and (y) no Default shall have occurred and be continuing or would result therefrom and (ii) on the date of such other Restricted Payment the Borrower delivers to the Administrative Agent and each Lender a Borrowing Base Certificate as at such date demonstrating compliance with subclause (x) after giving effect to such Restricted Payment. For purposes of preparing such Borrowing Base Certificate, (A) the fair market value of Portfolio Investments for which market quotations are readily available shall be the most recent quotation available for such Portfolio Investment and (B) the fair market value of Portfolio Investments for which market quotations are not readily available shall be the Value set forth in the Borrowing Base Certificate most recently delivered by the Borrower to the Administrative Agent and the Lenders pursuant to Section 5.01(d); provided that the Borrower shall reduce the Value of any Portfolio Investment referred to in this sub-clause (B) to the extent necessary to take into account any events of which the Borrower has knowledge that adversely affect the value of such Portfolio Investment. 107 #4887-1928-1343v2 Nothing herein shall be deemed to prohibit the payment of Restricted Payments by any Subsidiary of the Borrower to the Borrower or to any other Subsidiary Guarantor. SECTION 6.06. Certain Restrictions on Subsidiaries. The Borrower will not permit any of its Subsidiaries (other than Financing Subsidiaries) to enter into or suffer to exist any indenture, agreement, instrument or other arrangement (other than the Loan Documents) that prohibits or restrains, in each case in any material respect, or imposes materially adverse conditions upon, the incurrence or payment of Indebtedness, the declaration or payment of dividends, the making of loans, advances, guarantees or Investments or the sale, assignment, transfer or other disposition of property to the Borrower by any Subsidiary; provided that the foregoing shall not apply to (i) indentures, agreements, instruments or other arrangements pertaining to other Indebtedness permitted hereby (provided that such restrictions would not adversely affect the exercise of rights or remedies of the Administrative Agent or the Lenders hereunder or under the Security Documents or restrict any Subsidiary in any manner from performing its obligations under the Loan Documents) and (ii) indentures, agreements, instruments or other arrangements pertaining to any lease, sale or other disposition of any asset permitted by this Agreement or any Lien permitted by this Agreement on such asset so long as the applicable restrictions only apply to the assets subject to such lease, sale, other disposition or Lien. SECTION 6.07. Certain Financial Covenants. (a) Minimum Shareholders’ Equity. The Borrower will not permit Shareholders’ Equity at the last day of any fiscal quarter of the Borrower to be less than $350,000,000 plus 25% of the net proceeds of the sale of Equity Interests by the Borrower and its Subsidiaries after the Restatement Effective Date (other than proceeds of sales of Equity Interests by and among the Borrower and its Subsidiaries). (b) Asset Coverage Ratio. The Borrower will not permit the Asset Coverage Ratio (i) immediately after any Borrowing hereunder, or (ii) on the last day of any fiscal quarter of the Borrower, to be less than 1.50 to 1. (c) Liquidity Test. The Borrower will not permit (a) the sum of (i) the aggregate Value of the Portfolio Investments that are Cash (excluding Cash Collateral for outstanding Letters of Credit) or that can be converted to Cash in fewer than 10 Business Days without more than a 5% change in price, plus (ii) the aggregate amount of Relevant Available Funds that can be converted to Cash in fewer than 10 Business Days, to be less than (b) 10% of the Covered Debt Amount, for more than 30 consecutive Business Days during any period when the Adjusted Covered Debt Balance is greater than 90% of the Adjusted Borrowing Base. (d) Maximum Secured Debt Ratio. The Borrower will not permit the Secured Debt Ratio at any time to exceed 0.70 to 1.00 SECTION 6.08. Transactions with Affiliates. The Borrower will not, and will not permit any of its Subsidiaries to enter into any transactions with any of its Affiliates, even if otherwise permitted under this Agreement, except (a) transactions in the ordinary course of business at prices and on terms and conditions not less favorable to the Borrower or such Subsidiary (other than a SBIC Subsidiary) than could be obtained on an arm’s-length basis from


 
108 #4887-1928-1343v2 unrelated third parties, (b) transactions between or among the Borrower and its Subsidiaries not involving any other Affiliate, (c) transactions permitted by Section 6.03(a), (b), (c) and (e), (d) Restricted Payments permitted by Section 6.05, (e) transactions described on Schedule 6.08, (f) any Investment that results in the creation of an Affiliate or (g) transactions between or among the Obligors and any SBIC Subsidiary or Financing Subsidiary or any “downstream affiliate” (as such term is used under the rules promulgated under the Investment Company Act) company of an Obligor at prices and on terms and conditions not less favorable to the Obligors than could be obtained at the time on an arm’s-length basis from unrelated third parties. SECTION 6.09. Lines of Business. The Borrower will not, nor will it permit any of the Subsidiary Guarantors to, engage to any material extent in any business other than in accordance with its Investment Policies. The Borrower will not, nor will it permit any of its Subsidiaries to amend or modify the Investment Policies (other than a Permitted Policy Amendment). SECTION 6.10. No Further Negative Pledge. The Borrower will not, and will not permit any of the Subsidiary Guarantors to, enter into any agreement, instrument, deed or lease which prohibits or limits the ability of any Obligor to create, incur, assume or suffer to exist any Lien upon any of its properties, assets or revenues, whether now owned or hereafter acquired, or which requires the grant of any security for an obligation if security is granted for another obligation, except the following: (a) this Agreement, the other Loan Documents and documents with respect to Indebtedness permitted under Section 6.01(b) or (i); (b) covenants in documents creating Liens permitted by Section 6.02 (including covenants with respect to the Designated Indebtedness Obligations or Designated Indebtedness Holders under (and, in each case, as defined in) the Security Documents) prohibiting further Liens on the assets encumbered thereby; (c) customary restrictions contained in leases not subject to a waiver; (d) any such agreement that imposes restrictions on investments or other interests in Financing Subsidiaries (but no other assets of any Obligor); and (e) any other agreement that does not restrict in any manner (directly or indirectly) Liens created pursuant to the Loan Documents on any Collateral securing the “Secured Obligations” under and as defined in the Guarantee and Security Agreement and does not require the direct or indirect granting of any Lien securing any Indebtedness or other obligation by virtue of the granting of Liens on or pledge of property of any Obligor to secure the Loans or any Hedging Agreement. SECTION 6.11. Modifications of Longer-Term Indebtedness Documents. The Borrower will not, nor will it permit any of the Subsidiary Guarantors to, consent to any modification, supplement or waiver of any of the provisions of any agreement, instrument or other document evidencing or relating to any Secured Longer-Term Indebtedness or Unsecured Longer- Term Indebtedness that would result in such Indebtedness not meeting the requirements of the definition of “Secured Longer-Term Secured Indebtedness” and “Unsecured Longer-Term Indebtedness”, as applicable, set forth in Section 1.01 of this Agreement, unless (i) in the case of Secured Longer-Term Indebtedness, such Indebtedness would have been permitted to be incurred as Secured Shorter-Term Indebtedness at the time of such modification, supplement or waiver and the Borrower so designates such Indebtedness as “Secured Shorter-Term Indebtedness” (whereupon such Indebtedness shall be deemed to constitute “Secured Shorter-Term Indebtedness” for all purposes of this Agreement) and (ii) in the case of Unsecured Longer-Term Indebtedness, such Indebtedness would have been permitted to be incurred as Unsecured Shorter- 109 #4887-1928-1343v2 Term Indebtedness at the time of such modification, supplement or waiver and the Borrower so designates such Indebtedness as “Unsecured Shorter-Term Indebtedness” (whereupon such Indebtedness shall be deemed to constitute “Unsecured Shorter-Term Indebtedness” for all purposes of this Agreement). SECTION 6.12. Payments of Longer-Term Indebtedness. The Borrower will not, nor will it permit any of the Subsidiary Guarantors to, purchase, redeem, retire or otherwise acquire for value, or set apart any money for a sinking, defeasance or other analogous fund for the purchase, redemption, retirement or other acquisition of or make any voluntary payment or prepayment of the principal of or interest on, or any other amount owing in respect of, any Secured Longer-Term Indebtedness or Unsecured Longer-Term Indebtedness (other than the refinancing of Secured Longer-Term Indebtedness or Unsecured Longer-Term Indebtedness with Indebtedness permitted under Section 6.01), except for (a) regularly scheduled payments, prepayments or redemptions of principal and interest in respect thereof required pursuant to the instruments evidencing such Indebtedness, (it being understood that none of: (w) the conversion features under convertible notes; (x) the triggering and/or settlement thereof; or (y) any cash payment made in respect thereof, shall constitute a “regularly scheduled payment, prepayment or redemption of principal and interest” within the meaning of this clause (a)); (b) so long as no Default shall exist or be continuing, any payment that, if treated as a Restricted Payment for purposes of Section 6.05(d), would be permitted to be made pursuant to the provisions set forth in Section 6.05(d); and (c) voluntary payments or prepayments of Secured Longer-Term Indebtedness, so long as both before and after giving effect to such voluntary payment or prepayment (i) the Borrower is in pro forma compliance with the financial covenants set forth in Section 6.07 and (ii) no Default shall exist or be continuing. SECTION 6.13. Accounting Changes. The Borrower will not, nor will it permit any of its Subsidiaries to, make any change in (a) accounting policies or reporting practices, except as permitted under GAAP or required by law or rule or regulation of any Governmental Authority, or (b) its fiscal year. SECTION 6.14. SBIC Guarantee. The Borrower will not, nor will it permit any of its Subsidiaries to, cause or permit the occurrence of any event or condition that would result in any recourse to any Obligor under any Permitted SBIC Guarantee. ARTICLE VII EVENTS OF DEFAULT If any of the following events (“Events of Default”) shall occur and be continuing: (a) the Borrower shall (i) fail to pay any principal of any Loan or any reimbursement obligation in respect of any LC Disbursement when and as the same shall become due and payable, whether at the due date thereof or at a date fixed for prepayment thereof or otherwise or (ii) fail to deposit any amount into the Letter of Credit Collateral Account as required by Section 2.05(d); 110 #4887-1928-1343v2 (b) the Borrower shall fail to pay any interest on any Loan or any fee or any other amount (other than an amount referred to in clause (a) of this Article) payable under this Agreement or under any other Loan Document, when and as the same shall become due and payable, and such failure shall continue unremedied for a period of five or more Business Days; (c) any representation or warranty made or deemed made by or on behalf of the Borrower or any of its Subsidiaries in or in connection with this Agreement or any other Loan Document or any amendment or modification hereof or thereof, or in any report, certificate, financial statement or other document furnished pursuant to or in connection with this Agreement or any other Loan Document or any amendment or modification hereof or thereof, shall prove to have been incorrect when made or deemed made in any material respect; (d) the Borrower shall fail to observe or perform any covenant, condition or agreement contained in (i) Section 5.03 (with respect to the Borrower’s existence) or Sections 5.08(a) and (b) or in Article VI or any Obligor shall default in the performance of any of its obligations contained in Sections 3 and 7 of the Guarantee and Security Agreement or (ii) Sections 5.01(e) and (f) or 5.02 and such failure shall continue unremedied for a period of five or more days after notice thereof by the Administrative Agent (given at the request of any Lender) to the Borrower; (e) a Borrowing Base Deficiency shall occur and continue unremedied for a period of five or more Business Days after delivery of a Borrowing Base Certificate demonstrating such Borrowing Base Deficiency pursuant to Section 5.01(e); provided that it shall not be an Event of Default hereunder if the Borrower shall present the Administrative Agent with a reasonably feasible plan acceptable to the Required Lenders in their sole discretion to enable such Borrowing Base Deficiency to be cured within 30 Business Days (which 30-Business Day period shall include the five Business Days permitted for delivery of such plan), so long as such Borrowing Base Deficiency is cured within such 30-Business Day period; (f) the Borrower or any Obligor, as applicable, shall fail to observe or perform any covenant, condition or agreement contained in this Agreement (other than those specified in clause (a), (b), (d), (e) or (s) of this Article) or any other Loan Document and such failure shall continue unremedied for a period of 30 or more days after notice thereof from the Administrative Agent (given at the request of any Lender) to the Borrower; (g) the Borrower or any of its Subsidiaries shall fail to make any payment (whether of principal or interest and regardless of amount) in respect of any Material Indebtedness, when and as the same shall become due and payable, taking into account any applicable grace period; (h) any event or condition occurs that results in any Material Indebtedness becoming due prior to its scheduled maturity or shall continue unremedied for any applicable period of time sufficient to enable or permit the holder or holders of any Material Indebtedness or any trustee or agent on its or their behalf to cause any Material Indebtedness to become due, or to require the prepayment, repurchase, redemption or defeasance thereof, prior to its scheduled maturity; provided that this clause (h) shall not apply to (1) secured Indebtedness that becomes due as a result of the voluntary sale or transfer of the property or assets securing such Indebtedness; 111 #4887-1928-1343v2 or (2) convertible debt that becomes due as a result of a conversion or redemption event, other than as a result of an “event of default” (as defined in the documents governing such convertible Material Indebtedness); (i) an involuntary proceeding shall be commenced or an involuntary petition shall be filed seeking (i) liquidation, reorganization or other relief in respect of the Borrower or any of its Subsidiaries (other than Immaterial Subsidiaries) or its debts, or of a substantial part of its assets, under any Federal, state or foreign bankruptcy, insolvency, receivership or similar law now or hereafter in effect or (ii) the appointment of a receiver, trustee, custodian, sequestrator, conservator or similar official for the Borrower or any of its Subsidiaries (other than Immaterial Subsidiaries) or for a substantial part of its assets, and, in any such case, such proceeding or petition shall continue undismissed and unstayed for a period of 60 or more days or an order or decree approving or ordering any of the foregoing shall be entered; (j) the Borrower or any of its Subsidiaries (other than Immaterial Subsidiaries) shall (i) voluntarily commence any proceeding or file any petition seeking liquidation, reorganization or other relief under any Federal, state or foreign bankruptcy, insolvency, receivership or similar law now or hereafter in effect, (ii) consent to the institution of, or fail to contest in a timely and appropriate manner, any proceeding or petition described in clause (i) of this Article, (iii) apply for or consent to the appointment of a receiver, trustee, custodian, sequestrator, conservator or similar official for the Borrower or any of its Subsidiaries (other than Immaterial Subsidiaries) or for a substantial part of its assets, (iv) file an answer admitting the material allegations of a petition filed against it in any such proceeding, (v) make a general assignment for the benefit of creditors or (vi) take any action for the purpose of effecting any of the foregoing; (k) the Borrower or any of its Subsidiaries (other than Immaterial Subsidiaries) shall become unable, admit in writing its inability or fail generally to pay its debts as they become due; (l) one or more judgments for the payment of money in an aggregate amount in excess of $25,000,000 shall be rendered against the Borrower or any of its Subsidiaries (other than Immaterial Subsidiaries) or any combination thereof and the same shall remain undischarged for a period of 30 consecutive days during which execution shall not be effectively stayed, or any action shall be legally taken by a judgment creditor to attach or levy upon any assets of the Borrower or any of its Subsidiaries (other than Immaterial Subsidiaries) to enforce any such judgment; (m) an ERISA Event shall have occurred that, in the opinion of the Required Lenders, when taken together with all other ERISA Events that have occurred, could reasonably be expected to result in a Material Adverse Effect; (n) a Change in Control shall occur; (o) the Borrower shall cease to be managed by the External Manager or an Affiliate thereof;


 
112 #4887-1928-1343v2 (p) the Liens created by the Security Documents shall, at any time with respect to Portfolio Investments having an aggregate Value in excess of 5% of the aggregate Value of all Portfolio Investments, not be valid and perfected or are asserted not to be valid and perfected (to the extent perfection by filing, registration, recordation, possession or control is required herein or therein) in favor of the Administrative Agent, free and clear of all other Liens (other than Liens permitted under Section 6.02 or under the respective Security Documents) except to the extent that any such loss of perfection or asserted loss of perfection results from the failure of the Collateral Agent to maintain possession of the certificates representing the securities pledged under the Loan Documents; (q) except for expiration or termination in accordance with its terms, any of the Loan Documents shall for whatever reason be terminated or cease to be in full force and effect in any material respect, or the enforceability thereof shall be contested by the Borrower or any other Obligor; (r) the Obligors shall at any time, without the consent of the Required Lenders, fail to comply with the covenant contained in Section 5.11(a), and such failure shall continue unremedied for a period of 30 or more days after the earlier of notice thereof by the Administrative Agent (given at the request of any Lender) to the Borrower or knowledge thereof by a Financial Officer; or (s) the Borrower or any of its Subsidiaries shall cause or permit the occurrence of any condition or event that would result in any recourse to any Obligor under any Permitted SBIC Guarantee; then, and in every such event (other than an event with respect to the Borrower described in clause (i) or (j) of this Article), and at any time thereafter during the continuance of such event, the Administrative Agent may, and at the request of the Required Lenders shall, by notice to the Borrower, take either or both of the following actions, at the same or different times: (i) terminate the Commitments, and thereupon the Commitments shall terminate immediately, and (ii) declare the Loans then outstanding to be due and payable in whole (or in part, in which case any principal not so declared to be due and payable may thereafter be declared to be due and payable), and thereupon the principal of the Loans so declared to be due and payable, together with accrued interest thereon and all fees and other obligations of the Borrower accrued hereunder and under the other Loan Documents, shall become due and payable immediately, without presentment, demand, protest or other notice of any kind, all of which are hereby waived by the Borrower; and in case of any event with respect to the Borrower described in clause (i) or (j) of this Article, the Commitments shall automatically terminate and the principal of the Loans then outstanding, together with accrued interest thereon and all fees and other obligations of the Borrower accrued hereunder and under the other Loan Documents, shall automatically become due and payable, without presentment, demand, protest or other notice of any kind, all of which are hereby waived by the Borrower. In the event that the Loans shall be declared, or shall become, due and payable pursuant to the immediately preceding paragraph then, upon notice from the Administrative Agent or Lenders with LC Exposure representing more than 50% of the total LC Exposure demanding the deposit of Cash Collateral pursuant to this paragraph, the Borrower shall immediately deposit 113 #4887-1928-1343v2 into the Letter of Credit Collateral Account cash in an amount equal to the LC Exposure as of such date plus any accrued and unpaid interest thereon; provided that the obligation to deposit such cash shall become effective immediately, and such deposit shall become immediately due and payable, without demand or other notice of any kind, upon the occurrence of any Event of Default with respect to the Borrower described in clause (i) or (j) of this Article. ARTICLE VIII THE ADMINISTRATIVE AGENT SECTION 8.01. Appointment of the Administrative Agent. Each of the Lenders and the Issuing Bank hereby irrevocably appoints the Administrative Agent as its agent hereunder and under the other Loan Documents and authorizes the Administrative Agent to take such actions on its behalf and to exercise such powers as are delegated to the Administrative Agent by the terms hereof or thereof, together with such actions and powers as are reasonably incidental thereto. Each of the Lenders and the Issuing Bank hereby irrevocably appoints the Collateral Agent as its agent hereunder and under the other Loan Documents and authorizes the Collateral Agent to take such actions on its behalf and to exercise such powers as are delegated to the Collateral Agent by the terms hereof or thereof, together with such actions and powers as are reasonably incidental thereto. SECTION 8.02. Capacity as Lender. The Person serving as the Administrative Agent hereunder shall have the same rights and powers in its capacity as a Lender as any other Lender and may exercise the same as though it were not the Administrative Agent, and such Person and its Affiliates may accept deposits from, lend money to and generally engage in any kind of business with the Borrower or any Subsidiary or other Affiliate thereof as if it were not the Administrative Agent hereunder. SECTION 8.03. Limitation of Duties; Exculpation. The Administrative Agent shall not have any duties or obligations except those expressly set forth herein and in the other Loan Documents. Without limiting the generality of the foregoing, (a) the Administrative Agent shall not be subject to any fiduciary or other implied duties, regardless of whether a Default has occurred and is continuing, (b) the Administrative Agent shall not have any duty to take any discretionary action or exercise any discretionary powers, except discretionary rights and powers expressly contemplated hereby or by the other Loan Documents that the Administrative Agent is required to exercise in writing by the Required Lenders, and (c) except as expressly set forth herein and in the other Loan Documents, the Administrative Agent shall not have any duty to disclose, and shall not be liable for the failure to disclose, any information relating to the Borrower or any of its Subsidiaries that is communicated to or obtained by the bank serving as Administrative Agent or any of its Affiliates in any capacity. The Administrative Agent shall not be liable for any action taken or not taken by it with the consent or at the request of the Required Lenders or in the absence of its own fraud, gross negligence or willful misconduct. The Administrative Agent shall be deemed not to have knowledge of any Default unless and until written notice thereof is given to the Administrative Agent by the Borrower or a Lender, and the Administrative Agent shall not be responsible for or have any duty to ascertain or inquire into (i) any statement, warranty or representation made in or in connection with this Agreement or any other Loan Document, (ii) the contents of any certificate, report or other document delivered hereunder or thereunder or in connection herewith or therewith, (iii) the performance or observance of any of the covenants, 114 #4887-1928-1343v2 agreements or other terms or conditions set forth herein or therein, (iv) the validity, enforceability, effectiveness or genuineness of this Agreement, any other Loan Document or any other agreement, instrument or document, or (v) the satisfaction of any condition set forth in Article IV or elsewhere herein or therein, other than to confirm receipt of items expressly required to be delivered to the Administrative Agent. SECTION 8.04. Reliance. The Administrative Agent shall be entitled to rely upon, and shall not incur any liability for relying upon, any notice, request, certificate, consent, statement, instrument, document or other writing (including any electronic message, Internet or intranet website posting or other distribution) believed by it to be genuine and to have been signed or sent by the proper Person. The Administrative Agent also may rely upon any statement made to it orally or by telephone and believed by it to be made by the proper Person, and shall not incur any liability for relying thereon. The Administrative Agent may consult with legal counsel (who may be counsel for the Borrower), independent accountants and other experts selected by it, and shall not be liable for any action taken or not taken by it in accordance with the advice of any such counsel, accountants or experts. SECTION 8.05. Sub-Agents. The Administrative Agent may perform any and all its duties and exercise its rights and powers by or through any one or more sub-agents appointed by the Administrative Agent. The Administrative Agent and any such sub-agent may perform any and all its duties and exercise its rights and powers through their respective Related Parties. The exculpatory provisions of the preceding paragraphs shall apply to any such sub-agent and to the Related Parties of the Administrative Agent and any such sub-agent, and shall apply to their respective activities in connection with the syndication of the credit facilities provided for herein as well as activities as Administrative Agent. The Administrative Agent shall not be responsible for the negligence or misconduct of any sub-agents except to the extent that a count of competent jurisdiction determines in a final and non-appealable judgment that the Administrative Agent acted with fraud, gross negligence or willful misconduct in the selection of such sub-agents. SECTION 8.06. Resignation; Successor Administrative Agent. The Administrative Agent may resign at any time by notifying the Lenders, the Issuing Bank and the Borrower. Upon any such resignation, the Required Lenders shall have the right, with the consent of the Borrower not to be unreasonably withheld (or, if an Event of Default has occurred and is continuing in consultation with the Borrower), to appoint a successor. If no successor shall have been so appointed by the Required Lenders and shall have accepted such appointment within 30 days after the retiring Administrative Agent gives notice of its resignation, then the retiring Administrative Agent’s resignation shall nonetheless become effective and (1) the retiring Administrative Agent shall be discharged from its duties and obligations hereunder and (2) the Required Lenders shall perform the duties of the Administrative Agent (and all payments and communications provided to be made by, to or through the Administrative Agent shall instead be made by or to each Lender directly) until such time as the Required Lenders appoint a successor agent as provided for above in this paragraph. Upon the acceptance of its appointment as Administrative Agent hereunder by a successor, such successor shall succeed to and become vested with all the rights, powers, privileges and duties of the retiring (or retired) Administrative Agent and the retiring Administrative Agent shall be discharged from its duties and obligations hereunder (if not already discharged therefrom as provided above in this paragraph). The fees payable by the Borrower to a successor Administrative Agent shall be the same as those payable 115 #4887-1928-1343v2 to its predecessor unless otherwise agreed between the Borrower and such successor. After the Administrative Agent’s resignation hereunder, the provisions of this Article and Section 9.03 shall continue in effect for its benefit in respect of any actions taken or omitted to be taken by it while it was acting as Administrative Agent. Any resignation by Goldman Sachs Bank USA as Administrative Agent pursuant to this Section shall also constitute its resignation as Issuing Bank and Swingline Lender. Upon the acceptance of a successor’s appointment as Administrative Agent hereunder, (a) such successor shall succeed to and become vested with all of the rights, powers, privileges and duties of the retiring Issuing Bank and Swingline Lender, (b) the retiring Issuing Bank and Swingline Lender shall be discharged from all of their respective duties and obligations hereunder or under the other Loan Documents, and (c) the successor Issuing Bank shall issue letters of credit in substitution for the Letters of Credit, if any, outstanding at the time of such succession or make other arrangements satisfactory to the retiring Issuing Bank to effectively assume the obligations of the retiring Issuing Bank with respect to such Letters of Credit. SECTION 8.07. Reliance by Lenders. Each Lender acknowledges that it has, independently and without reliance upon the Administrative Agent or any other Lender and based on such documents and information as it has deemed appropriate, made its own credit analysis and decision to enter into this Agreement. Each Lender also acknowledges that it will, independently and without reliance upon the Administrative Agent or any other Lender and based on such documents and information as it shall from time to time deem appropriate, continue to make its own decisions in taking or not taking action under or based upon this Agreement, any other Loan Document or any related agreement or any document furnished hereunder or thereunder. The Administrative Agent shall have no duty or responsibility, either initially or on a continuing basis, to make any such investigation or any such appraisal on behalf of Lenders or to provide any Lender with any credit or other information with respect thereto, whether coming into its possession before the making of the Loans or at any time or times thereafter, and the Administrative Agent shall have no responsibility with respect to the accuracy of or the completeness of any information provided to Lenders. Each Lender, by delivering its signature page to this Agreement or any Assignment and Assumption and funding any Loan shall be deemed to have acknowledged receipt of, and consented to and approved, each Loan Document and each other document required to be approved by the Administrative Agent, Required Lenders or Lenders. SECTION 8.08. Modifications to Loan Documents. Except as otherwise provided in Section 9.02(b) or (c) of this Agreement or the Security Documents with respect to this Agreement, the Administrative Agent may, with the prior consent of the Required Lenders (but not otherwise), consent to any modification, supplement or waiver under any of the Loan Documents; provided that, without the prior consent of each Lender, the Administrative Agent shall not (except as provided herein or in the Security Documents) release all or substantially all of the Collateral or otherwise terminate all or substantially all of the Liens under any Security Document providing for collateral security, agree to additional obligations being secured by all or substantially all of such collateral security, or alter the relative priorities of the obligations entitled to the benefits of the Liens created under the Security Documents with respect to all or substantially all of the Collateral, except that no such consent shall be required, and the Administrative Agent


 
116 #4887-1928-1343v2 is hereby authorized, to release any Lien covering property that is the subject of either a disposition of property permitted hereunder or a disposition to which the Required Lenders have consented. SECTION 8.09. Erroneous Payments. (a) If the Administrative Agent notifies a Lender or Issuing Bank, or any Person who has received funds on behalf of a Lender, Issuing Bank or Secured Party (any such Lender, Issuing Bank, Secured Party or other recipient, a “Payment Recipient”) that the Administrative Agent has determined in its sole discretion (whether or not after receipt of any notice under immediately succeeding clause (b)), that any funds received by such Payment Recipient from the Administrative Agent or any of its Affiliates were erroneously transmitted to, or otherwise erroneously or mistakenly received by, such Payment Recipient (whether or not known to such Lender, Secured Party or other Payment Recipient on its behalf) (any such funds, whether received as a payment, prepayment or repayment of principal, interest, fees, distribution or otherwise, individually and collectively, an “Erroneous Payment”) and demands the return of such Erroneous Payment (or a portion thereof)), such Erroneous Payment shall at all times remain the property of the Administrative Agent and shall be segregated by the Payment Recipient and held in trust for the benefit of the Administrative Agent, and such Lender or Secured Party shall (or, with respect to any Payment Recipient who received such funds on its behalf, shall cause such Payment Recipient to) promptly, but in no event later than one Business Day thereafter, return to the Administrative Agent the amount of any such Erroneous Payment (or portion thereof) as to which such a demand was made, in same day funds (in the currency so received), together with interest thereon in respect of each day from and including the date such Erroneous Payment (or portion thereof) was received by such Payment Recipient to the date such amount is repaid to the Administrative Agent in same day funds at the greater of the Federal Funds Effective Rate and a rate determined by the Administrative Agent in accordance with banking industry rules on interbank compensation from time to time in effect. A notice of the Administrative Agent to any Payment Recipient under this clause (a) shall be conclusive, absent manifest error. (b) Without limiting immediately preceding clause (a), each Payment Recipient hereby further agrees that if it receives a payment, prepayment or repayment (whether received as a payment, prepayment or repayment of principal, interest, fees, distribution or otherwise) from the Administrative Agent (or any of its Affiliates) (x) that is in a different amount than, or on a different date from, that specified in a notice of payment, prepayment or repayment sent by the Administrative Agent (or any of its Affiliates) with respect to such payment, prepayment or repayment (a “Payment Notice”), (y) that was not preceded or accompanied by a Payment Notice, or (z) that such Payment Recipient otherwise becomes aware was transmitted, or received, in error or by mistake (in whole or in part) in each case: (i) (A) in the case of immediately preceding clauses (x) or (y), an error has been made or shall be presumed to have been made (absent written confirmation from the Administrative Agent to the contrary or (B) an error has been made (in the case of immediately preceding clause (z)), in each case, with respect to such payment, prepayment or repayment; and (ii) such Payment Recipient shall promptly (and, in all events, within one Business Day of its knowledge of such error) notify the Administrative Agent of its receipt 117 #4887-1928-1343v2 of such payment, prepayment or repayment, the details thereof and that it is so notifying the Administrative Agent pursuant to this Section 8.09(b). (c) Each Lender, Issuing Bank or Secured Party hereby authorizes the Administrative Agent to set off, net and apply any and all amounts at any time owing to such Lender or Secured Party under any Loan Document, or otherwise payable or distributable by the Administrative Agent to such Lender, Issuing Bank or Secured Party from any source, against any amount due to the Administrative Agent under immediately preceding clause (a) or under the indemnification provisions of this Agreement. (d) In the event an Erroneous Payment (or portion thereof) is not recovered by the Administrative Agent for any reason, after demand therefor by the Administrative Agent in accordance with immediately preceding clause (a), from any Lender or Issuing Bank that has received such Erroneous Payment (or portion thereof) (or from any Payment Recipient who received such Erroneous Payment (or portion thereof) on its respective behalf) (such unrecovered amount, an “Erroneous Payment Return Deficiency”), upon the Administrative Agent’s request to such Lender at any time, (i) such Lender or Issuing Bank shall be deemed to have assigned its Loans (but not its Commitments) of the relevant Class with respect to which such Erroneous Payment was made (the “Erroneous Payment Impacted Class”) in an amount equal to the Erroneous Payment Return Deficiency (such assignment of the Loans (but not Commitments) of the Erroneous Payment Impacted Class, the “Erroneous Payment Deficiency Assignment”) at par plus any accrued and unpaid interest (with the assignment fee to be waived by the Administrative Agent in such instance), and is hereby (together with the Borrower) deemed to execute and deliver an Assignment and Assumption (or, to the extent applicable, an agreement incorporating an Assignment and Assumption by reference pursuant to the Platform as to which the Administrative Agent and such parties are participants) with respect to such Erroneous Payment Deficiency Assignment, and such Lender or Issuing Bank shall deliver any promissory notes issued pursuant to Section 2.09(f) evidencing such Loans to the Borrower or the Administrative Agent, (ii) the Administrative Agent as the assignee Lender or Issuing Bank shall be deemed to acquire the Erroneous Payment Deficiency Assignment, (iii) upon such deemed acquisition, the Administrative Agent as the assignee Lender shall become a Lender or Issuing Bank, as applicable, hereunder with respect to such Erroneous Payment Deficiency Assignment and the assigning Lender shall cease to be a Lender or Issuing Bank, as applicable, hereunder with respect to such Erroneous Payment Deficiency Assignment, excluding, for the avoidance of doubt, its obligations under the indemnification provisions of this Agreement and its applicable Commitments which shall survive as to such assigning Lender and (iv) the Administrative Agent may reflect in the Register its ownership interest in the Loans subject to the Erroneous Payment Deficiency Assignment. The Administrative Agent may, in its discretion, sell any Loans acquired pursuant to an Erroneous Payment Deficiency Assignment and upon receipt of the proceeds of such sale, the Erroneous Payment Return Deficiency owing by the applicable Lender or Issuing Bank shall be reduced by the net proceeds of the sale of such Loan (or portion thereof), and the Administrative Agent shall retain all other rights, remedies and claims against such Lender or Issuing Bank (and/or against any recipient that receives funds on its respective behalf). For the avoidance of doubt, no Erroneous Payment Deficiency Assignment will reduce the Commitments of any Lender or Issuing Bank and such Commitments shall remain available in accordance with the terms of this Agreement. In addition, each party hereto agrees that, except to the extent that the Administrative Agent has sold a Loan (or portion thereof) acquired pursuant to an Erroneous Payment Deficiency 118 #4887-1928-1343v2 Assignment, and irrespective of whether the Administrative Agent may be equitably subrogated, the Administrative Agent shall be contractually subrogated to all the rights and interests of the applicable Lender, Issuing Bank or Secured Party under the Loan Documents with respect to each Erroneous Payment Return Deficiency (the “Erroneous Payment Subrogation Rights”). (e) The parties hereto agree that an Erroneous Payment shall not be deemed to pay, prepay, repay, discharge or otherwise satisfy any Secured Obligations under and as defined in the Guarantee and Security Agreement owed by the Borrower or any other Obligor, except, in each case, to the extent such Erroneous Payment is, and solely with respect to the amount of such Erroneous Payment that is, comprised of funds received by the Administrative Agent from the Borrower or any other Obligor for the purpose of making such Erroneous Payment or is otherwise paid from Collateral, proceeds of Collateral or other funds of the Borrower or any other Obligor. (f) To the extent permitted by applicable law, no Payment Recipient shall assert any right or claim to an Erroneous Payment, and hereby waives, and is deemed to waive, any claim, counterclaim, defense or right of set-off or recoupment with respect to any demand, claim or counterclaim by the Administrative Agent for the return of any Erroneous Payment received, including without limitation waiver of any defense based on “discharge for value” or any similar doctrine. (g) Each party’s obligations, agreements and waivers under this Section 8.09 shall survive the resignation or replacement of the Administrative Agent, any transfer of rights or obligations by, or the replacement of, a Lender or Issuing Bank, the termination of the Commitments and/or the repayment, satisfaction or discharge of all Obligations (or any portion thereof) under any Loan Document. ARTICLE IX MISCELLANEOUS SECTION 9.01. Notices; Electronic Communications. (a) Notices Generally. Except in the case of notices and other communications expressly permitted to be given by telephone, all notices and other communications provided for herein shall be in writing and shall be delivered by hand or overnight courier service, mailed by certified or registered mail or sent by telecopy, as follows: (i) if to the Borrower, to it at: New Mountain Finance Corporation 787 Seventh Avenue, 49th Floor New York, NY 10019 Attention: Laura Holson Telephone: (212) 220-3393 E-Mail: Lholson@newmountaincapital.com 119 #4887-1928-1343v2 (ii) if to the Administrative Agent or Swingline Lender, to it at: Goldman Sachs Bank USA 6011 Connection Drive Irving, Texas 75039 Telecopy Number: (646) 769-7829 Email: gsmmg-operations@gs.com with a copy to: Goldman Sachs Bank USA 200 West Street New York, NY 10282-2198 Attention: Douglas Tansey Dana Horan Email: douglas.tansey@gs.com dana.horan@gs.com (iii) if to the Issuing Bank, to it at: Goldman Sachs Bank USA 6011 Connection Drive Irving, Texas 75039 Attention: Letter of Credit Department Manager Telecopy Number: (646) 769-7829 (iv) if to any other Lender, to it at its address (or telecopy number) set forth in its Administrative Questionnaire. Any party hereto may change its address or telecopy number for notices and other communications hereunder by notice to the other parties hereto All notices and other communications given to any party hereto in accordance with the provisions of this Agreement shall be deemed to have been given on the date of receipt. Notices delivered through electronic communications to the extent provided in paragraph (b) below, shall be effective as provided in said paragraph (b). (b) Electronic Communications. Notices and other communications to the Lenders and the Issuing Bank hereunder may be delivered or furnished by electronic communication (including e-mail and Internet or intranet websites) pursuant to procedures approved by the Administrative Agent; provided that the foregoing shall not apply to notices to any Lender or the Issuing Bank pursuant to Section 2.06 if such Lender or the Issuing Bank, as applicable, has notified the Administrative Agent that it is incapable of receiving notices under such Article by electronic communication. The Administrative Agent or the Borrower may, in its discretion, agree to accept notices and other communications to it hereunder by electronic communications pursuant to procedures approved by it; provided that approval of such procedures may be limited to particular notices or communications.


 
120 #4887-1928-1343v2 (i) Notices and other communications sent to an e-mail address shall be deemed received upon the sender’s receipt of an acknowledgement from the intended recipient (such as by the “return receipt requested” function, as available, return e-mail or other written acknowledgement); provided that if such notice or other communication is not sent during the normal business hours of the recipient, such notice or communication shall be deemed to have been sent at the opening of business on the next Business Day for the recipient, and (ii) notices or communications posted to an Internet or intranet website shall be deemed received upon the deemed receipt by the intended recipient at its e-mail address as described in the foregoing clause (i) of notification that such notice or communication is available and identifying the website address therefor. Each party hereto understands that the distribution of material through an electronic medium is not necessarily secure and that there are confidentiality and other risks associated with such distribution and agrees and assumes the risks associated with such electronic distribution, except to the extent caused by the fraud, willful misconduct or gross negligence of Administrative Agent, any Lender or their respective Related Parties, as determined by a final, non-appealable judgment of a court of competent jurisdiction. The Platform and any electronic communications media approved by the Administrative Agent as provided herein are provided “as is” and “as available”. None of the Administrative Agent or its Related Parties warrant the accuracy, adequacy, or completeness of the such media or the Platform and each expressly disclaims liability for errors or omissions in the Platform and such media. No warranty of any kind, express, implied or statutory, including any warranty of merchantability, fitness for a particular purpose, non- infringement of third party rights or freedom from viruses or other code defects is made by the Administrative Agent and any of its Related Parties in connection with the Platform or the electronic communications media approved by the Administrative Agent as provided for herein. (c) Private Side Information Contacts. Each Public Lender agrees to cause at least one individual at or on behalf of such Public Lender to at all times have selected the “Private Side Information” or similar designation on the content declaration screen of the Platform in order to enable such Public Lender or its delegate, in accordance with such Public Lender’s compliance procedures and applicable law, including United States federal and state securities laws, to make reference to information that is not made available through the “Public Side Information” portion of the Platform and that may contain Non-Public Information with respect to the Borrower, its Subsidiaries or their Securities for purposes of United States federal or state securities laws. In the event that any Public Lender has determined for itself to not access any information disclosed through the Platform or otherwise, such Public Lender acknowledges that (i) other Lenders may have availed themselves of such information and (ii) neither Borrower nor Administrative Agent has any responsibility for such Public Lender’s decision to limit the scope of the information it has obtained in connection with this Agreement and the other Loan Documents. (d) Documents to be Delivered under Sections 5.01 and 5.12(a). For so long as an Intralinks™ or equivalent website is available to each of the Lenders hereunder, the Borrower may satisfy its obligation to deliver documents to the Administrative Agent or the Lenders under Sections 5.01 and 5.12(a) by delivering one hard copy thereof to the Administrative Agent and either an electronic copy or a notice identifying the website where such information is located for posting by the Administrative Agent on Intralinks™ or such equivalent website; provided that the 121 #4887-1928-1343v2 Administrative Agent shall have no responsibility to maintain access to Intralinks™ or an equivalent website. SECTION 9.02. Waivers; Amendments. (a) No Deemed Waivers Remedies Cumulative. No failure or delay by the Administrative Agent the Issuing Bank, the Swingline Lender or any Lender in exercising any right or power hereunder shall operate as a waiver thereof nor shall any single or partial exercise of any such right or power, or any abandonment or discontinuance of steps to enforce such a right or power, preclude any other or further exercise thereof or the exercise of any other right or power. The rights and remedies of the Administrative Agent, the Issuing Bank, the Swingline Lender and the Lenders hereunder are cumulative and are not exclusive of any rights or remedies that they would otherwise have. No waiver of any provision of this Agreement or consent to any departure by the Borrower therefrom shall in any event be effective unless the same shall be permitted by paragraph (b) of this Section, and then such waiver or consent shall be effective only in the specific instance and for the purpose for which given. Without limiting the generality of the foregoing, the making of a Loan, Swingline Loan or issuance of a Letter of Credit shall not be construed as a waiver of any Default, regardless of whether the Administrative Agent, the Swingline Lender, any Lender or the Issuing Bank may have had notice or knowledge of such Default at the time. (b) Amendments to this Agreement. Neither this Agreement nor any provision hereof may be waived, amended or modified except pursuant to an agreement or agreements in writing entered into by the Borrower and the Required Lenders or by the Borrower and the Administrative Agent with the consent of the Required Lenders; provided that no such agreement shall: (i) increase the Commitment of any Lender without the written consent of such Lender, (ii) reduce the principal amount of any Loan or LC Disbursement or reduce the rate of interest thereon, or reduce any fees payable hereunder, without the written consent of each Lender affected thereby, (iii) postpone the scheduled date of payment of the principal amount of any Loan or LC Disbursement, or any interest thereon, or any fees payable hereunder, or reduce the amount of waive or excuse any such payment, or postpone the scheduled date of expiration of any Commitment, without the written consent of each Lender affected thereby, (iv) change Section 2.17(b), (c) or (d) in a manner that would alter the pro rata sharing of payments required thereby without the written consent of each Lender affected thereby, or (v) change any of the provisions of this Section or the definition of the term “Required Lenders” or any other provision hereof specifying the number or percentage of Lenders required to waive, amend or modify any rights hereunder or make any determination or grant any consent hereunder, without the written consent of each Lender affected thereby; 122 #4887-1928-1343v2 provided further that (x) no such agreement shall amend, modify or otherwise affect the rights or duties of the Administrative Agent, the Issuing Bank or the Swingline Lender hereunder without the prior written consent of the Administrative Agent, the Issuing Bank or the Swingline Lender, as the case may be and (y) the consent of Lenders holding not less than two-thirds of the Revolving Credit Exposure and unused Commitments will be required (A) for any adverse change affecting the provisions of this Agreement relating to the determination of the Borrowing Base, and (B) for any release of any material portion of the Collateral other than for fair value or as otherwise permitted hereunder or under the other Loan Documents. Anything in this Agreement to the contrary notwithstanding, no waiver or modification of any provision of this Agreement or any other Loan Document that could reasonably be expected to adversely affect the Lenders of any Class in a manner that does not affect all Classes equally shall be effective against the Lenders of such Class unless the Required Lenders of such Class shall have concurred with such waiver or modification. (c) Amendments to Security Documents. No Security Document nor any provision thereof may be waived, amended or modified, nor may the Liens thereof be spread to secure any additional obligations (including any increase in Loans hereunder, but excluding any such increase pursuant to a Commitment Increase under Section 2.08(e) to an amount not greater than $200,000,000) except pursuant to an agreement or agreements in writing entered into by the Borrower, and by the Collateral Agent with the consent of the Required Lenders; provided that, (i) without the written consent of each Lender, no such agreement shall release all or substantially all of the Obligors from their respective obligations under the Security Documents and (ii) without the written consent of each Lender, no such agreement shall release all or substantially all of the collateral security or otherwise terminate all or substantially all of the Liens under the Security Documents, alter the relative priorities of the obligations entitled to the Liens created under the Security Documents (except in connection with securing additional obligations equally and ratably with the Loans and other obligations hereunder) with respect to all or substantially all of the collateral security provided thereby, or release all or substantially all of the guarantors under the Guarantee and Security Agreement from their guarantee obligations thereunder, except that no such consent shall be required, and the Administrative Agent is hereby authorized (and so agrees with the Borrower) to direct the Collateral Agent under the Guarantee and Security Agreement, to release any Lien covering property (and to release any such guarantor) that is the subject of either a disposition of property permitted hereunder or a disposition to which the Required Lenders have consented. (d) Replacement of Non-Consenting Lender. If, in connection with any proposed change, waiver, discharge or termination to any of the provisions of this Agreement as contemplated by this Section 9.02, the consent of the Required Lenders shall have been obtained but the consent of one or more Lenders (each a “Non-Consenting Lender”) whose consent is required for such proposed change, waiver, discharge or termination is not obtained, then (so long as no Event of Default has occurred and is continuing) the Borrower shall have the right, at its sole cost and expense, to replace each such Non-Consenting Lender or Lenders with one or more replacement Lenders pursuant to Section 2.18(b) so long as at the time of such replacement, each such replacement Lender consents to the proposed change, waiver, discharge or termination. 123 #4887-1928-1343v2 SECTION 9.03. Expenses; Indemnity; Damage Waiver. (a) Costs and Expenses. The Borrower shall pay (i) all reasonable and documented out-of-pocket costs and expenses incurred by the Administrative Agent, the Collateral Agent and their Affiliates, including the reasonable and documented fees, charges and disbursements of counsel for the Administrative Agent and the Collateral Agent, in connection with the syndication of the credit facilities provided for herein, the preparation and administration of this Agreement and the other Loan Documents and any amendments, modifications or waivers of the provisions hereof or thereof (whether or not the transactions contemplated hereby or thereby shall be consummated), (ii) all reasonable and documented out-of-pocket expenses incurred by the Issuing Bank in connection with the issuance, amendment, renewal or extension of any Letter of Credit or any demand for payment thereunder, (iii) all documented out-of-pocket expenses incurred by the Administrative Agent, the Issuing Bank, the Swingline Lender or any Lender, including the reasonable and documented fees, charges and disbursements of one outside counsel for the Administrative Agent, the Issuing Bank and the Swingline Lender as well as one outside counsel for the Lenders and additional counsel should any conflict of interest arise, in connection with the enforcement or protection of its rights in connection with this Agreement and the other Loan Documents, including its rights under this Section, or in connection with the Loans made or Letters of Credit issued hereunder, including all such documented out-of-pocket expenses incurred during any workout, restructuring or negotiations in respect thereof and (iv) and all documented costs, expenses, taxes, assessments and other charges incurred in connection with any filing, registration, recording or perfection of any security interest contemplated by any Security Document or any other document referred to therein. (b) Indemnification by the Borrower. The Borrower shall indemnify the Administrative Agent, the Issuing Bank, the Swingline Lender and each Lender, and each Related Party of any of the foregoing Persons (each such Person being called an “Indemnitee”) against, and hold each Indemnitee harmless from, any and all losses, claims, damages, liabilities, actions, judgments, suits, costs, expenses and disbursements of any kind or nature whatsoever (including the reasonable and documented out-of-pocket fees and disbursements of one outside counsel for all Indemnitees (and, if reasonably necessary, of one local counsel in any relevant jurisdiction for all Indemnitees) unless, in the reasonable opinion of an Indemnitee, representation of all Indemnitees by such counsel would be inappropriate due to the existence of an actual or potential conflict of interest) in connection with any investigative, administrative or judicial proceeding or hearing commenced or threatened by any Person, whether or not any such Indemnitee shall be designated as a party or a potential party thereto, and any fees or expenses incurred by Indemnitees in enforcing this indemnity), whether based on any federal, state or foreign laws, statutes, rules or regulations (including securities and commercial laws, statutes, rules or regulations and laws, statutes, rules or regulations relating to environmental, occupational safety and health or land use matters), on common law or equitable cause or on contract or otherwise and related expenses or disbursements of any kind (other than Taxes or Other Taxes which shall only be indemnified by the Borrower to the extent provided in Section 2.16), including the fees, charges and disbursements of any counsel for any Indemnitee, incurred by or asserted against any Indemnitee arising out of; in connection with, or as a result of (i) the execution or delivery of this Agreement or any agreement or instrument contemplated hereby, the performance by the parties hereto of their respective obligations hereunder or the consummation of the Transactions or any other transactions contemplated hereby, (ii) any Loan, Swingline Loan or Letter of Credit or the use of the proceeds


 
124 #4887-1928-1343v2 therefrom (including any refusal by the Issuing Bank to honor a demand for payment under a Letter of Credit if the documents presented in connection with such demand do not strictly comply with the terms of such Letter of Credit) or (iii) any actual or prospective claim, litigation, investigation or proceeding relating to any of the foregoing, whether based on contract, tort or any other theory and whether brought by the Borrower or a third party and regardless of whether any Indemnitee is a party thereto; provided that such indemnity shall not as to any Indemnitee, be available to the extent that such losses, claims, damages, liabilities or related expenses are determined by a court of competent jurisdiction by final and nonappealable judgment to have resulted from the bad faith, fraud, willful misconduct or gross negligence of such Indemnitee, as finally determined by a court of competent jurisdiction. Notwithstanding the foregoing, it is understood and agreed that indemnification for Taxes is subject to the provisions of Section 2.16. The Borrower shall not be liable to any Indemnitee for any special, indirect, consequential or punitive damages arising out of, in connection with, or as a result of the Transactions asserted by an Indemnitee against the Borrower or any other Obligor; provided that the foregoing limitation shall not be deemed to impair or affect the Obligations of the Borrower under the preceding provisions of this subsection. (c) Reimbursement by Lenders. To the extent that the Borrower fails to pay any amount required to be paid by it to the Administrative Agent, the Issuing Bank or the Swingline Lender under paragraph (a) or (b) of this Section, each Lender severally agrees to pay to the Administrative Agent, the Issuing Bank or the Swingline Lender, as the case may be, such Lender’s Applicable Percentage (determined as of the time that the applicable unreimbursed expense or indemnity payment is sought) of such unpaid amount; provided that the unreimbursed expense or indemnified loss, claim, damage, liability or related expense, as the case may be, was incurred by or asserted against the Administrative Agent, the Issuing Bank or the Swingline Lender in its capacity as such. (d) Waiver of Consequential Damages, Etc. To the extent permitted by applicable law, the Borrower shall not assert, and hereby waives, any claim against any Indemnitee, on any theory of liability, for special, indirect, consequential or punitive damages (as opposed to direct or actual damages) arising out of, in connection with, or as a result of; this Agreement or any agreement or instrument contemplated hereby, the Transactions, any Loan or Letter of Credit or the use of the proceeds thereof. No Indemnitee shall be liable for any damages arising from the use by unintended recipients of any information or other materials distributed by it through telecommunications, electronic or other information transmission systems in connection with this Agreement or the other Loan Documents or the transactions contemplated hereby or thereby, except to the extent caused by the fraud, willful misconduct or gross negligence of such Indemnitee, as determined by a final, non-appealable judgment of a court of competent jurisdiction. (e) Payments. All amounts due under this Section shall be payable promptly after written demand therefor. 125 #4887-1928-1343v2 SECTION 9.04. Successors and Assigns. (a) Assignments Generally. The provisions of this Agreement shall be binding upon and inure to the benefit of the parties hereto and their respective successors and assigns permitted hereby (including any Affiliate of the Issuing Bank that issues any Letter of Credit), except that (i) the Borrower may not assign or otherwise transfer any of its rights or obligations hereunder without the prior written consent of each Lender (and any attempted assignment or transfer by the Borrower without such consent shall be null and void) and (ii) no Lender may assign or otherwise transfer its rights or obligations hereunder except in accordance with this Section. Nothing in this Agreement, expressed or implied, shall be construed to confer upon any Person (other than the parties hereto, their respective successors and assigns permitted hereby (including any Affiliate of the Issuing Bank that issues any Letter of Credit) and, to the extent expressly contemplated hereby, the Related Parties of each of the Administrative Agent, the Issuing Bank and the Lenders) any legal or equitable right, remedy or claim under or by reason of this Agreement. (b) Assignments by Lenders. (i) Assignments Generally. Subject to the conditions set forth in clause (ii) below, any Lender may assign to one or more assignees (other than natural persons or any Defaulting Lender) all or a portion of its rights and obligations under this Agreement (including all or a portion of its Commitments and the Loans and LC Exposure at the time owing to it) with the prior written consent (such consent not to be unreasonably withheld or delayed) of: (A) the Borrower; provided that no consent of the Borrower shall be required for an assignment to a Lender, an Affiliate of a Lender, or, if an Event of Default has occurred and is continuing, any other assignee; and (B) the Administrative Agent and the Issuing Bank: provided that no consent of the Administrative Agent or Issuing Bank shall be required for an assignment by a Lender to an Affiliate of such Lender. (ii) Certain Conditions to Assignments. Assignments shall be subject to the following additional conditions: (A) except in the case of an assignment to a Lender or an Affiliate of a Lender or an assignment of the entire remaining amount of the assigning Lender’s Commitment or Loans and LC Exposure of a Class, the amount of the Commitment or Loans and LC Exposure of such Class of the assigning Lender subject to each such assignment (determined as of the date the Assignment and Assumption with respect to such Assignment is delivered to the Administrative Agent) shall not be less than U.S. $5,000,000 unless each of the Borrower and the Administrative Agent otherwise consent; provided that no such consent of the Borrower shall be required if an Event of Default has occurred and is continuing; (B) each partial assignment of any Class of Commitments or Loans and LC Exposure shall be made as an assignment of a proportionate part of all the 126 #4887-1928-1343v2 assigning Lender’s rights and obligations under this Agreement in respect of such Class of Commitments, Loans and LC Exposure; (C) the parties to each assignment shall execute and deliver to the Administrative Agent an Assignment and Assumption in substantially the form of Exhibit A hereto, together with a processing and recordation fee of U.S. $3,500 (which fee shall not be payable in connection with an assignment to a Lender or to an Affiliate of a Lender), for which the Borrower and the Guarantors shall not be obligated; (D) the assignee, if it shall not already be a Lender of the applicable Class, shall deliver to the Administrative Agent an Administrative Questionnaire; and (E) the assignee shall deliver to the Borrower and the Administrative Agent those documents specified in Section 2.16(f). (iii) Effectiveness of Assignments. Subject to acceptance and recording thereof pursuant to paragraph (c) of this Section, from and after the effective date specified in each Assignment and Assumption the assignee thereunder shall be a party hereto and, to the extent of the interest assigned by such Assignment and Assumption, have the rights and obligations of a Lender under this Agreement, and the assigning Lender thereunder shall, to the extent of the interest assigned by such Assignment and Assumption, be released from its obligations under this Agreement (and, in the case of an Assignment and Assumption covering all of the assigning Lender’s rights and obligations under this Agreement, such Lender shall cease to be a party hereto but shall continue to be entitled to the benefits of Sections 2.14, 2.15, 2.16 and 9.03 with respect to facts and circumstances occurring prior to the effective date of such assignment). Any assignment or transfer by a Lender of rights or obligations under this Agreement that does not comply with this Section 9.04 shall be treated for purposes of this Agreement as a sale by such Lender of a participation in such rights and obligations in accordance with paragraph (e) of this Section. Notwithstanding anything to the contrary herein, in connection with any assignment of rights and obligations of any Defaulting Lender hereunder, no such assignment shall be effective unless and until, in addition to the other conditions set forth in Section 9.04(b)(ii) or otherwise, the parties to the assignment shall make such additional payments to Administrative Agent in an aggregate amount sufficient, upon distribution thereof as appropriate (which may be outright payment, purchases by the assignee of participations or subparticipations, or other compensating actions, including funding, with the consent of Borrower and Administrative Agent, the Applicable Percentage of Loans previously requested but not funded by the Defaulting Lender, to each of which the applicable assignee and assignor hereby irrevocably consent), to (x) pay and satisfy in full all payment liabilities then owed by such Defaulting Lender to Administrative Agent, Issuing Bank, Swingline Lender and each Lender hereunder (and interest accrued thereon), and (y) acquire (and fund as appropriate) its full Applicable Percentage of all Loans and participations in Letters of Credit and Swingline Loans. Notwithstanding the foregoing, in the event that any assignment of rights and obligations of any Defaulting Lender hereunder shall become effective under applicable law without compliance with the provisions of this paragraph, then the assignee 127 #4887-1928-1343v2 of such interest shall be deemed to be a Defaulting Lender for all purposes of this Agreement until such compliance occurs. (c) Maintenance of Registers by Administrative Agent. The Administrative Agent, acting for this purpose as an agent of the Borrower, shall maintain at one of its offices in New York City a copy of each Assignment and Assumption delivered to it and a register for the recordation of the names and addresses of the Lenders, and the Commitments of, and principal amount (and stated interest) of the Loans and LC Disbursements owing to, each Lender pursuant to the terms hereof from time to time (the “Registers” and each individually, a “Register”). The entries in the Registers shall be conclusive absent manifest error, and the Borrower, the Administrative Agent, the Issuing Bank and the Lenders shall treat each Person whose name is recorded in the Registers pursuant to the terms hereof as a Lender hereunder for all purposes of this Agreement, notwithstanding notice to the contrary. The Registers shall be available for inspection by the Borrower, the Issuing Bank and any Lender, at any reasonable time and from time to time upon reasonable prior notice. (d) Acceptance of Assignments by Administrative Agent. Upon its receipt of a duly completed Assignment and Assumption executed by an assigning Lender and an assignee, the assignee’s completed Administrative Questionnaire (unless the assignee shall already be a Lender hereunder), the processing and recordation fee referred to in paragraph (b) of this Section and any written consent to such assignment required by paragraph (b) of this Section, the Administrative Agent shall accept such Assignment and Assumption and record the information contained therein in the Register. No assignment shall be effective for purposes of this Agreement unless it has been recorded in the Register as provided in this paragraph. (e) Special Purposes Vehicles. Notwithstanding anything to the contrary contained herein, any Lender (a “Granting Lender”) may grant to a special purpose funding vehicle (an “SPC”) owned or administered by such Granting Lender, identified as such in writing from time to time by the Granting Lender to the Administrative Agent and the Borrower, the option to provide all or any part of any Loan that such Granting Lender would otherwise be obligated to make; provided that (i) nothing herein shall constitute a commitment to make any Loan by any SPC, (ii) if an SPC elects not to exercise such option or otherwise fails to provide all or any part of such Loan, the Granting Lender shall, subject to the terms of this Agreement, make such Loan pursuant to the terms hereof, (iii) the rights of any such SPC shall be derivative of the rights of the Granting Lender, and such SPC shall be subject to all of the restrictions upon the Granting Lender herein contained, and (iv) no SPC shall be entitled to the benefits of Sections 2.14 (or any other increased costs protection provision), 2.15 or 2.16. Each SPC shall be conclusively presumed to have made arrangements with its Granting Lender for the exercise of voting and other rights hereunder in a manner which is acceptable to the SPC, the Administrative Agent, the Lenders and the Borrower, and each of the Administrative Agent, the Lenders and the Obligors shall be entitled to rely upon and deal solely with the Granting Lender with respect to Loans made by or through its SPC. The making of a Loan by an SPC hereunder shall utilize the Commitment of the Granting Lender to the same extent, and as if, such Loan were made by the Granting Lender. Each party hereto hereby agrees (which agreement shall survive the termination of this Agreement) that, prior to the date that is one year and one day after the payment in full of all outstanding senior indebtedness of any SPC, it will not institute against, or join any other person


 
128 #4887-1928-1343v2 in instituting against, such SPC, any bankruptcy, reorganization, arrangement, insolvency or liquidation proceedings or similar proceedings under the laws of the United States or any State thereof, in respect of claims arising out of this Agreement; provided that the Granting Lender for each SPC hereby agrees to indemnify, save and hold harmless each other party hereto for any loss, cost, damage and expense arising out of their inability to institute any such proceeding against its SPC. In addition, notwithstanding anything to the contrary contained in this Section, any SPC may (i) without the prior written consent of the Borrower and the Administrative Agent and without paying any processing fee therefor, assign all or a portion of its interests in any Loans to its Granting Lender or to any financial institutions providing liquidity and/or credit facilities to or for the account of such SPC to fund the Loans made by such SPC or to support the securities (if any) issued by such SPC to fund such Loans (but nothing contained herein shall be construed in derogation of the obligation of the Granting Lender to make Loans hereunder); provided that neither the consent of the SPC or of any such assignee shall be required for amendments or waivers hereunder except for those amendments or waivers for which the consent of participants is required under paragraph (1) below, and (ii) disclose on a confidential basis (in the same manner described in Section 9.13(b)) any non-public information relating to its Loans to any rating agency, commercial paper dealer or provider of a surety, guarantee or credit or liquidity enhancement to such SPC. (f) Participations. Any Lender may sell participations to one or more banks or other entities (a “Participant”) in all or a portion of such Lender’s rights and obligations under this Agreement and the other Loan Documents (including all or a portion of its Commitments and the Loans and LC Disbursements owing to it); provided that (i) such Lender’s obligations under this Agreement and the other Loan Documents shall remain unchanged, (ii) such Lender shall remain solely responsible to the other parties hereto for the performance of such obligations and (iii) the Borrower, the Administrative Agent, the Issuing Bank and the other Lenders shall continue to deal solely and directly with such Lender in connection with such Lender’s rights and obligations under this Agreement and the other Loan Documents. Any agreement or instrument pursuant to which a Lender sells such a participation shall provide that such Lender shall retain the sole right to enforce this Agreement and the other Loan Documents and to approve any amendment, modification or waiver of any provision of this Agreement or any other Loan Document; provided that such agreement or instrument may provide that such Lender will not, without the consent of the Participant, agree to any amendment, modification or waiver described in the first proviso to Section 9.02(b) that affects such Participant. Subject to paragraph (g) of this Section, the Borrower agrees that each Participant shall be entitled to the benefits of Sections 2.14, 2.15 and 2.16 to the same extent as if it were a Lender and had acquired its interest by assignment pursuant to paragraph (b) of this Section; provided that such Participant shall not be entitled to receive any greater payment under Sections 2.14, 2.15 or 2.16, with respect to any participation, than its participating Lenders would have been entitled to receive, except to the extent such entitlement to receive a greater payment results from a Change in Law that occurs after the Participant acquired the applicable participation; provided, further, that no Participant shall be entitled to the benefits of Section 2.16 unless the Borrower is notified of the participation granted to such Participant and such Participant shall have complied with the requirements of Section 2.16 as if such Participant is a Lender. To the extent permitted by law, each Participant also shall be entitled to the benefits of Section 9.08 as though it were a Lender; provided such Participant agrees to be subject to Section 2.17(d) as though it were a Lender hereunder. Each Lender that sells a participation shall, acting solely for this purpose as a non-fiduciary agent of the Borrower, maintain a register on 129 #4887-1928-1343v2 which it enters the name and address of each participant and the principal amounts (and stated interest of each Participant’s interest in the loans or other obligations under the Loan Documents (the “Participant Register”); provided that no Lender shall have any obligation to disclose all or any portion of the Participant Register (including the identity of any Participant or any other information relating to a Participant’s interest in any commitments, loans, letters of credit or is other obligations under any Loan Document) to any person except to the extent that such disclosures are necessary to establish that such commitment, loan, letter of credit or other obligation is in registered form under Section 5f.103-1(c) of the United States Treasury Regulations. The entries in the Participant Register shall be conclusive absent manifest error, and such Lender shall treat each Person whose name is recorded in the Participant Register as the owner of such participation for all purposes of this Agreement notwithstanding any notice to the contrary. For the avoidance of doubt, the Administrative Agent (in its capacity as Administrative Agent) shall have no responsibility for maintaining a Participant Register. (g) Limitations on Rights of Participants. A Participant shall not be entitled to receive any greater payment under Section 2.14, 2.15 or 2.16 than the applicable Lender would have been entitled to receive with respect to the participation sold to such Participant, unless the sale of the participation to such Participant is made with the Borrower’s prior written consent. A Participant that would be a Foreign Lender if it were a Lender shall not be entitled to the benefits of Section 2.16 unless the Borrower is notified of the participation sold to such Participant and such Participant agrees, for the benefit of the Borrower, to comply with paragraphs (e) and (f) of Section 2.16 as though it were a Lender and in the case of a Participant claiming exemption for portfolio interest under Section 871(h) or 881(c) of the Code, the applicable Lender shall provide the Borrower with satisfactory evidence that the participation is in registered form and shall permit the Borrower to review such register as reasonably needed for the Borrower to comply with its obligations under applicable laws and regulations. (h) Certain Pledges. Any Lender may at any time pledge or assign a security interest in all or any portion of its rights under this Agreement to secure obligations of such Lender, including any such pledge or assignment to a Federal Reserve Bank or any other central bank having jurisdiction over such Lender, and this Section shall not apply to any such pledge or assignment of a security interest; provided that no such pledge or assignment of a security interest shall release a Lender from any of its obligations hereunder or substitute any such assignee for such Lender as a party hereto. (i) Further Limitations on Assignments. Anything in this Section to the contrary notwithstanding, no Lender may assign or participate any interest in any Loan or LC Exposure held by it hereunder (i) to the Borrower or any of its Affiliates or Subsidiaries without the prior consent of each Lender, or (ii) to any “business development company” under the Investment Company Act or any subsidiary thereof or to any private equity fund or person whose primary business is the management of private equity funds (including mezzanine investment funds) excluding any commercial or investment bank (including any commercial or investment bank that sponsors private equity funds or makes private equity investments or mezzanine or other loans), provided that any mezzanine investment fund sponsored by a commercial bank shall not be a permitted assignee or participant under this Section 9.04. 130 #4887-1928-1343v2 SECTION 9.05. Survival. All covenants, agreements, representations and warranties made by the Borrower herein and in the certificates or other instruments delivered in connection with or pursuant to this Agreement shall be considered to have been relied upon by the other parties hereto and shall survive the execution and delivery of this Agreement and the making of any Loans and issuance of any Letters of Credit, regardless of any investigation made by any such other party or on its behalf and notwithstanding that the Administrative Agent, the Issuing Bank or any Lender may have had notice or knowledge of any Default or incorrect representation or warranty at the time any credit is extended hereunder, and shall continue in full force and effect as long as the principal of or any accrued interest on any Loan or any fee or any other amount payable under this Agreement is outstanding and unpaid or any Letter of Credit is outstanding and so long as the Commitments have not expired or terminated. The provisions of Sections 2.14, 2.15, 2.16 and 9.03 and Article VIII shall survive and remain in full force and effect regardless of the consummation of the transactions contemplated hereby, the repayment of the Loans, the expiration or termination, Cash Collateralization or backstop of the Letters of Credit and the Commitments or the termination of this Agreement or any provision hereof. SECTION 9.06. Counterparts; Integration; Effectiveness; Electronic Execution. (a) Counterparts; Integration; Effectiveness. This Agreement may be executed in counterparts (and by different parties hereto on different counterparts), each of which shall constitute an original, but all of which when taken together shall constitute a single contract. This Agreement and any separate letter agreements with respect to fees payable to the Administrative Agent constitute the entire contract between and among the parties relating to the subject matter hereof and supersede any and all previous agreements and understandings, oral or written, relating to the subject matter hereof. Except as provided in Section 4.01, this Agreement shall become effective when it shall have been executed by the Administrative Agent and when the Administrative Agent shall have received counterparts hereof which, when taken together, bear the signatures of each of the other parties hereto, and thereafter shall be binding upon and inure to the benefit of the parties hereto and their respective successors and assigns. Delivery of an executed counterpart of a signature page to this Agreement by telecopy electronically (e.g. pdf) shall be effective as delivery of a manually executed counterpart of this Agreement. (b) Electronic Execution of Assignments. The words “execution,” “signed,” “signature,” and words of like import in any Assignment and Assumption shall be deemed to include electronic signatures or the keeping of records in electronic form, each of which shall be of the same legal effect validity or enforceability as a manually executed signature or the use of a paper-based recordkeeping system, as the case may be, to the extent and as provided for in any applicable law, including the Federal Electronic Signatures in Global and National Commerce Act, the New York State Electronic Signatures and Records Act, or any other similar state laws based on the Uniform Electronic Transactions Act. SECTION 9.07. Severability. Any provision of this Agreement held to be invalid, illegal or unenforceable in any jurisdiction shall, as to such jurisdiction, be ineffective to the extent of such invalidity, illegality or unenforceability without affecting the validity, legality and enforceability of the remaining provisions hereof; and the invalidity of a particular provision in a particular jurisdiction shall not invalidate such provision in any other jurisdiction. 131 #4887-1928-1343v2 SECTION 9.08. Right of Setoff. If an Event of Default shall have occurred and be continuing, each Lender and each of its Affiliates is hereby authorized at any time and from time to time, to the fullest extent permitted by law, to set off and apply any and all deposits (general or special, time or demand, provisional or final) at any time held and other obligations at any time owing by such Lender or Affiliate to or for the credit or the account of the Borrower against any of and all the obligations of the Borrower now or hereafter existing under this Agreement held by such Lender, irrespective of whether or not such Lender shall have made any demand under this Agreement and although such obligations may be unmatured; provided that in the event that any Defaulting Lender shall exercise any such right of setoff, (x) all amounts so set off shall be paid over immediately to Administrative Agent for further application in accordance with the provisions of Sections 2.17(d) and, pending such payment, shall be segregated by such Defaulting Lender from its other funds and deemed held in trust for the benefit of Administrative Agent, the Issuing Bank, and the Lenders, and (y) the Defaulting Lender shall provide promptly to Administrative Agent a statement describing in reasonable detail the amounts owing to such Defaulting Lender hereunder as to which it exercised such right of setoff. The rights of each Lender under this Section are in addition to other rights and remedies (including other rights of setoff) which such Lender may have. Each Lender agrees to notify the Borrower and the Administrative Agent promptly after any such setoff and application; provided that the failure to give such notice shall not affect the validity of such setoff and application. SECTION 9.09. Governing Law; Jurisdiction; Etc. (a) Governing Law. This Agreement shall be construed in accordance with and governed by the law of the State of New York. (b) Submission to Jurisdiction. The Borrower hereby irrevocably and unconditionally submits, for itself and its property, to the exclusive jurisdiction of the Supreme Court of the State of New York sitting in New York County and of the United States District Court of the Southern District of New York, and any appellate court from any thereof, in any action or proceeding arising out of or relating to this Agreement and any Loan Document, or for recognition or enforcement of any judgment, and each of the parties hereto hereby irrevocably and unconditionally agrees that all claims in respect of any such action or proceeding may be heard and determined in such New York State or, to the extent permitted by law, in such Federal court. Each of the parties hereto agrees that a final judgment in any such action or proceeding shall be conclusive and may be enforced in other jurisdictions by suit on the judgment or in any other manner provided by law. Nothing in this Agreement shall affect any right that the Administrative Agent, the Issuing Bank or any Lender may otherwise have to bring any action or proceeding relating to this Agreement against the Borrower or its properties in the courts of any jurisdiction. (c) Waiver of Venue. The Borrower hereby irrevocably and unconditionally waives, to the fullest extent it may legally and effectively do so, any objection which it may now or hereafter have to the laying of venue of any suit, action or proceeding arising out of or relating to this Agreement in any court referred to in paragraph (b) of this Section. Each of the parties hereto hereby irrevocably waives, to the fullest extent permitted by law, the defense of an inconvenient forum to the maintenance of such action or proceeding in any such court.


 
132 #4887-1928-1343v2 (d) Service of Process. Each party to this Agreement (i) irrevocably consents to service of process in the manner provided for notices in Section 9.01 and (ii) agrees that service as provided in the manner provided for notices in Section 9.01 is sufficient to confer personal jurisdiction over such party in any proceeding in any court and otherwise constitutes effective and binding service in every respect. Nothing in this Agreement will affect the right of any party to this Agreement to serve process in any other manner permitted by law. SECTION 9.10. WAIVER OF JURY TRIAL. EACH PARTY HERETO HEREBY WAIVES, TO THE FULLEST EXTENT PERMITTED BY APPLICABLE LAW, ANY RIGHT IT MAY HAVE TO A TRIAL BY JURY IN ANY LEGAL PROCEEDING DIRECTLY OR INDIRECTLY ARISING OUT OF OR RELATING TO THIS AGREEMENT, ANY LOAN DOCUMENT OR THE TRANSACTIONS CONTEMPLATED HEREBY (WHETHER BASED ON CONTRACT, TORT OR ANY OTHER THEORY). EACH PARTY HERETO (A) CERTIFIES THAT NO REPRESENTATIVE, AGENT OR ATTORNEY OF ANY OTHER PARTY HAS REPRESENTED, EXPRESSLY OR OTHERWISE, THAT SUCH OTHER PARTY WOULD NOT, IN THE EVENT OF LITIGATION, SEEK TO ENFORCE THE FOREGOING WAIVER AND (B) ACKNOWLEDGES THAT IT AND THE OTHER PARTIES HERETO HAVE BEEN INDUCED TO ENTER INTO THIS AGREEMENT BY, AMONG OTHER THINGS. THE MUTUAL WAIVERS AND CERTIFICATIONS IN THIS SECTION. SECTION 9.11. Judgment Currency. This is an international loan transaction in which the specification of Dollars or any Foreign Currency, as the case may be (the “Specified Currency”), and payment in New York City or the country of the Specified Currency, as the case may be (the “Specified Place”), is of the essence, and the Specified Currency shall be the currency of account in all events relating to Loans denominated in the Specified Currency. The payment obligations of the Borrower under this Agreement shall not be discharged or satisfied by an amount paid in another currency or in another place, whether pursuant to a judgment or otherwise, to the extent that the amount so paid on conversion to the Specified Currency and transfer to the Specified Place under normal banking procedures does not yield the amount of the Specified Currency at the Specified Place due hereunder. If for the purpose of obtaining judgment in any court it is necessary to convert a sum due hereunder in the Specified Currency into another currency (the “Second Currency”), the rate of exchange that shall be applied shall be the rate at which in accordance with normal banking procedures the Administrative Agent could purchase the Specified Currency with the Second Currency on the Business Day next preceding the day on which such judgment is rendered. The obligation of the Borrower in respect of any such sum due from it to the Administrative Agent or any Lender hereunder or under any other Loan Document (in this Section called an “Entitled Person”) shall, notwithstanding the rate of exchange actually applied in rendering such judgment be discharged only to the extent that on the Business Day following receipt by such Entitled Person of any sum adjudged to be due hereunder in the Second Currency such Entitled Person may in accordance with normal banking procedures purchase and transfer to the Specified Place the Specified Currency with the amount of the Second Currency so adjudged to be due; and the Borrower hereby, as a separate obligation and notwithstanding any such judgment, agrees to indemnify such Entitled Person against, and to pay such Entitled Person on demand, in the Specified Currency. the amount (if any) by which the sum originally due to such Entitled Person in the Specified Currency hereunder exceeds the amount of the Specified Currency so purchased and transferred. 133 #4887-1928-1343v2 SECTION 9.12. Headings. Article and Section headings and the Table of Contents used herein are for convenience of reference only, are not part of this Agreement and shall not affect the construction of, or be taken into consideration in interpreting, this Agreement. SECTION 9.13. Treatment of Certain Information; No Fiduciary Duty; Confidentiality. (a) Treatment of Certain Information. The Borrower acknowledges that from time to time financial advisory, investment banking and other services may be offered or provided to the Borrower or one or more of its Subsidiaries (in connection with this Agreement or otherwise) by any Lender or by one or more subsidiaries or affiliates of such Lender and the Borrower hereby authorizes each Lender to share any information delivered to such Lender by the Borrower and its Subsidiaries pursuant to this Agreement, or in connection with the decision of such Lender to enter into this Agreement, to any such subsidiary or affiliate, it being understood that any such subsidiary or affiliate receiving such information shall be bound by the provisions of paragraph (b) of this Section as if it were a Lender hereunder. Such authorization shall survive the repayment of the Loans, the expiration or termination of the Letters of Credit and the Commitments or the termination of this Agreement or any provision hereof. Each Lender shall use all information delivered to such Lender by the Borrower and its Subsidiaries pursuant to this Agreement, or in connection with the decision of such Lender to enter into this Agreement, in connection with providing services to the Borrower. The Administrative Agent, each Lender and their Affiliates (collectively, solely for purposes of this paragraph, the “Lenders”), may have economic interests that conflict with those of the Borrower or any of its Subsidiaries, their stockholders and/or their affiliates. The Borrower, on behalf of itself and each of its Subsidiaries, agrees that nothing in the Loan Documents or otherwise will be deemed to create an advisory, fiduciary or agency relationship or fiduciary or other implied duty between any Lender, on the one hand, and the Borrower or any of its Subsidiaries, its stockholders or its affiliates, on the other. The Borrower and each of its Subsidiaries each acknowledge and agree that (i) the transactions contemplated by the Loan Documents (including the exercise of rights and remedies hereunder and thereunder) are arm’s-length commercial transactions between the Lenders, on the one hand, and the Borrower and its Subsidiaries, on the other, and (ii) in connection therewith and with the process leading thereto, (x) no Lender has assumed an advisory or fiduciary responsibility in favor of the Borrower or any of its Subsidiaries, any of their stockholders or affiliates with respect to the transactions contemplated hereby (or the exercise of rights or remedies with respect thereto) or the process leading thereto (irrespective of whether any Lender has advised, is currently advising or will advise the Borrower or any of its Subsidiaries, their stockholders or their affiliates on other matters) or any other obligation to the Borrower or any of its Subsidiaries except the obligations expressly set forth in the Loan Documents and (y) each Lender is acting solely as principal and not as the agent or fiduciary of the Borrower or any of its Subsidiaries, their management, stockholders, creditors or any other Person. The Borrower and each of its Subsidiaries each acknowledge and agree that it has consulted its own legal and financial advisors to the extent it deemed appropriate and that it is responsible for making its own independent judgment with respect to such transactions and the process leading thereto. The Borrower and each of its Subsidiaries each agree that it will not claim that any Lender has rendered advisory services of any nature or respect, or owes a fiduciary or similar duty to the Borrower or any of its Subsidiaries, in connection with such transaction or the process leading thereto. 134 #4887-1928-1343v2 (b) Confidentiality. Each of the Administrative Agent, the Lenders, the Swingline Lender and the Issuing Bank agrees to maintain the confidentiality of the Information (as defined below), except that Information may be disclosed (i) to its Affiliates and to its and its Affiliates’ respective partners, directors, officers, employees, agents, advisors and other representatives in connection with the transactions contemplated by the Loan Documents and related matters (it being understood that the Persons to whom such disclosure is made will be informed of the confidential nature of such Information and instructed to keep such Information confidential), (ii) to the extent requested by any regulatory authority purporting to have jurisdiction over it (including any self-regulatory authority), (iii) to the extent required by applicable laws or regulations or by any subpoena or similar legal process, (iv) to any other party hereto, (v) in connection with the exercise of any remedies hereunder or under any other Loan Document or any action or proceeding relating to this Agreement or any other Loan Document or the enforcement of rights hereunder or thereunder, (vi) subject to an agreement containing provisions substantially the same as those of this Section, to (x) any assignee of or Participant in, or any prospective assignee of or Participant in, any of its rights or obligations under this Agreement or (y) any actual or prospective counterparty (or its advisors) to any swap or derivative transaction relating to the Borrower and its obligations, (vii) with the consent of the Borrower, (viii) to the extent such Information (x) becomes publicly available other than as a result of a breach of this Section or (y) becomes available to the Administrative Agent, any Lender, the Issuing Bank or any of their respective Affiliates on a nonconfidential basis from a source other than the Borrower or (ix) on a confidential basis to (x) any rating agency in connection with rating the Borrower or its Subsidiaries or the credit facilities provided hereunder or (y) the CUSIP Service Bureau or any similar agency in connection with the issuance and monitoring of CUSIP numbers with respect to the credit facilities provided hereunder. In addition, the Administrative Agent and each Lender may disclose the existence of this Agreement and information about this Agreement to the extent such information is publicly available to market data collectors, similar service providers to the lending industry and service providers to the Administrative Agent or any Lender in connection with the administration or servicing of this Agreement, the other Loan Documents and the Commitments. For purposes of this Section, “Information” means all information received from the Borrower or any of its Subsidiaries relating to the Borrower or any of its Subsidiaries or any of their respective businesses, other than any such information that is available to the Administrative Agent any Lender or the Issuing Bank on a nonconfidential basis prior to disclosure by the Borrower or any of its Subsidiaries; provided that, in the case of Information received from the Borrower or any of its Subsidiaries after the date hereof; such Information is clearly identified at the time of delivery as confidential. Any Person required to maintain the confidentiality of Information as provided in this Section shall be considered to have complied with its obligation to do so if such Person has exercised the same degree of care to maintain the confidentiality of such Information as such Person would accord to its own confidential information. SECTION 9.14. USA PATRIOT Act. Each Lender hereby notifies the Borrower that pursuant to the requirements of Title III of the USA PATRIOT Act, it is required to obtain, verify and record information that identifies the Borrower and each other Obligor, which information includes the name and address of the Borrower and each other Obligor and other information that will allow such Lender to identify the Borrower and each other Obligor in accordance with said Act. 135 #4887-1928-1343v2 SECTION 9.15. Acknowledgement Regarding Any Supported QFCs. To the extent that the Loan Documents provide support, through a guarantee or otherwise, for Hedging Agreements or any other agreement or instrument that is a QFC (such support “QFC Credit Support” and each such QFC a “Supported QFC”), the parties acknowledge and agree as follows with respect to the resolution power of the Federal Deposit Insurance Corporation under the Federal Deposit Insurance Act and Title II of the Dodd-Frank Wall Street Reform and Consumer Protection Act (together with the regulations promulgated thereunder, the “U.S. Special Resolution Regimes”) in respect of such Supported QFC and QFC Credit Support (with the provisions below applicable notwithstanding that the Loan Documents and any Supported QFC may in fact be stated to be governed by the laws of the State of New York and/or of the United States or any other state of the United States): In the event a Covered Entity that is party to a Supported QFC (each, a “Covered Party”) becomes subject to a proceeding under a U.S. Special Resolution Regime, the transfer of such Supported QFC and the benefit of such QFC Credit Support (and any interest and obligation in or under such Supported QFC and such QFC Credit Support, and any rights in property securing such Supported QFC or such QFC Credit Support) from such Covered Party will be effective to the same extent as the transfer would be effective under the U.S. Special Resolution Regime if the Supported QFC and such QFC Credit Support (and any such interest, obligation and rights in property) were governed by the laws of the United States or a state of the United States. In the event a Covered Party or a BHC Act Affiliate of a Covered Party becomes subject to a proceeding under a U.S. Special Resolution Regime, Default Rights under the Loan Documents that might otherwise apply to such Supported QFC or any QFC Credit Support that may be exercised against such Covered Party are permitted to be exercised to no greater extent than such Default Rights could be exercised under the U.S. Special Resolution Regime if the Supported QFC and the Loan Documents were governed by the laws of the United States or a state of the United States. Without limitation of the foregoing, it is understood and agreed that rights and remedies of the parties with respect to a Defaulting Lender shall in no event affect the rights of any Covered Party with respect to a Supported QFC or any QFC Credit Support. SECTION 9.16. Acknowledgement and Consent to Bail-In of Affected Financial Institutions. Notwithstanding anything to the contrary in any Loan Document or in any other agreement, arrangement or understanding among any such parties, each party hereto acknowledges that any liability of any Affected Financial Institution arising under any Loan Document, to the extent such liability is unsecured, may be subject to the write-down and conversion powers of the applicable Resolution Authority and agrees and consents to, and acknowledges and agrees to be bound by: (a) the application of any Write-Down and Conversion Powers by the applicable Resolution Authority to any such liabilities arising hereunder which may be payable to it by any party hereto that is an Affected Financial Institution; and (b) the effects of any Bail-in Action on any such liability, including, if applicable: (i) a reduction in full or in part or cancellation of any such liability;


 
136 #4887-1928-1343v2 (ii) a conversion of all, or a portion of, such liability into shares or other instruments of ownership in such Affected Financial Institution, its parent undertaking, or a bridge institution that may be issued to it or otherwise conferred on it, and that such shares or other instruments of ownership will be accepted by it in lieu of any rights with respect to any such liability under this Agreement or any other Loan Document; or (iii) the variation of the terms of such liability in connection with the exercise of the write-down and conversion powers of the applicable Resolution Authority. SECTION 9.17. Interest Rate Limitations. Notwithstanding anything herein to the contrary, if at any time the interest rate applicable to any Loan, together with all fees, charges and other amounts which are treated as interest on such Loan under applicable law (collectively the “Charges”), shall exceed the maximum lawful rate (the “Maximum Rate”) which may be contracted for, charged, taken, received or reserved by the Lender holding such Loan in accordance with applicable law, the rate of interest payable in respect of such Loan hereunder, together with all Charges payable in respect thereof, shall be limited to the Maximum Rate and, to the extent lawful, the interest and Charges that would have been payable in respect of such Loan but were not payable as a result of the operation of this Section shall be cumulated and the interest and Charges payable to such Lender in respect of other Loans or periods shall be increased (but not above the Maximum Rate therefor) until such cumulated amount, together with interest thereon at the applicable Overnight Rate to the date of repayment, shall have been received by such Lender. Amended and Restated Credit Agreement #4887-1928-1343v2 IN WITNESS WHEREOF, the parties hereto have caused this Agreement to be duly executed by their respective authorized officers as of the day and year first above written. NEW MOUNTAIN FINANCE CORPORATION By: Name: Title: Amended and Restated Credit Agreement #4887-1928-1343v2 GOLDMAN SACHS BANK USA, as Administrative Agent, Swingline Lender, Issuing Bank and a Lender By: Name: Title: Amended and Restated Credit Agreement #4887-1928-1343v2 MORGAN STANLEY BANK, N.A., as a Lender By: Name: Title:


 
Amended and Restated Credit Agreement #4887-1928-1343v2 STIFEL BANK & TRUST, as a Lender By: Name: Title: Amended and Restated Credit Agreement #4887-1928-1343v2 MUFG UNION BANK, N.A., as a Lender By: Name: Title: #4887-1928-1343v2 SCHEDULE 1.01(a) Approved Dealers and Approved Pricing Services Approved Dealers Bank of America Merrill Lynch Bank of Montreal Bank of NY Mellon (BNYM Capital Markets) Barclays Bank PLC BNP Paribas SA Canadian Imperial Bank of Commerce Cantor Fitzgerald Citigroup, Inc. Credit Suisse First Boston LLC Deutsche Bank Dresdner Kleinwort Wasserstein FBR & Co. Fidelity Capital Markets General Electric Company Goldman Sachs HSBC Imperial Capital Group LLC Jefferies Group, Inc. JP Morgan Chase & Co. Lazard Group LLC Legg Mason, Inc. MacQuarie Capital (USA) Inc. #4887-1928-1343v2 Merrill Lynch & Co., Inc. Miller Tabak Roberts Securities LLC Morgan Stanley Oppenheimer & Co. Rabobank Group Raymond James Financial, Inc. RBC Capital Markets Robert W. Baird & Co. Royal Bank of Canada Royal Bank of Scotland Group Plc Seaport Group LLC Société Générale SunTrust Banks The Bank of New York Company, Inc. The Bank of Nova Scotia UBS AG Wachovia Wells Fargo & Company Approved Pricing Services 1. Markit Group Limited Interactive Data Corporation Bloomberg L.P. Thomson Reuters


 
#4887-1928-1343v2 SCHEDULE 1.01(b) Commitments Lender Multicurrency Commitment Goldman Sachs Bank USA $62,100,000 Morgan Stanley Bank, N.A. $51,400,000 Lender Dollar Commitment MUFG Union Bank, N.A. $60,000,000 Stifel Bank & Trust $25,000,000 #4887-1928-1343v2 SCHEDULE 1.01(c) Industry Classification Group List [See definition of “Industry Classification Group” in Section 1.01] Aerospace & Defense Air Freight & Logistics Automobiles Beverages, Food Products and Tobacco Biotechnology Building Products, Construction and Engineering Capital Markets Chemicals Commercial Banks Commercial Services & Supplies Communications Equipment Computers & Peripherals Consumer Finance Containers & Packaging Distributors Diversified Consumer Services Diversified Financial Services Diversified Telecommunication Services Education Materials & Technology Electrical Equipment, Instruments & Components Energy Equipment & Services Enterprise Software #4887-1928-1343v2 Federal Services Food & Staples Retailing For-Profit Education Health Care Equipment & Supplies Health Care Providers & Services Health Care Technology Hotels, Restaurants & Leisure Household Durables Household Products Independent Power Producers & Energy Traders Industrial Conglomerates Infrastructure Software Insurance Internet & Catalog Retail Internet Software & Services IT Services Leisure Equipment & Products Life Sciences Tools & Services Manufacturing Marine Metals & Mining Oil, Gas & Consumable Fuels Paper & Forest Products Personal Products Pharmaceuticals #4887-1928-1343v2 Professional Services Real Estate Investment Trusts (REITs) Real Estate Management & Development Semiconductors & Semiconductor Equipment Specialty Retail Textiles, Apparel & Luxury Goods Thrifts & Mortgage Finance Trading Companies & Distributors Transportation Infrastructure Utilities


 
#4887-1928-1343v2 SCHEDULE 2.05 Summary of Certain Letter of Credit Policies Each Letter of Credit issued (including, for such purposes, any extension, increase, or other amendment) by Goldman Sachs Bank USA (“we” or “us”) must comply with the following: Each request for us to issue a Letter of Credit must be made under our standard form of Letter of Credit application and reimbursement agreement, and each requested Letter of Credit must be in form and substance reasonably satisfactory to us. Each Letter of Credit must be a standby Letter of Credit and not a commercial letter of credit (for purposes hereof, a standby Letter of Credit means a Letter of Credit that is not expected to be drawn upon in the ordinary course of business). Each Letter of Credit, including any that provides for automatic extension, must have a stated final expiration date. No Letter of Credit will be issued to an unapproved beneficiary or permit the transfer of drawing rights or assignment of proceeds to another without our consent in our sole discretion. No Letter of Credit will be issued that would cause the aggregate number of outstanding Letters of Credit issued by us under the Credit Agreement at any time to exceed ten (10). Each Letter of Credit must be issued in United States Dollars (or any currency that GS Bank could disburse if drawn), Each Letter of Credit must have a face amount greater than or equal to $250,000. No Letter of Credit will have more than one (1) beneficiary. No Letter of Credit will be issued unless the Borrower has given us three (3) or more Business Days’ notice of the request for issuance thereof. No Letter of Credit will be issued or permit drawing by electronic communication (including SWIFT message). No Letter of Credit will permit reduction of the amount thereof other than on a drawing or an annual, quarterly, or monthly basis, and no Letter of Credit will permit reduction or cancellation except on terms of automatic amendment in the Letter of Credit or with the consent of the beneficiary that is satisfactory to us. Each Letter of Credit must require, for purposes of a demand for payment thereunder, physical presentation to us of the original Letter of Credit or a copy thereof, together with any amendments thereto (whether or not such amendments were accepted by the beneficiary thereof) at our counters in Irving, Texas or such other location we designate. Each Letter of Credit must have attached thereto as an exhibit the form of demand for payment thereunder and include operational instructions for presentation under the Letter of Credit. #4887-1928-1343v2 No Letter of Credit will permit more than three (3) demands for payment to be made thereunder. No Letter of Credit will require disbursement of any payment to the beneficiary thereof less than three (3) Business Days after such demand for payment is made. No Letter of Credit or amendment will be issued if the issuance, extension, increase, amendment or other modification thereof would violate one or more provisions of any applicable law, rule or regulation. A Letter of Credit will not be issued if the applicant, account party or beneficiary of such Letter of Credit is organized under the laws of a jurisdiction that is not acceptable to us. Each Letter of Credit must be in form and substance reasonably satisfactory to us and issued in accordance with our standard operating policies and procedures. Each Letter of Credit shall be subject to The International Standby Practices 1998, International Chamber of Commerce Publication No. 590 (“ISP98”) and as to matters not governed by ISP98, the Letter of Credit shall be governed by and in accordance with the law of the State of New York. #4887-1928-1343v2 SCHEDULE 3.11 Material Agreements and Liens Material Agreements 1. Third Amended and Restated Loan and Security Agreement, dated as of October 24, 2017 (as amended, modified, waived, supplemented, restated or replaced from time to time), by and among New Mountain Finance Holdings, L.L.C., as borrower, New Mountain Finance Corporation, as collateral manager, each of the lenders from time to time party thereto and Wells Fargo Bank, National Association, as the swingline lender, administrative agent and collateral custodian. 2. Loan and Security Agreement, dated as of May 5, 2021 (as amended, modified, waived, supplemented, restated or replaced from time to time), by and among New Mountain Finance Corporation, as collateral manager, NMFC Senior Loan Program IV LLC, as borrower, NMFC Senior Loan Program I LLC and NMFC Senior Loan Program II LLC, as subsidiary guarantors, each of the lenders from time to time party thereto, Wells Fargo Bank, National Association, as administrative agent and Wells Fargo Bank, National Association, as collateral custodian. 3. Loan Financing and Servicing Agreement, dated as of December 14, 2018 (as amended, modified, waived, supplemented, restated or replaced from time to time), by and among New Mountain Finance Corporation, as equityholder and servicer, New Mountain Finance DB,L.L.C., as borrower, each of the lenders from time to time party thereto, Deutsche Bank AG, New York Branch, as facility agent, U.S. Bank National Association, as collateral agent and collateral custodian and the other agents party thereto. 4. Sale and Contribution Agreement, dated as of December 14, 2018 (as amended, modified, waived, supplemented, restated or replaced from time to time), between New Mountain Finance Corporation, as assignor, and New Mountain Finance DB,L.L.C., as assignee. 5. Master Participation Agreement, dated as of December 14, 2018 (as amended, modified, waived, supplemented, restated or replaced from time to time), between New Mountain Finance Corporation, as seller, and New Mountain Finance DB,L.L.C., as participant. 6. Credit and Security Agreement, dated as of May 2, 2018 (as amended, modified, waived, supplemented, restated or replaced from time to time), by and among New Mountain Finance Corporation, as collateral manager, NMFC Senior Loan Program III LLC, as borrower, each of the lenders from time to time party thereto, Citibank, N.A., as lender and administrative agent, and U.S. Bank National Association, as collateral agent and collateral administrator. 7. Indenture, dated as of June 3, 2014, between New Mountain Finance Corporation, #4887-1928-1343v2 as Issuer, and U.S. Bank National Association, as Trustee, relating to New Mountain Finance Corporation’s 5.00% Senior Convertible Notes due 2019, as amended and supplemented. 8. Purchase Agreement, dated as of May 28, 2014, by and among New Mountain Finance Corporation, as Issuer, New Mountain Finance Advisors BDC, L.L.C., as Adviser, New Mountain Finance Administration, L.L.C., as Administrator, and Goldman Sachs & Co., Wells Fargo Securities, LLC and Morgan Stanley & Co. LLC, as Initial Purchasers. 9. Amended and Restated Note Purchase Agreement dated September 30, 2016 (the “Amended and Restated Note Purchase Agreement”), by and between New Mountain Finance Corporation and the purchasers party thereto, as supplemented by the First Supplement to Amended and Restated Note Purchase Agreement dated June 30, 2017, by and between New Mountain Finance Corporation and the purchasers party thereto, relating to New Mountain Finance Corporation’s 4.760% Series 2017A Senior Notes due July 15, 2022. 10. Amended and Restated Note Purchase Agreement, as supplemented by the Second Supplement to the Amended and Restated Note Purchase Agreement dated January 30, 2018, by and between New Mountain Finance Corporation and the purchasers party thereto, relating to New Mountain Finance Corporation’s 4.87% Series 2018A Senior Notes due January 30, 2023. 11. Amended and Restated Note Purchase Agreement, as supplemented by the Third Supplement to the Amended and Restated Note Purchase Agreement dated July 5, 2018, by and between New Mountain Finance Corporation and the purchasers party thereto, relating to New Mountain Finance Corporation’s 5.36% Series 2018B Senior Notes due June 28, 2023. 12. Amended and Restated Note Purchase Agreement, as supplemented by the Fourth Supplement to the Amended and Restated Note Purchase Agreement dated April 30, 2019, by and between New Mountain Finance Corporation and the purchasers party thereto, relating to New Mountain Finance Corporation’s 5.494% Series 2019A Senior Notes due April 30, 2024. 13. Amended and Restated Note Purchase Agreement, as supplemented by the Fifth Supplement to the Amended and Restated Note Purchase Agreement dated January 29, 2021, by and between New Mountain Finance Corporation and the purchasers party thereto, relating to New Mountain Finance Corporation’s 3.875% Series 2021A Senior Notes due January 29, 2026. Liens Liens created pursuant to this Agreement or any of the Security Documents.


 
#4887-1928-1343v2 Liens granted as back-up security interests in favor of New Mountain Finance DB, L.L.C. (and assigned to U.S. Bank National Association, as collateral agent) in the event certain assignments and participations of assets from New Mountain Finance Corporation to New Mountain Finance DB, L.L.C. do not constitute true sales or true participations (as applicable). #4887-1928-1343v2 SCHEDULE 3.12(a) Subsidiaries Financing Subsidiaries 1. New Mountain Finance Holdings, L.L.C. 2. New Mountain Finance SPV Funding, L.L.C. 3. New Mountain Finance DB, L.L.C 4. New Mountain Finance SBIC, L.P. 5. New Mountain Finance SBIC II, L.P. Immaterial Subsidiaries 1. NMF Ancora Holdings, Inc. 2. NMF YP Holdings, Inc. 3. New Mountain Finance Servicing, L.L.C. 4. New Mountain Finance SBIC GP, L.L.C. 5. NMF QID NGL Holdings, Inc. 6. NMF Permian Holdings, LLC. #4887-1928-1343v2 SCHEDULE 3.12(b) Investments 1. New Mountain Finance Corporation owns all of the membership interests in New Mountain Finance Holdings, L.L.C., a Financing Subsidiary. 2. New Mountain Finance Corporation owns all of the membership interests in New Mountain Finance SPV Funding, L.L.C., a Financing Subsidiary. 3. New Mountain Finance Corporation owns all of the membership interests in New Mountain Finance DB, L.L.C., a Financing Subsidiary. 4. New Mountain Finance Corporation owns all of the membership interests in New Mountain Finance SBIC, L.P., a Financing Subsidiary. 5. New Mountain Finance Corporation owns all of the membership interests in New Mountain Finance SBIC II, L.P., a Financing Subsidiary. 6. New Mountain Finance Corporation owns membership interests in NMFC Senior Loan Program IV LLC (which in turn owns all the membership interests in NMFC Senior Loan Program I LLC and NMFC Senior Loan Program II LLC). 7. New Mountain Finance Corporation owns membership interests in NMFC Senior Loan Program III LLC. 8. New Mountain Finance Corporation holds one security account with U.S. Bank National Association. 9. New Mountain Finance Corporation holds one deposit account with JPMorgan Chase Bank, N.A. 10. New Mountain Finance Corporation holds two deposit accounts with U.S. Bank National Association. #4887-1928-1343v2 SCHEDULE 6.08 Transactions with Affiliates None.


 
#4887-1928-1343v2 EXHIBIT A [Form of Assignment and Assumption] ASSIGNMENT AND ASSUMPTION This Assignment and Assumption (the “Assignment and Assumption”) is dated as of the Effective Date set forth below and is entered into by and between [Insert name of Assignor] (the “Assignor”) and [Insert name of Assignee] (the “Assignee”). Capitalized terms used but not defined herein shall have the meanings given to them in the Credit Agreement identified below (as amended, the “Credit Agreement”), receipt of a copy of which is hereby acknowledged by the Assignee. The Standard Terms and Conditions set forth in Annex 1 attached hereto are hereby agreed to and incorporated herein by reference and made a part of this Assignment and Assumption as if set forth herein in full. For an agreed consideration, the Assignor hereby irrevocably sells and assigns to the Assignee, and the Assignee hereby irrevocably purchases and assumes from the Assignor, subject to and in accordance with the Standard Terms and Conditions and the Credit Agreement, as of the Effective Date inserted by the Administrative Agent as contemplated below (i) all of the Assignor’s rights and obligations in its capacity as a Lender under the Credit Agreement and any other documents or instruments delivered pursuant thereto to the extent related to the amount and percentage interest identified below of all of such outstanding rights and obligations of the Assignor under the respective facilities identified below (including any letters of credit and guarantees included in such facilities) and (ii) to the extent permitted to be assigned under applicable law, all claims, suits, causes of action and any other right of the Assignor (in its capacity as a Lender) against any Person, whether known or unknown, arising under or in connection with the Credit Agreement, any other documents or instruments delivered pursuant thereto or the loan transactions governed thereby or in any way based on or related to any of the foregoing, including contract claims, tort claims, malpractice claims, statutory claims and all other claims at law or in equity related to the rights and obligations sold and assigned pursuant to clause (i) above (the rights and obligations sold and assigned pursuant to clauses (i) and (ii) above being referred to herein collectively as the “Assigned Interest”). Such sale and assignment is without recourse to the Assignor and, except as expressly provided in this Assignment and Assumption, without representation or warranty by the Assignor. 1. Assignor: 2. Assignee: [and is an Affiliate of [identify Lender]3] 3. Borrower: New Mountain Finance Corporation 4. Administrative Agent: Goldman Sachs Bank USA 5. Credit Agreement: The $198,500,000 Amended and Restated Senior Secured Revolving Credit Agreement dated as of June 4, 2021 3 Select as applicable. #4887-1928-1343v2 among New Mountain Finance Corporation as Borrower, the Lenders party thereto and Goldman Sachs Bank USA as Administrative Agent and Syndication Agent 6. Assigned Interest: Class Assigned4 Aggregate Amount of Commitment/Loans for all Lenders Amount of Commitment/Loans Assigned Percentage Assigned of Commitment/Loans5 $ $ % $ $ % $ $ % Effective Date: _________________ ____, 201____ [TO BE INSERTED BY ADMINISTRATIVE AGENT AND WHICH SHALL BE THE EFFECTIVE DATE OF RECORDATION OF TRANSFER IN THE REGISTER THEREFOR.] The terms set forth in this Assignment and Assumption are hereby agreed to: ASSIGNOR [NAME OF ASSIGNOR] By: Title: ASSIGNEE [NAME OF ASSIGNEE] By: Title: 4 Fill in the appropriate terminology for the types of facilities under the Credit Agreement that are being assigned under this Assignment (e.g., “Revolving Commitment”). 5 Set forth, to at least 9 decimals, as a percentage of the Commitment/Loans of all Lenders thereunder. #4887-1928-1343v2 [Consented to and]6 Accepted: GOLDMAN SACHS BANK USA, as Administrative Agent By Title: GOLDMAN SACHS BANK USA, as Issuing Bank By Title: [Consented to:]7 NEW MOUNTAIN FINANCE CORPORATION By Title: 6 To be added only if the consent of the Administrative Agent is required by the terms of the Credit Agreement. 7 To be added only when the consent of the Borrower is required by the terms of the Credit Agreement. #4887-1928-1343v2 ANNEX 1 STANDARD TERMS AND CONDITIONS FOR ASSIGNMENT AND ASSUMPTION Representations and Warranties. Assignor. The Assignor (a) represents and warrants that (i) it is the legal and beneficial owner of the Assigned Interest, (ii) the Assigned Interest is free and clear of any lien, encumbrance or other adverse claim and (iii) it has full power and authority, and has taken all action necessary, to execute and deliver this Assignment and Assumption and to consummate the transactions contemplated hereby; and (b) assumes no responsibility with respect to (i) any statements, warranties or representations made in or in connection with the Credit Agreement or any other Loan Document, (ii) the execution, legality, validity, enforceability, genuineness, sufficiency or value of the Loan Documents or any Collateral thereunder, (iii) the financial condition of the Borrower, any of its Subsidiaries or Affiliates or any other Person obligated in respect of any Loan Document or (iv) the performance or observance by the Borrower, any of its Subsidiaries or Affiliates or any other Person of any of their respective obligations under any Loan Document. Assignee. The Assignee (a) represents and warrants that (i) it has full power and authority, and has taken all action necessary, to execute and deliver this Assignment and Assumption and to consummate the transactions contemplated hereby and to become a Lender under the Credit Agreement, (ii) it satisfies the requirements under Section 9.04 of the Credit Agreement, if any, that are required to be satisfied by it in order to acquire the Assigned Interest and become a Lender, (iii) from and after the Effective Date, it shall be bound by the provisions of the Credit Agreement as a Lender thereunder and, to the extent of the Assigned Interest, shall have the obligations of a Lender thereunder, (iv) it has received a copy of the Credit Agreement, together with copies of the most recent financial statements delivered pursuant to Section 5.01 thereof, as applicable, and such other documents and information as it has deemed appropriate to make its own credit analysis and decision to enter into this Assignment and Assumption and to purchase the Assigned Interest on the basis of which it has made such analysis and decision independently and without reliance on the Administrative Agent or any other Lender, and (v) attached to the Assignment and Assumption is any documentation required to be delivered by it pursuant to the terms of the Credit Agreement, duly completed and executed by the Assignee; and (b) agrees that (i) it will, independently and without reliance on the Administrative Agent, the Assignor or any other Lender, and based on such documents and information as it shall deem appropriate at the time, continue to make its own credit decisions in taking or not taking action under the Loan Documents, and (ii) it will perform in accordance with their terms all of the obligations which by the terms of the Loan Documents are required to be performed by it as a Lender. Payments. From and after the Effective Date, the Administrative Agent shall make all payments in respect of the Assigned Interest (including payments of principal, interest, fees and other amounts) to the Assignor for amounts which have accrued up to but excluding the Effective Date and to the Assignee for amounts which have accrued from and after the Effective Date.


 
#4887-1928-1343v2 General Provisions. This Assignment and Assumption shall be binding upon, and inure to the benefit of, the parties hereto and their respective successors and assigns. This Assignment and Assumption may be executed in any number of counterparts, which together shall constitute one instrument. Delivery of an executed counterpart of a signature page of this Assignment and Assumption by telecopy, email or other electronic method of transmission shall be effective as delivery of a manually executed counterpart of this Assignment and Assumption. This Assignment and Assumption shall be governed by, and construed in accordance with, the law of the State of New York. #4887-1928-1343v2 EXHIBIT B [Form of Borrowing Base Certificate] BORROWING BASE CERTIFICATE Monthly accounting period ended _____________, 201__ Reference is made to the Amended and Restated Senior Secured Revolving Credit Agreement dated as of June 4, 2021 (as further modified and supplemented and in effect from time to time, the “Credit Agreement”) among New Mountain Finance Corporation (the “Borrower”), the lenders party thereto, and Goldman Sachs Bank USA, as Administrative Agent and Syndication Agent. Terms defined in the Credit Agreement are used herein as defined therein. The contents of this certificate are confidential and subject to Section 9.13(b) of the Credit Agreement. Pursuant to Section 5.01(d) of the Credit Agreement, the undersigned, the ______________ of the Borrower, and as such a Financial Officer of the Borrower, hereby certifies on behalf of the Borrower that attached hereto as Annex 1 is (a) a complete and correct list as at the end of the monthly accounting period ended ___________, 201__ of all Portfolio Investments included in the Collateral, indicating, in the case of each such Portfolio Investment, (i) the classification thereof for purposes of Section 5.13 of the Credit Agreement, (ii) the Value thereof as determined in accordance with Section 5.12 of the Credit Agreement, (iii) whether or not such Portfolio Investment has been Delivered (as defined in the Guarantee and Security Agreement), and (iv) the Advance Rates (as adjusted pursuant to Section 5.13 of the Credit Agreement) applicable to each Portfolio Investment and (b) a true and correct calculation (A) of the Borrowing Base as at the end of such monthly accounting period and (B) with respect to Sections 6.03(d) and 6.04(e) of the Credit Agreement, in each case determined in accordance with the requirements of the Credit Agreement. The undersigned hereby confirms that the Borrower was in compliance with Sections 6.03(d) and 6.04(e) of the Credit Agreement during the applicable accounting period. #4887-1928-1343v2 IN WITNESS WHEREOF, the undersigned has caused this certificate to be duly executed as of the __________ day of _______, 201__. NEW MOUNTAIN FINANCE CORPORATION By Name: Title: #4887-1928-1343v2 ANNEX 1 As of 4/30/14 Borrowing Base VLOOKUP NAME Sector / Industry Type Par (Debt) Units (Equity) Mark Fair Value Issuer Fair Value Haircut – Issuer Issuer Adj. Fair Value % Adj. Fair Value Category Quoted / Unquoted Advance Rate Adj. BB % Delivered (Y/N) DQ Country Moved? X ASURION 2ND LIEN TL NEW Diversified Telecommunication Services Second lien 5,000,000 - 102.54 5,127,085 5,127,085 - 5,127,085 4% 5,127,085 Second Lien Bank Loans Quoted 75% 3,845,314 0% Y 5/23/14 BLACK ELK ENERGY GLASS E PREFERRED UNITS Oil, Gas & Consumable Fuels Preferred shares - 20,000,000 1.00 20,000,000 20,000,000 (6,679,892) 13,320,106 10% 13,320,106 Cash Pay Preferred Equity Unquoted 55% 7,326,060 11% Y CRC HEALTH CORP 2ND LIEN TL Health Care Providers & Services Second lien 4,000,000 - 100.46 4,018,332 4,018,332 - 4,018,332 3% 4,018,332 Second Lien Bank Loans Quoted 75% 3,013,749 4% Y CROWLEY HOLDINGS SERIES A PREFERRED SECURITIES Marine Preferred shares - 25,000 1,000.00 25,000,000 25,000,000 (5,019,837) 19,980,163 15% 19,980,163 Cash Pay Preferred Equity Unquoted 55% 10,989,089 16% Y 5/19/14 DELTEK 2ND LIEN TL Enterprise Software Second lien 1,000,000 - 102.00 1,020,000 1,020,000 - 1,020,000 1% 1,020,000 Second Lien Bank Loans Quoted 75% 785,000 1% Y 5/16/14 EDUCATION MANAGEMENT TLC3 For Profit Education Term loan 1,078,175 - 72.00 774,846 774,846 - 774,846 1% 774,846 First Lien Bank Loans Quoted 85% 658,619 1% Y 5/19/14 GCA SERVICES 2ND LIEN TL Commercial Services & Supplies Second lien 4,000,000 - 101.50 4,060,000 4,060,000 - 4,060,000 3% 4,060,000 Second Lien Bank Loans Quoted 75% 3,045,000 4% Y KRONOS 2ND LIEN TL NEW 2012 Enterprise Software Second lien 5,000,000 - 103.63 5,181,250 5,181,250 - 5,181,250 4% 5,181,250 Second Lien Bank Loans Quoted 75% 3,885,938 6% Y LEARNING CARE 2014 WARRANTS For-Profit Education Warrants - 622 - - -- - 0% - Common Equity Unquoted 20% - 0% Y PELICAN PRODUCTS 2ND LIEN TL Personal Products Second lien 5,500,000 - 99.25 5,458,750 5,458,750 - 5,458,750 4% 5,458,750 Second Lien Bank Loans Quoted 75% 4,094,063 6% Y PLATO 2ND LIEN TL Education Materials & Technology Second lien 6,150,000 - 101.00 6,211,500 6,211,500 - 6,211,500 5% 6,211,500 Second Lien Bank Loans Quoted 75% 4,658,625 7% Y SOPHIA HOLDING FINANCE HOLDCO 9.625% NOTES Enterprise Software Subordinated 3,500,000 - 104.75 3,666,250 3,666,250 - 3,666,250 3% 3,666,250 Cash Pay High Yield Securities Quoted 70% 2,586,375 4% Y 5/19/14 SYNARC BIOCORE 2ND LIEN TL Health Care Providers & Services Second lien 2,500,000 - 100.25 2,506,250 2,506,250 - 2,506,250 2% 2,506,250 Second Lien Bank Loans Quoted 75% 1,879,688 3% Y TENAWA RESOURCE MANAGEMENT TL Energy Equipment & Services First lien 40,000,000 - 99.25 39,700,000 42,100,000 (22,119,837) 19,980,163 15% 19,980,163 First Lien Bank Loans Unquoted 75% 14,985,122 22% Y Yes TENAWA COMMON UNITS Energy Equipment & Services Ordinary shares - - 2,400,000 - - - 0% - Common Equity Unquoted 20% - 0% Y Yes UNITEK GLOBAL TL Building Products, Construction and Eng First lien 7,331,941 - 96.57 7,080,778 8,076,820 - 8,076,820 0% 7,080,77 First Lien Bank Loans Quoted 85% 6,018,662 9% Y 5/20/14 UNITEK GLOBAL TL NEW Building Products, Construction and Eng First lien 488,163 - 96.57 452,126 - - - 0% 452,126 First Lien Bank Loans Quoted 85% 384,307 1% Y 5/20/14 UNITEK GLOBAL TL NEW ADD ON Building Products, Construction and Eng First lien 583,209 - 96.57 543,916 - - - 0% 543,916 First Lien Bank Loans Quoted 85% 482,329 1% Y 5/20/14 86,089,489 133,201,084 133,201,084 (33,819,567) 99,381,617 75% 99,381,617 68,577,938 100% Total Commitments 50,000,000 Lesser of Total Commitments and Borrowing Base 50,000,000 Usage Letters of Credit - Loans - Total Usage - Other Covered Indebtedness - Excess Availability 50,000,000 Excluded Why: Covered Debt Amount ALION SCIENCE WARRANTS Federal Services Warrants - 6,000 15.73 94,363 Not zero cost or penny warrants GS Revolver 50,000,000 PODS WARRANTS Containers & Packaging Warrants - 360,129 1.47 529,835 Not zero cost or penny warrants Secured Debt > $10m (N/A) - 5/19/14 UNITEK GLOBAL WARRANTS Wireless Telecommunication Services Warrants - 1,014,451 1.30 1,318,786 Not zero cost or penny warrants Unsecured Short Term Debt (N/A) - Total 50,000,000


 
#4887-1928-1343v2 Sublimit Calculations Single Issuer (Agg. Value Test) Pass Industry (Agg. Value Test) < 20% (Admin Agent can approve up to 30%) Pass 1st Largest < 15.0% 15.0% Pass Aerospace & Defence - Infrastructure Software - 2nd Largest < 15.0% 15.0% Pass Air Freight & Logistics - Insurance - 3rd Largest < 10.0% 10.0% Pass Automobiles - Internet & Catalog Retail - 4th Largest < 7.5% 6.1% Pass Beverages, Food Products and Tobacco - Internet Software & Services - Rest 4.7% Pass Biotechnology - IT Services - Building Products, Construction and Engineering 6% Leisure Equipment & Products - Mix (BB Test) Pass Capital Markets - Life Sciences Tools & Services - Common Equity < 10% - 0% Pass Chemicals - Manufacturing - Commercial Banks - Marine 15% Non-Cash Pay High Yield Investments - 0% Commercial Services & Supplies 3% Metals & Mining - Non-Cash Pay Mezzanine Securities - 0% Communications Equipment - Oil, Gas & Consumable Fuels 10% Common Equity - 0% Computers & Peripherals - Paper & Forest Products - Total < 20% - 0% Pass Consumer Finance - Personal Products 4% Containers & Packaging - Pharmaceuticals - Non-Cash Pay Mezzanine Securities - 0% Distributors - Professional Services - Non-Cash Pay Preferred Equity - 0% Diversified Consumer Services - Real Estate Investment Trusts (REITs) - Common Equity - 0% Diversified Financial Services - Real Estate Management & Development - Total < 25% - 0% Pass Diversified Telecommunication Services 4% Semiconductors & Semiconductor Equipment - Education Materials & Technology 5% Specialty Retail - Quoted Investments (Agg. Value Test) >37.5% FAIL Electrical Equipment, Instruments & Components - Textiles, Apparel & Luxury Goods - Quoted 46,101,084 35% Energy Equipment & Services 15% Thrifts & Mortgage Finance - Unquoted 87,100,000 65% Enterprise Software 7% Trading Companies & Distributors - Federal Services - Transportation Infrastructure - Liquidity (applicable when >90% of Adj. BB drawn for >30 B.D.) > 10% Of Covered Debt Pass Food & Staples Retaining - Utilities - Quoted (i.e. convert to cash within 10 B.D. w/out >5% change in price) 46,101,064 92% For-Profit Education 1% Health Care Equipment & Supplies - Health Care Providers & Services 5% Health Care Technology - Geography (BB Test) < 5% - 0% Pass Hotels, Restaurants & Leisure - Outside U.S. Canada, UK, Australia, Germany, France, Belgium, Netherlands, Luxemburg, Switzerland, Denmark, Finland, Norway and Sweden Household Durables - Household Products - Minimum Issuers >15 14 FAIL Independent Power Products & Energy Traders - #4887-1928-1343v2 Advance Rates Quoted Unquoted Cash and U S Government Securities with maturities less than one year ............................. 100% Cash and U.S Government Securities with maturities less than one year .................... NA U.S. Government Securities with maturities greater than one year ....................................... 95% U.S Government Securities with maturities greater than one year............................... NA First Lien Bank Loans .......................................................................................................... 85% First Lien Bank Loans ................................................................................................. 75% Unitranche Loans ................................................................................................................ 80% Unitranche Loans ........................................................................................................ 70% Second Lien Bank Loans ...................................................................................................... 75% Second Lien Bank Loans ............................................................................................. 65% Cash Pay High Yield Securities ............................................................................................ 70% Cash Pay High Yield Securities................................................................................... 60% Gash Pay Mezzanine Securities ............................................................................................ 65% Cash Pay Mezzanine Securities ................................................................................... 55% Non-Gash Pay High Yield Investments ................................................................................ 60% Non-Cash Pay High Yield Investments ....................................................................... 50% Non-Cash Pay Mezzanine Securities .................................................................................... 55% Non-Cash Pay Mezzanine Securities ........................................................................... 45% Cash Pay Preferred Equity .................................................................................................... 65% Cash Pay Preferred Equity .......................................................................................... 55% Non Cash Pay Preferred Equity ............................................................................................ 55% Non-Cash Pay Preferred Equity .................................................................................. 45% Common Equity ................................................................................................................... 30% Common Equity .......................................................................................................... 20% (includes zero cost or penny warrants with performing debt) ............................................... (includes zero cost or penny warrants with performing debt) ...................................... #4887-1928-1343v2 EXHIBIT C [Form of Borrowing Request] BORROWING REQUEST [Date] Goldman Sachs Bank USA 6011 Connection Drive Irving, Texas 75039 Telecopy Number: (646) 769-7829 Email: gsmmg-operations@gs.com with a copy to: Goldman Sachs Bank USA 200 West Street New York, NY 10282-2198 Attention: Douglas Tansey Dana Horan Email: douglas.tansey@gs.com dana.horan@gs.com Re: Amended and Restated Senior Secured Revolving Credit Agreement dated as of June 4, 2021 (as amended, restated, amended and restated, supplemented or otherwise modified, the “Credit Agreement”) among New Mountain Finance Corporation (the “Borrower”), the lenders party thereto, and Goldman Sachs Bank USA, as administrative agent and syndication agent. Ladies and Gentlemen: The Borrower hereby requests a Borrowing pursuant to the Credit Agreement as follows: 1. The aggregate amount of the requested Borrowing is $[_________]. 2. The Currency of the requested Borrowing is [_______]. 3. The date of the Borrowing (a Business Day) is [_______]. 4. The requested Borrowing is to be made under the [Dollar Commitments][Multicurrency Commitments]. #4887-1928-1343v2 5. The Type of the Borrowing is an [ABR Borrowing][Term Benchmark Borrowing][RFR Borrowing]. 6. The requested Borrowing is a [Syndicated Loan][Swingline Loan]. 7. The Interest Period is [one][three][six] months8. 8. The location and number of the Borrower’s account is: [________]. By its execution of this Borrowing Request, the Borrower hereby certifies (to the Administrative Agent and each Lender) that: the representations and warranties of the Borrower set forth in the Credit Agreement and in the other Loan Documents are true and correct in all material respects (or, in the case of any portion of any representations and warranties already subject to a materiality qualifier, true and correct in all respects) on and as of the date hereof and the date of the requested Borrowing, or, as to any such representation or warranty that refers to a specific date, as of such specific date; at the date hereof and immediately after giving effect to the requested Borrowing, no Default shall have occurred and be continuing; and either (i) the aggregate Covered Debt Amount (after giving effect to the requested Borrowing) does not exceed the Borrowing Base reflected on the Borrowing Base Certificate most recently delivered to the Administrative Agent or (ii) the Borrower has delivered an updated Borrowing Base Certificate demonstrating that the Covered Debt Amount does not exceed the Borrowing Base after giving effect to the requested Borrowing as well as any concurrent acquisitions of Portfolio Investments or payment of outstanding Loans. Capitalized terms used but not defined herein shall have the respective meanings assigned to such terms in the Credit Agreement. NEW MOUNTAIN FINANCE CORPORATION By Name: Title: 8 For Term Benchmark Borrowings only. Other Interest Periods to be inserted with agreement by all relevant Lenders.